Logo

American Heart Association

  22
  0


Final ID: TH902

Joint Impact of Social Determinants of Health Burden and Coronary Artery Disease on All-Cause and Cardiovascular Mortality: 18-Year Follow-up From National Health And Nutrition Examination Survey 2000–2018

Abstract Body: Background
Coronary heart disease (CHD) remains the leading cause of death in the United States, yet the benefits of modern cardiovascular care are not equitably distributed. Social determinants of health (SDoH), which includes economic stability, education, healthcare access, and neighborhood environment, may substantially shape outcomes among patients with CHD. Our study evaluates the joint association of SDoH burden and CHD with mortality outcomes.

Methods
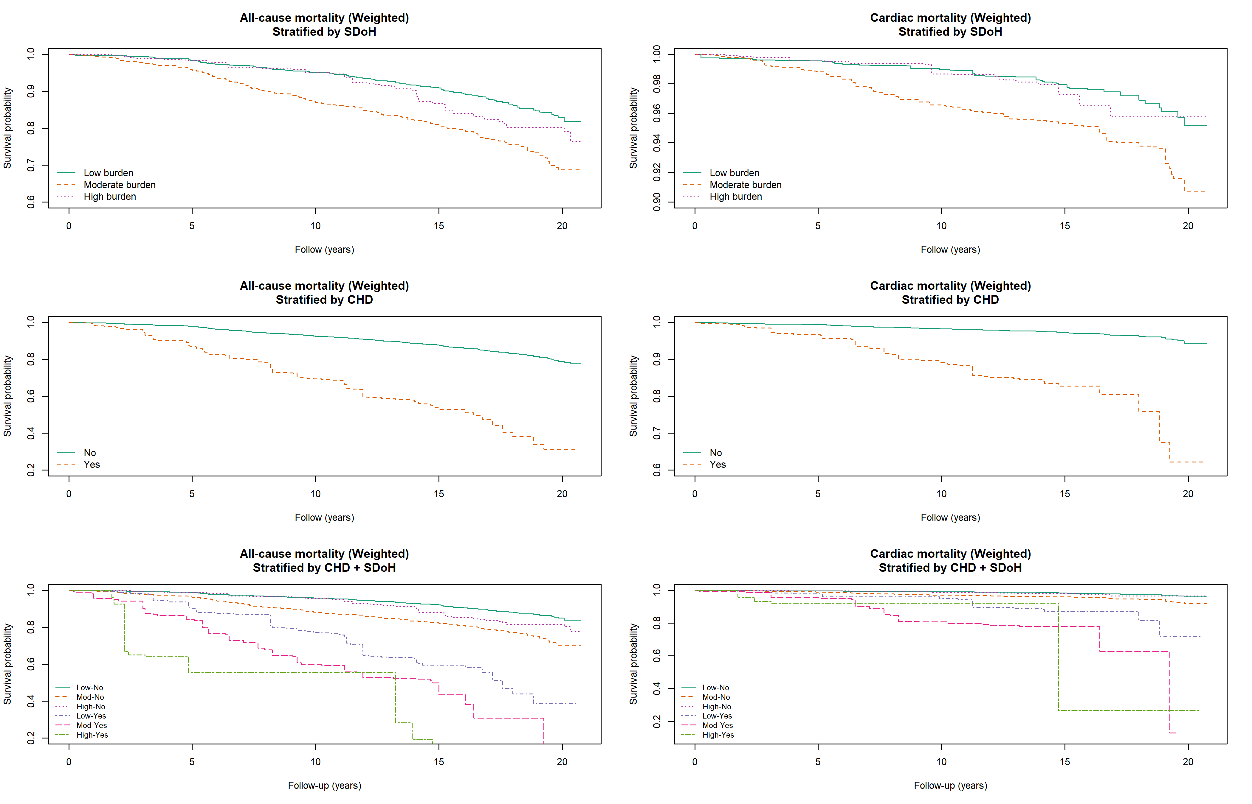
We analyzed adults ≥20 years from the National Health and Nutrition Examination Survey (NHANES) 2000–2018, linked with the National Death Index through 2018. Cumulative SDoH burden was derived from eight domains (employment, poverty-to-income ratio, food insecurity, education, healthcare access, insurance, housing, marital status), categorized as low (0–2), moderate (3–5), or high (6–8). Weighted Cox proportional hazards models estimated hazard ratios (HRs) and 95% confidence intervals (CIs) for all-cause and cardiovascular mortality by SDoH burden, stratified by CHD status, with sequential adjustment for demographic and cardiometabolic factors.

