Logo

American Heart Association

  46
  0


Final ID: MP743

A Machine Learning Algorithm to Detect Pediatric Supraventricular Tachycardia Risk from Baseline ECGs

Abstract Body (Do not enter title and authors here): Background
Atrioventricular nodal reentrant tachycardia (AVNRT) is a common form of supraventricular tachycardia (SVT) in childhood resulting from dual AV nodal physiology (DAVNP) substrate. Children with AVNRT present with episodic chest discomfort or palpitations. The baseline electrocardiogram (ECG) in children with AVNRT appears normal. The ability to identify AVNRT risk from a baseline ECG may help during evaluation of children for palpitations with otherwise normal ECG.

Hypothesis
We hypothesized that machine learning (ML) algorithms would be able to identify subtle ECG markers of DAVNP substrate on baseline ECG.

Methods
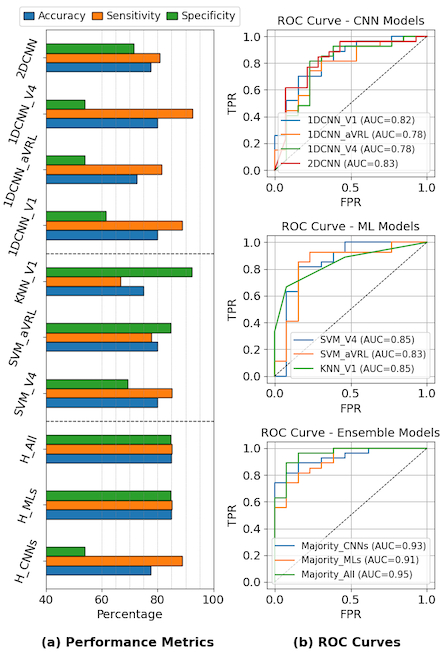
Retrospective single center case-control study from 2020 to 2025, including 12 lead ECG data from children 5-18 years of age who had a confirmed diagnosis of AVNRT through electrophysiological study. Patients with congenital heart disease were excluded. The control group consisted of children 5-18 years presenting to clinic for chest pain or palpitations and had normal cardiac findings. ECGs were processed to extract 12×65 biomarkers. Preprocessing included normalization, handling categorical and missing values. SMOTE was used during training to prevent bias. The dataset was split into 70% train, 15% validation, and 15% test. Both 1D and 2D lead data were assessed during model building. The models included 1 dimensional and 2 dimensional convolutional neural networks (CNN), Support Vector Machines (SVM), K-Nearest Neighbors (KNN), Logistic Regression, and Boosting techniques. We implemented 10 ML models for 1D data: 9 traditional and a 1D CNN and used 2D CNNs for 2D data. Three ensemble models were also built using majority voting from the top performers. Optimal hyperparameters were determined using Bayesian optimization integrated with a grid search approach on the train/validation and evaluated on the test set. We used AUC, accuracy, sensitivity, and specificity to evaluate performance and compared the best models for statistical significance.

Results
The case group included 170 children, control group included 93. Models using individual leads aVRL, V1, and V4 showed promising results with AUC as high as 0.85. Consistent improvement is observed by using ensemble models combining three leads in both traditional ML and CNN approaches, with AUC reaching 0.95 and maintaining balanced sensitivity and specificity of 0.85 each.
Conclusion
ML algorithms can successfully identify subtle findings of DAVNP on baseline ECG that predict AVNRT risk.
  • Arezoumand, Amirhossein  ( The University of Oklahoma , Norman , Oklahoma , United States )
  • Danala, Gopichandh  ( The University of Oklahoma , Norman , Oklahoma , United States )
  • Masnadi Khiabani, Parisa  ( The University of Oklahoma , Norman , Oklahoma , United States )
  • Ebert, David  ( The University of Oklahoma , Norman , Oklahoma , United States )
  • Behere, Shashank  ( The University of Oklahoma , Norman , Oklahoma , United States )
  • Author Disclosures:
    Amirhossein Arezoumand: DO NOT have relevant financial relationships | Gopichandh Danala: No Answer | Parisa Masnadi Khiabani: DO NOT have relevant financial relationships | David Ebert: DO NOT have relevant financial relationships | Shashank Behere: DO NOT have relevant financial relationships
Meeting Info:

Scientific Sessions 2025

2025

New Orleans, Louisiana

Session Info:

Smarter Systems, Better Outcomes: AI and Data-Driven Strategies in Pediatric Cardiac Care

Saturday, 11/08/2025 , 03:15PM - 04:15PM

Moderated Digital Poster Session

More abstracts on this topic:
A dual-action prokaryotic sodium channel expression for electro-mechanical rescue in chronic heart failure

Wu Tianyu, Li Yongwu, Perelli Robin, Tornatore Anna, Siu Yiu Yan, Jiang Xixian, Landstrom Andrew, Bursac Nenad

A Contemporary Machine Learning-Based Risk Stratification for Mortality and Hospitalization in Heart Failure with Preserved Ejection Fraction Using Multimodal Real-World Data

Fudim Marat, Weerts Jerremy, Patel Manesh, Balu Suresh, Hintze Bradley, Torres Francisco, Micsinai Balan Mariann, Rigolli Marzia, Kessler Paul, Touzot Maxime, Lund Lars, Van Empel Vanessa, Pradhan Aruna, Butler Javed, Zehnder Tobias, Sauty Benoit, Esposito Christian, Balazard Félix, Mayer Imke, Hallal Mohammad, Loiseau Nicolas

You have to be authorized to contact abstract author. Please, Login
Not Available