Logo

American Heart Association

  71
  0


Final ID: TAC246

Trends in Untreated Elevated Blood Pressure in Routine Clinical Practice, 2014-2024: a Nationwide Study

Abstract Body: Background/Objectives: There has been a major effort by health systems to promote the initiation of treatment of elevated blood pressure; however, there is little longitudinal data on trends in treatment in routine clinical practice.
Methods: We used Epic Cosmos, a dataset of Epic health systems representing more than 299 million patients, to perform a retrospective study including patients age >=18 with no antihypertensive treatment in the two years preceding a primary care office visit with elevated blood pressure documented. The percentage of patients who did not receive a prescription for at least one medication recommended by the 2017 ACC/AHA High Blood Pressure guideline at that office visit were calculated across the following criteria: SBP >=160, SBP 140-159, and DBP >=90. Results were stratified by patient age group, race, ethnicity, and sex. Log-linear regression was used to estimate annual percent changes (APC) and interaction terms were fitted for each group to evaluate differences in trends over time.
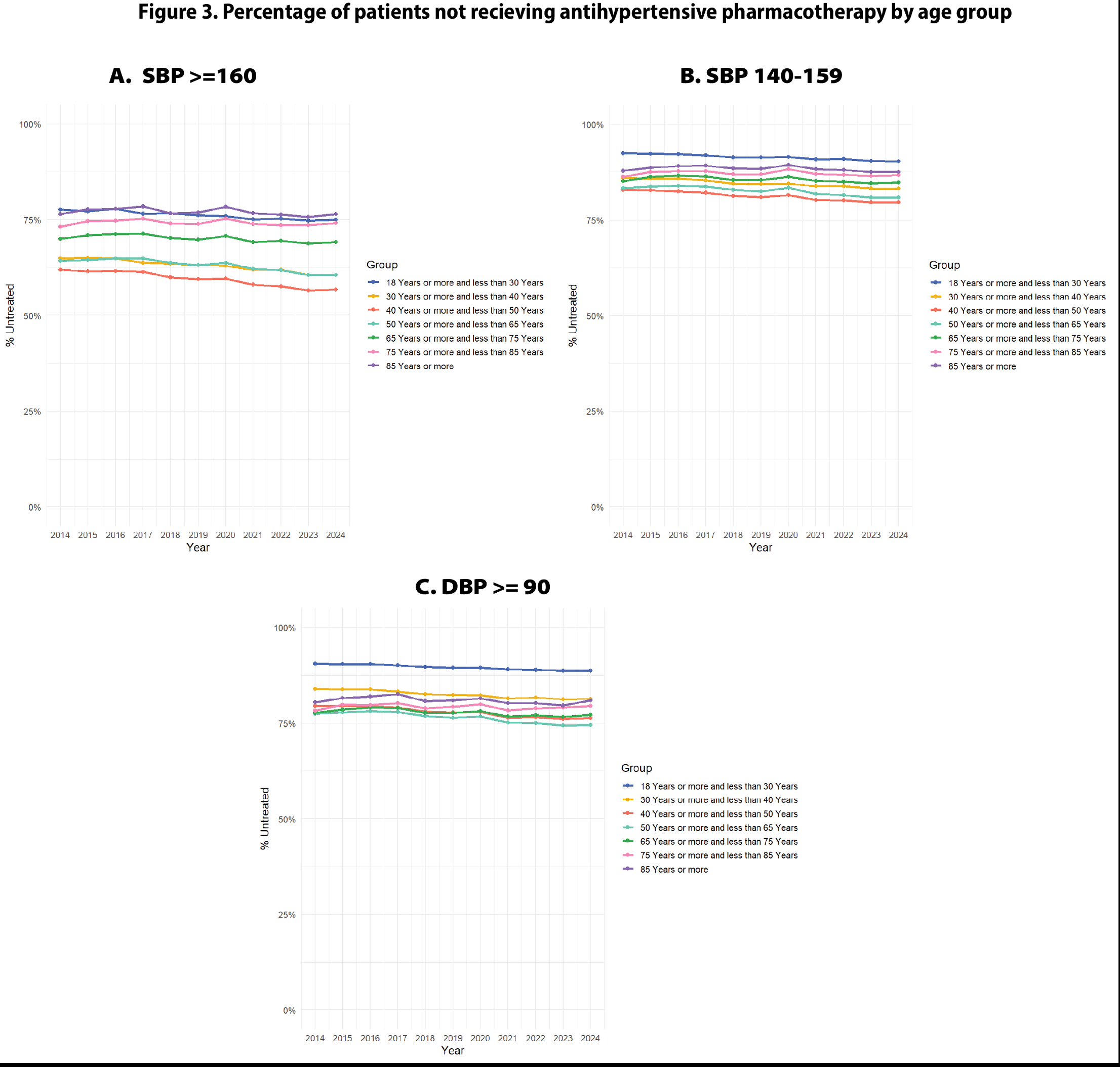
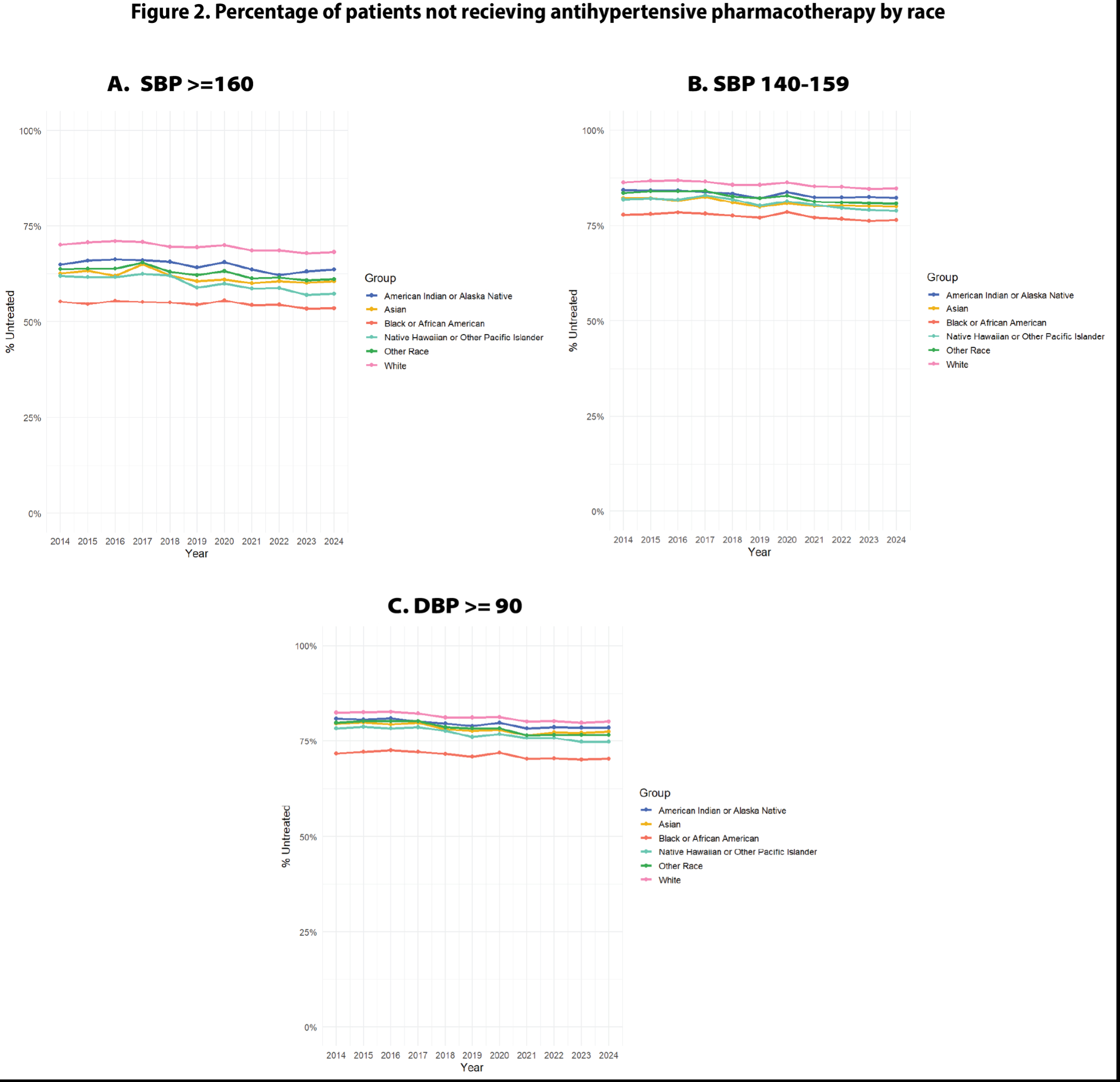
Results: In total, 7,327,224 patients with SBP >160, 30,045,600 patients with SBP 140-159, and 22,263,061 patients with DBP >90 were included in the study. At the SBP >=160 threshold, 67.1% (95% CI 66.9-67.2%) were untreated in 2014, compared to 64.8% (95% CI 64.7-64.9%) in 2024. At the SBP 140-159 threshold, 84.9% (95% CI 84.8-84.9%) were untreated in 2014, compared to 83.1% (95% CI 83.1-83.2%) in 2024. At the DBP >=90 