Logo

American Heart Association

  101
  0


Final ID: TH121

Evaluating the Performance of AI-Driven photoplethysmography(PPG) Models for Cuffless Blood Pressure Monitoring: A Meta-Analysis

Abstract Body: Introduction: Cuff-based manometry has been widely used to obtain continuous monitoring of blood pressure (BP). However, it is associated with some inaccuracies like white-coat hypertension, masked hypertension etc. Therefore a desire for continuous and accurate BP measurement technique is required. One of the recent cuffless BP measurement technique using machine-learning and artificial intelligence (AI)-based technology can estimate BP by extracting BP-related features from photoplethysmography (PPG)-based waveforms. However, the accuracy of cuffless PPG-based BP methods have not been explored. Through this meta-analysis, we aim to compare the PPG-based BP models accuracy with the conventional methods.

Methods: We systematically searched on PubMed, Cochrane library, and IEEE Xplore for studies providing data on continuous cuffless PPG-based BP monitoring for variations. Included studies provided data on performance metrics like mean absolute difference (MAE), Mean difference (ME) for systolic BP (SBP) and diastolic BP (DBP). The AI-driven technique using PPG was compared with either Medical Information Mart for Intensive Care (MIMIC) or Ambulatory Blood Pressure (ABP) methods. The Mantel-Haenszel method was used to assess the continuous variables at a random effect model to calculate the pooled mean difference value at a 95% CI using OpenMeta Analyst software for analysis. P<0.05 was considered to be significant.

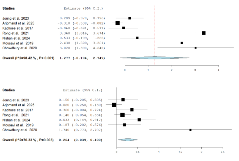
Results: A total of 15 studies providing data of 20,562 patients was included to evalute the perfomance of PPG-based cuffless BP estimation model compared with the conventional techniques. The pooled MAE for systolic BP (SBP) was 7.557 mmHg (95% CI: 6.421 to 8.693; P<0.001), while the MAE for diastolic BP (DBP) was significantly lower at 3.052 mmHg (95% CI: 2.548 to 3.556; P<0.001). In terms of directional bias, the pooled ME for SBP was 1.277 mmHg (95% CI: –0.194 to 2.749; P=0.089) and the pooled ME for DBP was 0.264 mmHg (95% CI: 0.039 to 0.490; P=0.021).

Conclusion: The findings suggest that the PPG-based BP model performed better for DBP estimation than SBP which could be due to the result of less beat-to-beat variability for DBP measurement. ME slightly overestimated SBP although was statistically insignificant. While ME did overestimate DBP, the estimated ME was <1 mmHg, hence the clinical bias is negligible according to the Association for the Advancement of Medical Instrumentation (AAMI) standards.
  • Adrejiya, Parth  ( Wellstar Health System , Griffin , Georgia , United States )
  • Shah, Vedant  ( NYMC- St. Mary's and St. Clare's , Denville , New Jersey , United States )
  • Panchal, Viraj  ( LSU Health , Baton Rouge , Louisiana , United States )
  • Abubaker, Mohammad  ( Wellstar Health System , Griffin , Georgia , United States )
  • Patel, Kaushal  ( Saint Mary Saint Clare , Denville , New Jersey , United States )
  • Irshad, Sana  ( Wellstar Health System , Griffin , Georgia , United States )
  • Singh, Sonu  ( Wellstar Health System , Griffin , Georgia , United States )
  • Author Disclosures:
    Parth Adrejiya: DO NOT have relevant financial relationships | Vedant Shah: No Answer | Viraj Panchal: No Answer | Mohammad Abubaker: No Answer | Kaushal Patel: DO NOT have relevant financial relationships | sana irshad: No Answer | Sonu Singh: No Answer
Meeting Info:
Session Info:

Poster Session 1 and Reception (includes TAC Poster Competition)

Thursday, 09/04/2025 , 05:30PM - 07:00PM

Poster Session

More abstracts on this topic:
A cerebrovascular longitudinal atlas: different rates of morphological change in aneurysm patients associated with hypertension and diabetes

Chien Aichi, Salamon Noriko, Vinuela Fernando, Szeder Viktor, Colby Geoffrey, Jahan Reza, Boyle Noel, Villablanca Juan, Duckwiler Gary

A Contemporary Machine Learning-Based Risk Stratification for Mortality and Hospitalization in Heart Failure with Preserved Ejection Fraction Using Multimodal Real-World Data

Fudim Marat, Weerts Jerremy, Patel Manesh, Balu Suresh, Hintze Bradley, Torres Francisco, Micsinai Balan Mariann, Rigolli Marzia, Kessler Paul, Touzot Maxime, Lund Lars, Van Empel Vanessa, Pradhan Aruna, Butler Javed, Zehnder Tobias, Sauty Benoit, Esposito Christian, Balazard Félix, Mayer Imke, Hallal Mohammad, Loiseau Nicolas

More abstracts from these authors:
Evaluating Lipid-Lowering Efficacy Of Obicetrapib: An Updated Meta-Analysis of Clinical Trials

Adrejiya Parth, Panchal Viraj, Abubaker Mohammad, Guntuku Sandeep, Shah Vedant, Joshi Divya, Thandra Abhishek



"Efficacy of Low-Dose Versus High-Dose Aprocitentan in Resistant Hypertension Management: A Meta-Analysis of Randomized Controlled Trials"

Adrejiya Parth, Panchal Viraj, Shah Vedant, Abubaker Mohammad

You have to be authorized to contact abstract author. Please, Login
Not Available