Results
Among 49.3 million U.S. adults (mean age 46.1 ± 15.6 years; 44.8% female), 3.7% had CHD. Those with CHD were older (64.7 vs 45.4 years, p < 0.001), more often non-Hispanic White (94.2% vs 81.5%), and had greater waist circumference (106.1 vs 87.5 cm) but lower cholesterol (176 vs 202 mg/dL, p < 0.001). Participants with high SDoH burden had lower income and education. In weighted regression, higher SDoH burden and CHD were independently associated with greater all-cause and cardiovascular mortality. Fully adjusted models showed high SDoH burden tripled all-cause mortality risk (HR 3.00, p < 0.001), while CHD further amplified risk. Compared with low SDoH/no CHD, those with CHD and high SDoH burden had nearly a 14-fold higher all-cause mortality (HR 13.6, p < 0.001) and 17-fold higher cardiovascular mortality (HR 17.7, p < 0.001). Findings were consistent across sex, race, and metabolic subgroups, with mortality hazards often exceeding tenfold among those with both CHD and high SDoH burden.

Conclusions
Cumulative SDoH burden is strongly and independently associated with mortality among adults with CHD, with evidence of a synergistic effect between biological and social vulnerability. These findings underscore the need for policies and interventions addressing upstream social inequities to improve survival in cardiovascular populations.
  • Nizam, Muhammad  ( Trinity Health Livonia/Wayne State University , Livonia , Michigan , United States )
  • Kamel, Omar  ( South valley university , Sohag , Egypt )
  • Goel, Anika  ( Kakatiya Medical College, Telangana , Hyderabad , India )
  • Sharma, Grishma  ( Mayo Clinic , Jacksonville , Florida , United States )
  • Adusumilli, Devika  ( Medical City Fort Worth , Fort Worth , Texas , United States )
  • Gohar, Najam  ( Ameer-ud-Din Medical College , Sialkot , Pakistan )
  • Ahmed, Faizan  ( Jersey Shore University Medical Center , Neptune City , New Jersey , United States )
  • Shahid, Izza  ( Houston Methodist Academic Institut , Houston , Texas , United States )
  • Author Disclosures:
Meeting Info:

EPI-Lifestyle Scientific Sessions 2026

2026

Boston, Massachusetts

Session Info:

Poster Session 3

Thursday, 03/19/2026 , 05:00PM - 07:00PM

Poster Session

More abstracts on this topic:
Absence of standard modifiable risk factors (SMuRF-less) among 5002 Middle Eastern patients with atherosclerotic cardiovascular disease: (Interim analysis from the Jo-SMuRF Study)

Aldalal'ah Mo'men, Hammoudeh Ayman, Hamza Ibrahem, Alqudah Mohammad, Khasawneh Hasan, Alomari Sawsan, Alomari Ahmad, H. Assaf Sarah, Zaqqa Ayah, Khatatbeh Moawiah

Ambulatory QT Interval Prolongation and Reduced T-Amplitude Help Identify Veterans with Heart Disease

Shah Amit, Colon-motas Kay, De Leon Katalina, Murtala Abdulkareem, Osei Jeffery, Mourad Rama, Chang Sarah, Ko Yi-an, Zeng Zhaohua, Sheikh Shafa-at, Xu Ying, Koscova Zuzana, Kim Kain, Akoto Natalie, Santana Eric, Alexander Abigail, Suvada Kara, Roberts Tatum, Stefanos Lewam, Vaccarino Viola, Clifford Gari, Li Qiao, Sameni Reza, Bahrami Rad Ali, Karimi Sajjad, Lampert Rachel, Mathew Lejy, Alagar Nikila

More abstracts from these authors:
The Obesity Paradox Still Exists in Heart Failure: A Dose-Response Meta-Analysis of Body Mass Index and Mortality Across Diverse Subgroups

Nizam Muhammad, Shahid Izza, Shoaib Aqsa, Yousuf Muhammad, Almani Muhammad Usman

Silent Infiltration: Asymptomatic Cardiac Metastasis from Primary Lung Adenocarcinoma

Adusumilli Devika, Lapsiwala Boney, Sharma Aditya, Moonnumackel Sania, Malik Amir

You have to be authorized to contact abstract author. Please, Login
Not Available