Logo

American Heart Association

  76
  0


Final ID: MP1408

A multi-ethnic foundation model-based artificial intelligence electrocardiogram for detection and prognostication of elevated left ventricular filling pressure

Abstract Body (Do not enter title and authors here): Background: Left ventricular filling pressure (LVFP) is associated with symptoms and signs of heart failure, can guide therapeutic decision-making, and provides prognostic insights.
Purpose: We aimed to develop an artificial intelligence (AI)-based electrocardiogram (ECG) model to detect increased LVFP and evaluate its prognostic significance through multi-ethnic geographically diverse cohorts.
Methods: The septal E/e' value over 15 on Doppler echocardiography was used to define increased LVFP and to guide model training. The AI-ECG model, based on a transformer-enhanced convolutional neural network architecture, was initially pre-trained using a multinational public ECG dataset and subsequently fine-tuned as a binary classifier using a development cohort comprising 225,737 12-lead ECGs and 115,982 echocardiograms from 92,775 unique patients across two tertiary hospitals in Korea. The model performance to discriminate increased LVFP and left ventricular diastolic dysfunction grade (LVDD) II/III were assessed in an internal test cohort (n=9,278) and an independent external test cohort (n=17,926) from a third tertiary Korean hospital. The prognostic significance of the AI-ECG model was validated via survival analyses in these two cohorts and the prognostic significance validation cohort (UK biobank, n=43,347).
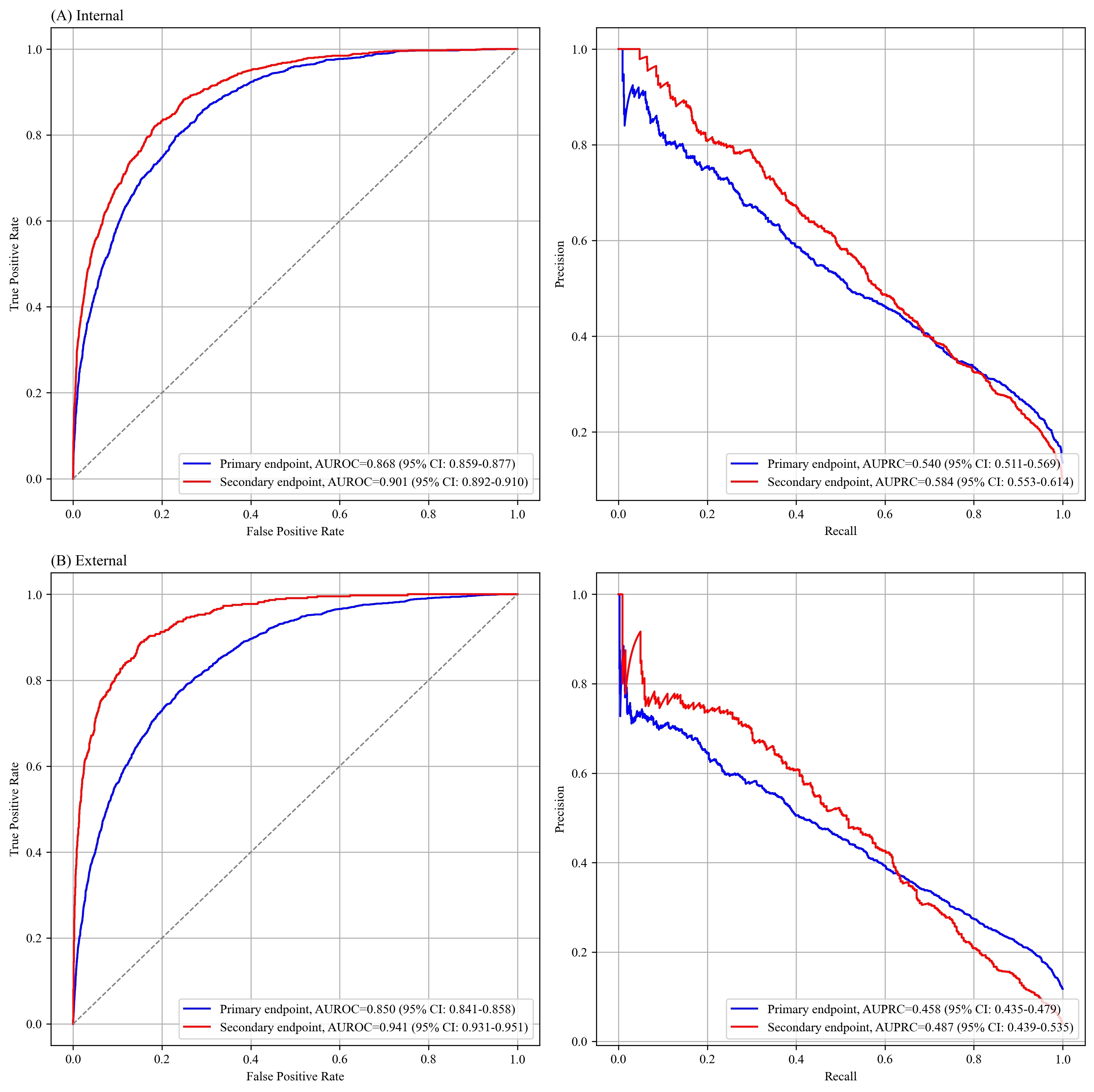
Results: The AI-ECG model detected increased LVFP with area under the receiver operating characteristic curves (AUROCs) of 0.868 (95% confidence interval, 0.859–0.877) and 0.850 (0.841–0.858) in the internal and external test cohort, respectively. For detecting LVDD grade II/III, the model demonstrated an AUROCs of 0.901 (0.892–0.910) and 0.941 (0.931–0.951) in the internal and external test cohort, respectively. The model’s prognostic utility was confirmed across all three cohorts by Kaplan-Meier survival analyses, demonstrating significantly higher mortality in patients with higher AI-ECG scores. In Cox models adjusted for age, sex, and clinical comorbidities, the AI-ECG score remained independently associated with mortality across all cohorts: adjusted hazard ratio 1.31 (95% CI, 1.23–1.38, p<0.001) in the internal test cohort, 1.32 (1.28–1.35, p<0.001) in the external test cohort, and 1.16 (1.07–1.26, p<0.001) in the UK biobank.
Conclusion: We developed a multiethnic foundation model-based, generalizable AI-ECG capable of detecting increased LVFP and prognosticating long-term mortality, with external validation across multiethnic cohorts.
  • Lee, Min Sung  ( Medical AI Co., Ltd. , Seoul , Korea (the Republic of) )
  • Lim, Jaehyun  ( Seoul National University Hospital , Seoul , Korea (the Republic of) )
  • Kang, Sora  ( Medical AI Co., Ltd. , Seoul , Korea (the Republic of) )
  • Lee, Hak Seung  ( Medical AI Co., Ltd. , Seoul , Korea (the Republic of) )
  • Jang, Jong-hwan  ( Medical AI Co., Ltd. , Seoul , Korea (the Republic of) )
  • Son, Jeong Min  ( Medical AI Co., Ltd. , Seoul , Korea (the Republic of) )
  • Kwon, Joon-myoung  ( Medical AI Co., Ltd. , Seoul , Korea (the Republic of) )
  • Kim, Yong-jin  ( SEOUL NATIONAL UNIVERSITY HOSPITAL , Seoul , Korea (the Republic of) )
  • Kim, Kyung-hee  ( Incheon Sejong Hospital , Incheon , Korea (the Republic of) )
  • Lee, Seung-pyo  ( SEOUL NATIONAL UNIVERSITY HOSPITAL , Seoul , Korea (the Republic of) )
  • Author Disclosures:
    Min Sung Lee: DO have relevant financial relationships ; Employee:Medical AI Co., Ltd.:Active (exists now) | Seung-Pyo Lee: DO NOT have relevant financial relationships | Jaehyun Lim: No Answer | Sora Kang: DO NOT have relevant financial relationships | Hak Seung Lee: DO have relevant financial relationships ; Employee:Medical AI:Active (exists now) | Jong-Hwan Jang: DO NOT have relevant financial relationships | Jeong Min Son: DO have relevant financial relationships ; Employee:Medical AI, Co., Ltd.:Active (exists now) | Joon-Myoung Kwon: No Answer | Yong-Jin Kim: No Answer | Kyung-Hee Kim: No Answer
Meeting Info:

Scientific Sessions 2025

2025

New Orleans, Louisiana

Session Info:
More abstracts on this topic:
A Novel Composite Artificial Intelligence-Electrocardiography Risk Score Is Independently Associated with Mortality in Chronic Tricuspid Regurgitation

Ciobanu Andrea, Pellikka Patricia, Kane Garvan, Pislaru Sorin, Anand Vidhu, Naser Jwan, Wood Julia, Friedman Paul, Vinereanu Dragos, Nkomo Vuyisile, Pislaru Cristina, Lara-breitinger Kyla, Thaden Jeremy

A Case of Concomitant Wild-Type Transthyretin and Systemic Light Chain Amyloidosis Involving Separate Organs

Chiu Leonard, Afrough Aimaz, Nadeem Urooba, Jebakumar Deborah, Grodin Justin

More abstracts from these authors:
Detection and Prognostic Stratification of Left Ventricular Systolic Dysfunction in Left Bundle Branch Block Using an Artificial Intelligence-enabled ECG

Yoo Ah-hyun, Kim Kyung-hee, Lee Soo Youn, Lee Hak Seung, Kang Sora, Lee Min Sung, Han Ga In, Son Jeong Min, Jang Jong-hwan, Jo Yong-yeon, Kwon Joon-myoung

A novel XAI framework for explainable AI-ECG using generative counterfactual-based XAI

Lee Min Sung, Jang Jong-hwan, Jo Yong-yeon, Kang Sora, Son Jeong Min, Lee Hak Seung, Kwon Joon-myoung

You have to be authorized to contact abstract author. Please, Login
Not Available