Logo

American Heart Association

  116
  0


Final ID: WP199

Profiles of Cortical White Matter Hyperintensity Burden Measured using the SPOTTY Tool Align with Fazekas Scores in ICH Patients.

Abstract Body: Introduction: White matter hyperintensity (WMH) burden is associated with poor cognitive and functional outcomes after intracerebral hemorrhage (ICH). Grading WMH burden is commonly performed using morphometric scales like Fazeka’s scores, which require training and may be prone to subjectivity. Deep-learning models provide a potential alternative to quantify WMH burden. We compare WMH volumes calculated using the SPOTTY tool with categorical Fazekas scores.

Methods: An analytical group of adult (>18) ICH patients was created by randomly sampling from the Registry for Neurological Endpoint Assessment among patients with Ischemic and Hemorrhagic Stroke (REINAH) database, which includes Fazeka’s scores for ICH patients with available MRIs. Total Fazekas scores (Periventricular + Deep) were determined and patients were randomly selected at each level. T2 FLAIR images used for initial Fazekas scoring were retrieved and the previously trained SPOTTY tool was used mask WMH lesions and calculate total lesion volume in cm3. Calculated WMH volumes are reported as medians and interquartile ranges, with statistical differences assessed across Total Fazekas score (0-6), severe WMH burden in the periventricular (PV) (Fazeka’s score =3) and deep (Fazeka’s score ≥ 2) white matter, and in-hospital mortality using Mann Whitney Rank Sum and Kruskal Wallis tests of hypothesis.

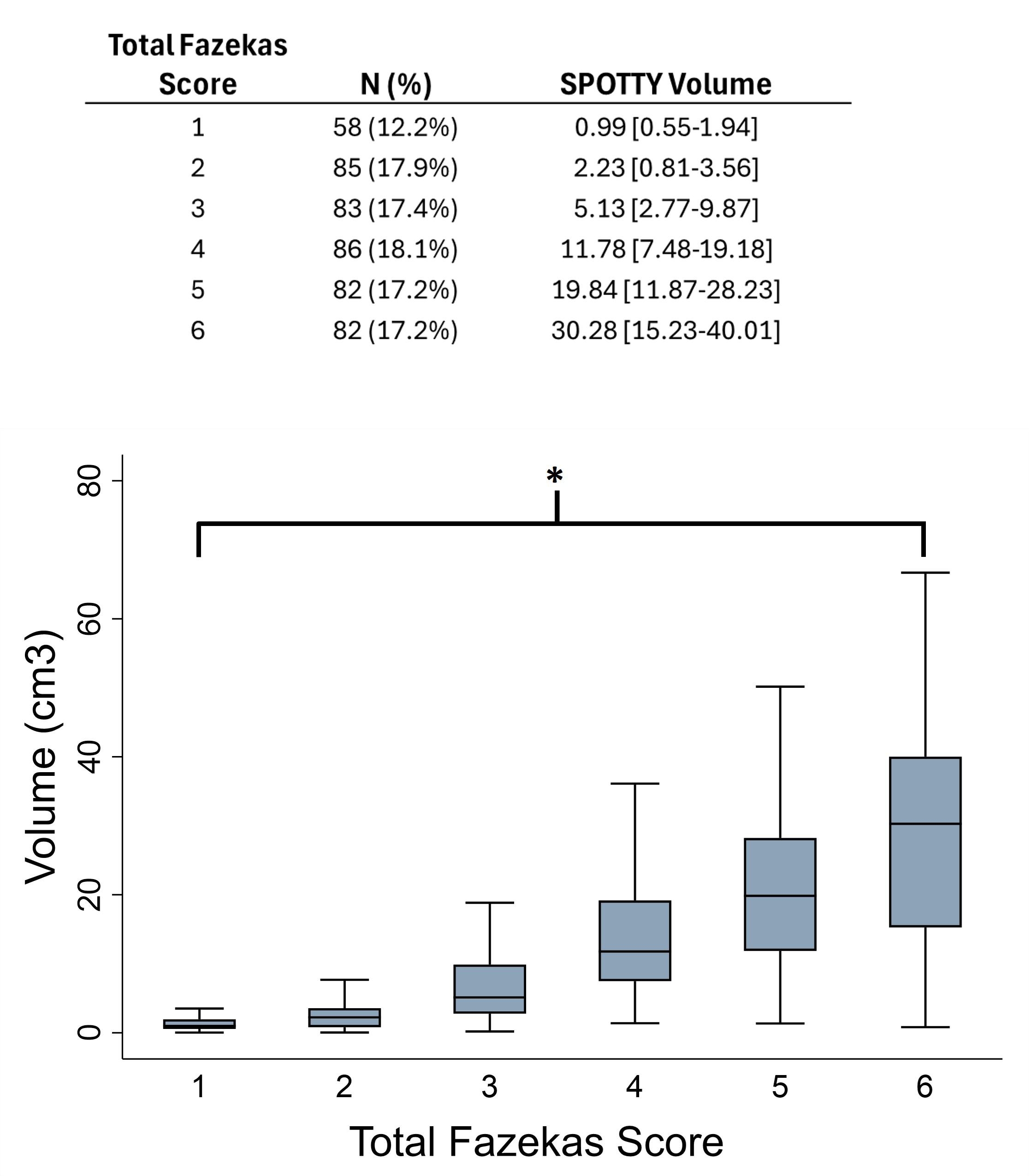
Results: The final cohort included 476 total patients admitted between May 2016 and August 2024. Patients had a median age of 68 [55-77] years and included 236 (49.5%) female and 86 (18.0%) Hispanic patients, with a racial distribution of 289 (60.6%) White, 131 (27.5%) Black, 43 (9.0%) Asian/Native Hawaiian or Pacific Islander, and 14 (2.9%). 147 (30.9%) had severe PV WMH, 251 (52.7%) showed severe deep WMH, and 72 (15.1%) died in-hospital. Significant differences were found between SPOTTY-calculated volumes for non-severe and severe PV WMH (4.40 [1.47-10.15] vs 24.01 [14.99-35.69] p<0.001), non-severe and severe deep WMH (2.51 [0.98-5.72] vs 18.45 [9.47-31.06]; p<0.001) (Figure 1), and across Total Fazekas Score (Figure 2; p<0.001). Patients who died in-hospital similarly had higher SPOTTY WMH volumes than those who did not (12.51 [3.84-24.43] vs 7.85 [2.31-19.29]; p=0.032).

