Logo

American Heart Association

  12
  0


Final ID: WE404

Trends in Survival after Atrial Fibrillation in a Midwestern Community

Abstract Body: Background: Contemporary data on trends in survival after incident atrial fibrillation (AF) are limited.
Methods: Residents of a 27-county area in southern Minnesota and western Wisconsin with new-onset atrial fibrillation or atrial flutter between 2013 and 2023 were identified. An electronic algorithm requiring 1 inpatient code or 2 outpatient codes separated by >7 days but within 1 year was used to define AF. Patients were followed for all-cause mortality through March 31, 2025. Standardized mortality ratios of observed versus expected survival were calculated, and time trends in survival were examined using Cox regression adjusting for demographics, cardiovascular risk factors, comorbid conditions, and area-level measures of socioeconomic status and rurality.
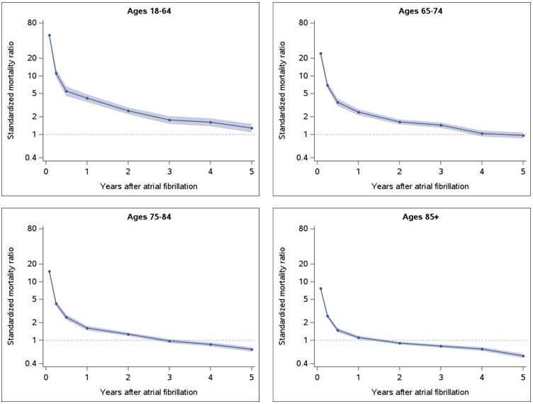
Results: There were 44,930 individuals identified with incident AF from 2013-2023 (56.4% male; mean (SD) age 72.8 (13.5) years; 95.8% were non-Hispanic white). Within the first 90 days, the risk of all-cause mortality was greatly elevated compared with individuals of a similar age and sex distribution in the general population (standardized mortality ratios 12.6, 95% CI, 12.1-13.0 and 3.8, 95% CI, 3.6-4.0 for the first 30 days and 31 to 90 days after diagnosis, respectively). This excess risk was observed for all age groups but was greatest in the youngest age group (standardized mortality ratios among 18-64 year olds for the first 30 days: 49.9, 95% CI, 44.6-55.7 and 31 to 90 days: 11.1, 95% CI: 9.4-13.1; Figure). In the youngest age group, the excess risk persists through 5 years post AF, however, in the oldest age group the excess risk only persisted through 1 year. Survival within the first 90 days improved over the study period (adjusted hazard ratio [aHR], 0.88; 95% CI, 0.79-0.99 for 2023 vs 2013); likewise, among 90-day survivors, survival improved between 2013 and 2023 (aHR,0.82; 95% CI, 0.76-0.88). These trends were driven by improvements in the younger age groups, particularly for death among 90-day survivors (aHR for 18-64 years, 0.66, 95% CI, 0.52-0.83; 65-74 years: 0.77, 95% CI: 0.65-0.90; 75-84 years, 0.84, 95% CI: 0.75-0.95; 85+ years, 0.99, 95% CI: 0.98-1.01).
Conclusion: In a Midwestern community, the excess risk of death is high within the first 90 days after incident AF. Furthermore, survival after AF has improved between 2013 and 2023, with the improvement greatest in younger age groups.
  • Manemann, Sheila  ( MAYO CLINIC , Rochester , Minnesota , United States )
  • Salama, Peter  ( University of Minnesota Twin Cities , Isanti , Minnesota , United States )
  • Tordsen, Walker  ( University of Minnesota Twin Cities , Isanti , Minnesota , United States )
  • Killian, Jill  ( Mayo Clinic , Rochester , Minnesota , United States )
  • Vaughan, Lisa  ( Mayo Clinic , Buffalo , New York , United States )
  • Gersh, Bernard  ( Mayo Clinic , Wilson , Wyoming , United States )
  • Siontis, Konstantinos  ( Mayo Clinic , Rochester , Minnesota , United States )
  • Noseworthy, Peter  ( MAYO CLINIC , Rochester , Minnesota , United States )
  • Desimone, Christopher  ( MAYO CLINIC , Rochester , Minnesota , United States )
  • Deshmukh, Abhishek  ( Mayo Clinic , Rochester , Minnesota , United States )
  • Chamberlain, Alanna  ( MAYO CLINIC , Rochester , Minnesota , United States )
  • Author Disclosures:
Meeting Info:

EPI-Lifestyle Scientific Sessions 2026

2026

Boston, Massachusetts

Session Info:

Poster Session 2

Wednesday, 03/18/2026 , 05:00PM - 07:00PM

Poster Session

More abstracts on this topic:
A Contemporary Machine Learning-Based Risk Stratification for Mortality and Hospitalization in Heart Failure with Preserved Ejection Fraction Using Multimodal Real-World Data

Fudim Marat, Weerts Jerremy, Patel Manesh, Balu Suresh, Hintze Bradley, Torres Francisco, Micsinai Balan Mariann, Rigolli Marzia, Kessler Paul, Touzot Maxime, Lund Lars, Van Empel Vanessa, Pradhan Aruna, Butler Javed, Zehnder Tobias, Sauty Benoit, Esposito Christian, Balazard Félix, Mayer Imke, Hallal Mohammad, Loiseau Nicolas

A Meta-analysis of Folic Acid Supplementation Efficacy in Cardiovascular Diseases Prevention.

Calderon Martinez Ernesto, Camacho Davila Karen Fabiola, Pinto-colmenarez Rafael, Arruarana Victor, Arvelaez Pascucci Joanne, Castillo Jaqueline Livier, Alonso Ramirez Angie Carolina, Ghattas Patricia, Giron De Marza Maria, Sosaya Zuñiga Briggitte Solange, Martinez Lilan Jonathan David, Paredes Romero Enrique

More abstracts from these authors:
Safety of Dofetilide Initiation Following a Shortened Amiodarone Washout Period

Burright Isaac, Del-carpio Munoz Freddy, Deshmukh Abhishek, Asirvatham Samuel, Siontis Konstantinos, Noseworthy Peter, Killu Ammar, Sugrue Alan

Trends in Incidence of Atrial Fibrillation in the Midwest USA from 2013 to 2023

Salama Peter, Deshmukh Abhishek, Chamberlain Alanna, Tordsen Walker, Manemann Sheila, Killian Jill, Vaughan Lisa, Gersh Bernard, Siontis Konstantinos, Noseworthy Peter, Desimone Christopher

You have to be authorized to contact abstract author. Please, Login
Not Available