Logo

American Heart Association

  43
  0


Final ID: MP1641

The Obesity Paradox Still Exists in Heart Failure: A Dose-Response Meta-Analysis of Body Mass Index and Mortality Across Diverse Subgroups

Abstract Body (Do not enter title and authors here): Background: Despite obesity being a major cardiovascular risk factor, studies in heart failure populations have reported an inverse association between body mass index and mortality—a phenomenon termed the "obesity paradox." However, the consistency and shape of this relationship across different HF phenotypes and clinical subgroups remain unclear. This meta-analysis aimed to quantify the dose-response relationship between BMI and mortality in HF patients and assess potential variations across subgroups.

Hypothesis: Higher BMI is associated with reduced mortality in patients with heart failure, and that this relationship varies across clinical subgroups and U-shaped relationship.

Methods: We followed the Preferred Reporting Items for Systematic Reviews and Meta-Analyses guidelines. A search strategy was developed, and studies were extracted from Cochrane and PubMed databases through December 2023. The main outcomes were all-cause mortality, cardiovascular deaths, and heart failure hospitalizations. Data were summarized as hazard ratios with 95% confidence intervals, and a spline model was used to assess non-linear relationships, with 21.7 kg/m2 as the reference point in the dose-response curve. PROSPERO: CRD42023455124

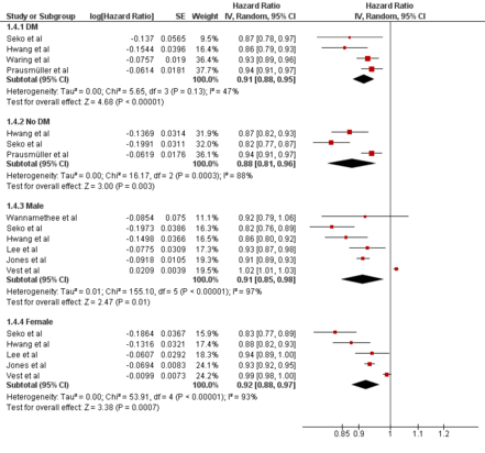
Results: Thirty-three studies (457,124 person-years) showed that each 5 kg/m2 increase in BMI was significantly associated with a 6% reduction in all-cause mortality (HR 0.94; 95% CI 0.92–0.96). Significant reductions were observed in acute decompensated heart failure (7%), HFpEF (9%), HFrEF (8%), diabetes (9%), males (9%), and females (8%). Cardiovascular mortality declined by 5% per 5 kg/m2 increase. Non-linear analysis revealed a significant U-shaped relationship, with lowest all-cause mortality between BMI 21.7 and 39 kg/m2. Subgroup analysis showed significant non-linear all-cause mortality reductions in acute decompensated heart failure (23.5–26 kg/m2), HFpEF (21.7–31 kg/m2), HFrEF (21.7–43 kg/m2), females (24–25.5 kg/m2), diabetes (21.7–36 kg/m2), and non-diabetics (21.7–33 kg/m2).

Conclusion: Higher BMI is significantly associated with lower all-cause and cardiovascular mortality in patients with heart failure, supporting the presence of an obesity paradox. This protective effect was consistent across clinical subgroups, including HFpEF, HFrEF, males, females, and individuals with diabetes. The BMI paradox was evident in patients with acute decompensated heart failure, HFpEF, HFrEF, females, and both with and without diabetes.
  • Nizam, Muhammad  ( Trinity Health Livonia Hospital , Livonia , Michigan , United States )
  • Shahid, Izza  ( Houston Methodist Academic Institut , Houston , Texas , United States )
  • Shoaib, Aqsa  ( Karachi Medical and Dental College , Karachi , Sindh , Pakistan )
  • Yousuf, Muhammad  ( Mayo Clinic , Rochester , Minnesota , United States )
  • Almani, Muhammad Usman  ( Jefferson Einstein Medical Center , Philadelphia , Pennsylvania , United States )
  • Author Disclosures:
    Muhammad Nizam: DO NOT have relevant financial relationships | Izza Shahid: DO NOT have relevant financial relationships | Aqsa Shoaib: No Answer | Muhammad Yousuf: DO NOT have relevant financial relationships | Muhammad Usman Almani: No Answer
Meeting Info:

Scientific Sessions 2025

2025

New Orleans, Louisiana

Session Info:

Hopping Heart Failure Science

Sunday, 11/09/2025 , 03:15PM - 04:25PM

Moderated Digital Poster Session

More abstracts on this topic:
Contribution of Early-Life Obesity to Cavernosal and Pudendal Artery Dysfunction in Young Adult Rats Mediated by Secretin GPCRs and Senescence Pathways: Functional and Transcriptomic Insights

Tomazini Goncalves Tiago, Mccarthy Cam, Carneiro Fernando, Ceravolo Graziela, Webb R Clinton, Priviero Fernanda, Zhang Tianxin, Dos Passos Rinaldo, Vieira Dos Santos Cintia, Moura Kawane, Townsend Jr Paul, Wilson Emily, Dos Anjos Moraes Raiana, Wenceslau Camilla

A Contemporary Machine Learning-Based Risk Stratification for Mortality and Hospitalization in Heart Failure with Preserved Ejection Fraction Using Multimodal Real-World Data

Fudim Marat, Weerts Jerremy, Patel Manesh, Balu Suresh, Hintze Bradley, Torres Francisco, Micsinai Balan Mariann, Rigolli Marzia, Kessler Paul, Touzot Maxime, Lund Lars, Van Empel Vanessa, Pradhan Aruna, Butler Javed, Zehnder Tobias, Sauty Benoit, Esposito Christian, Balazard Félix, Mayer Imke, Hallal Mohammad, Loiseau Nicolas

You have to be authorized to contact abstract author. Please, Login
Not Available