Discussion: The SPOTTY tool provides an avenue for automatic assessment of WMH burden in ICH patients.
  • Potter, Thomas  ( Houston Methodist , Houston , Texas , United States )
  • Aamodt, Eva  ( Oslo University Hospital , OSLO , Norway )
  • Borei, Karim  ( Houston Methodist , Houston , Texas , United States )
  • Bako, Abdulaziz  ( Houston Methodist , Houston , Texas , United States )
  • Khan, Osman  ( Houston Methodist , Houston , Texas , United States )
  • Pan, Alan  ( Houston Methodist , Houston , Texas , United States )
  • Macintosh, Bradley  ( University of Toronto , Toronto , Ontario , Canada )
  • Vahidy, Farhaan  ( TIRR Memorial Hermann , Houston , Texas , United States )
  • Author Disclosures:
    Thomas Potter: DO NOT have relevant financial relationships | Eva Aamodt: DO NOT have relevant financial relationships | Karim Borei: DO NOT have relevant financial relationships | Abdulaziz Bako: DO NOT have relevant financial relationships | Osman Khan: No Answer | Alan Pan: DO NOT have relevant financial relationships | Bradley MacIntosh: DO NOT have relevant financial relationships | Farhaan Vahidy: DO NOT have relevant financial relationships
Meeting Info:
Session Info:

Imaging Posters I

Wednesday, 02/05/2025 , 07:00PM - 07:30PM

Poster Abstract Session

More abstracts on this topic:
Association of Post-Stroke Cognitive Impairment with Impaired Glymphatic Function and Neurotoxin Waste Removal in Patients with Intracerebral Hemorrhage

Nariman Nina, Boren Seth, Hasan Khader, Suchting Robert, De Dios Constanza, Sitton Clark, Aronowski Jaroslaw, Savitz Sean, Haque Muhammad

A large-scale multi-view deep learning-based assessment of left ventricular ejection fraction in echocardiography

Jing Linyuan, Metser Gil, Mawson Thomas, Tat Emily, Jiang Nona, Duffy Eamon, Hahn Rebecca, Homma Shunichi, Haggerty Christopher, Poterucha Timothy, Elias Pierre, Long Aaron, Vanmaanen David, Rocha Daniel, Hartzel Dustin, Kelsey Christopher, Ruhl Jeffrey, Beecy Ashley, Elnabawi Youssef

More abstracts from these authors:
Readmission to Acute Care from Inpatient Rehabilitation Among Patients with Acute Ischemic Stroke

Potter Thomas, Borei Karim, Khan Osman, Bako Abdulaziz, Pan Alan, Vahidy Farhaan

Automated Assessment of Intracerebral Hemorrhage Volumes using the VIOLA tool Performs Similarly to ABC/2 in Predictive Modelling

Potter Thomas, Aamodt Eva, Borei Karim, Khan Osman, Bako Abdulaziz, Pan Alan, Liu Qinghui, Macintosh Bradley, Vahidy Farhaan

You have to be authorized to contact abstract author. Please, Login
Not Available

Readers' Comments

We encourage you to enter the discussion by posting your comments and questions below.

Presenters will be notified of your post so that they can respond as appropriate.

This discussion platform is provided to foster engagement, and simulate conversation and knowledge sharing.

 

You have to be authorized to post a comment. Please, Login or Signup.


   Rate this abstract  (Maximum characters: 500)