threshold, 80.4% (95% CI 80.4-80.5%) were untreated in 2014 compared to 78.1% (95% CI 78.1-78.2%) in 2024. The magnitude of these declines were modest: APC -0.47% (95% CI -0.65% to -0.30%, p<.001) for SBP >160, APC -0.28%, (95% CI -0.37% to -1.82%, p<.001) for SBP 140-159, and APC -0.39% (95% CI -0.49% to -0.30%, p<.001) for DBP>=90. Female patients were less likely to be treated, and this difference widened over time (Figure 1). White patients were least likely to be treated and Black patients were most likely to be treated (Figure 2). Patients aged 40-50 years were the most likely to be treated, and patients aged 18-30 and 85 years or more were the least likely to be treated (Figure 3).
Conclusion: Most patients meeting criteria for initiation of pharmacological treatment of hypertension do not receive such treatment in routine primary care practice. Improvements in treatment of hypertension from 2014-2024 were modest, and differences in treatment across demographic groups raise concerns about equitable treatment of hypertension.
  • Lusk, Jay  ( University of North Carolina , Durham , North Carolina , United States )
  • Yuan, Yifang  ( Peking University Clinical Research Institute , Beijing , China )
  • Hinderliter, Alan  ( University of North Carolina , Chapel Hill , North Carolina , United States )
  • Voora, Raven  ( UNC Hospital , Chapel Hill , North Carolina , United States )
  • Shah, Anand  ( University of North Carolina , Durham , North Carolina , United States )
  • Li, Qianqian  ( Peking University Clinical Research Institute , Beijing , China )
  • Li, Fan  ( Duke University , Durham , North Carolina , United States )
  • Wu, Yangfeng  ( PEKING UNIVERSITY , Beijing , China )
  • Obrien, Emily  ( Duke University , Durham , North Carolina , United States )
  • Aymes, Shannon  ( University of North Carolina , Durham , North Carolina , United States )
  • Author Disclosures:
    Jay Lusk: DO NOT have relevant financial relationships | Shannon Aymes: No Answer | Yifang Yuan: No Answer | Alan Hinderliter: DO have relevant financial relationships ; Research Funding (PI or named investigator):Colgate:Past (completed) | Raven Voora: DO have relevant financial relationships ; Consultant:Medtronic:Active (exists now) ; Consultant:Mineralys Therapeutics:Active (exists now) | Anand Shah: DO NOT have relevant financial relationships | Qianqian Li: No Answer | Fan Li: No Answer | Yangfeng Wu: No Answer | Emily Obrien: No Answer
Meeting Info:
Session Info:

Poster Session 1 and Reception (includes TAC Poster Competition)

Thursday, 09/04/2025 , 05:30PM - 07:00PM

Poster Session

More abstracts on this topic:
A Contemporary Machine Learning-Based Risk Stratification for Mortality and Hospitalization in Heart Failure with Preserved Ejection Fraction Using Multimodal Real-World Data

Fudim Marat, Weerts Jerremy, Patel Manesh, Balu Suresh, Hintze Bradley, Torres Francisco, Micsinai Balan Mariann, Rigolli Marzia, Kessler Paul, Touzot Maxime, Lund Lars, Van Empel Vanessa, Pradhan Aruna, Butler Javed, Zehnder Tobias, Sauty Benoit, Esposito Christian, Balazard Félix, Mayer Imke, Hallal Mohammad, Loiseau Nicolas

10-Year Trend Analysis of Medicare Payment in Stroke Inpatient Hospital Admission

Wong Ka-ho, Krothapalli Neeharika, Littig Lauren, Champagne Alison, Majersik Jennifer, Reddy Vivek, De Havenon Adam

You have to be authorized to contact abstract author. Please, Login
Not Available