Logo

American Heart Association

  15
  0


Final ID: TH801

Survival predictors vary according to amyloidosis type: a pilot study comparing AL and ATTTR

Abstract Body: Introduction: Cardiac amyloidosis (CA) is characterized by a wide spectrum of clinical manifestations, with prognosis primarily determined by the specific amyloidosis subtype and the degree of cardiac involvement. Although novel therapeutic approaches have altered the natural history of the condition, parameters for effectively monitoring prognostic changes remain to be established, especially when considering subtypes’ differences.
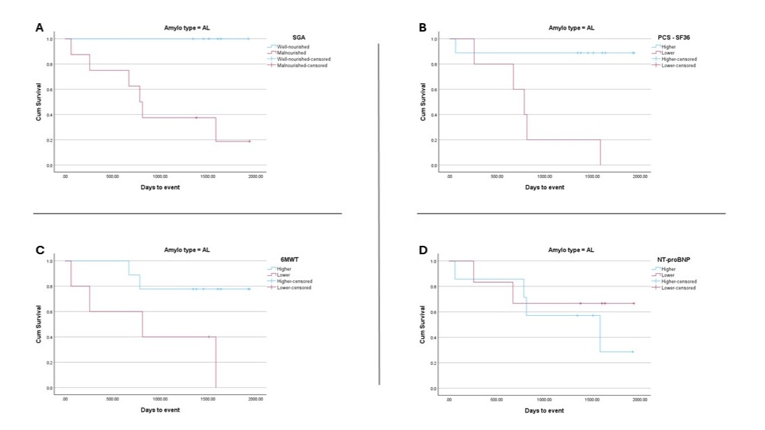
Objective: This study sought to explore factors associated with survival in patients with CA and examine potential effects of Amyloidosis type (AL versus ATTR).
Method: This pilot study included 29 patients diagnosed with either AL (n=14) or ATTR (n=15) cardiac amyloidosis. Data were collected between January 2020 and May 2025. Predictors were assessed at baseline: Nutritional status (Subjective Global Assessment), 6MWT, SF-36, KCCQ, NT-proBNP, global longitudinal strain (GLS), and stroke volume index (SVi). Outcomes were coded as low if in the lowest tertiles (binary transformation). Survival status was assessed after 1567±224 days. Kaplan-Meier analysis and the Log-Rank (Mantel-Cox) test were used to compare groups according to predictors.

Results: At follow-up, 13 deaths were recorded (6 AL, 7 ATTR). When both AL and ATTR groups were combined, malnutrition (p=0.005), Energy/Fatigue Score (SF-36; p=0.045), Pain Score (SF-36; p=0.003), and 6MWT distance (p=0.034) were significant predictors of death. Upon separate analysis, survival among AL patients was significantly associated with malnutrition status (p=0.010), low physical limitation (KCCQ; p=0.002), low physical component score (SF-36; p=0.003), low energy/fatigue score (SF-36; p=0.017), low pain score (SF-36; p<0.001), and reduced 6MWT distance (p=0.035). For ATTR patients, no significant predictors of survival were identified.

Conclusions: Traditional markers such as NT-pro-BNP, GLS, and SVi were not predictive of survival in our patient cohort. Notably, malnutrition, quality of life (QoL), and 6MWT distance demonstrated a strong prognostic value in patients with AL amyloidosis. These results underscore the importance of routinely adopting individualized evaluations and standardized multidisciplinary assessments in disease progression monitoring. Further large-scale studies are recommended to validate these findings and to investigate the influence of nutritional status on patient outcomes.
  • Aver B Ribeiro, Paula  ( CRCHUM , Montreal , Quebec , Canada )
  • Souza Grigoletti, Shana  ( CRCHUM , Montreal , Quebec , Canada )
  • Zuchinali, Priccila  ( CRCHUM , Montreal , Quebec , Canada )
  • Jean-charles, Loyda  ( CRCHUM , Montreal , Quebec , Canada )
  • Argentin, Stefania  ( CHUM , Montreal , Quebec , Canada )
  • Fontaine, Valerie  ( CHUM , Montreal , Quebec , Canada )
  • Tournoux, Francois  ( CHUM , Montreal , Quebec , Canada )
  • Author Disclosures:
Meeting Info:

EPI-Lifestyle Scientific Sessions 2026

2026

Boston, Massachusetts

Session Info:

Poster Session 3

Thursday, 03/19/2026 , 05:00PM - 07:00PM

Poster Session

More abstracts on this topic:
Association of better adherence to the Dietary Approaches to Stop Hypertension with all-cause mortality and food groups driving this association: data from a large population-based study from Germany

Stuermer Paula, Leitzmann Michael, Doerr Marcus, Lehnert Kristin, Knueppel Sven, Wawro Nina, Weber Katharina, Lieb Wolfgang, Oevermoehle Cara, Strathmann Eike, Jaber Max, Schlesinger Sabrina, Noethlings Ute, Linseisen Jakob, Schulze Matthias, Pischon Tobias

A Three-Arm Randomized Trial to Assess Feasibility and Acceptability of Medically Tailored Meals and Shared Medical Appointments for Healthy Eating Behavior in Black Adults with Cardiometabolic Disease

Hill Jacob, Carter James, Mccarty Narissa, Wise Sylvia, Guo Ning, Jones-mack Tawny, Shallcross Amanda

More abstracts from these authors:
Cardiac and renal expression of angiotensin II type 1 receptor and its association with fibrosis and heart function in ischemic heart failure rat models

Drumeva Gergana, Petrenyov Daniil, Chen Cen, Der Sarkissian Shant, Tournoux Francois, Noiseux Nicolas, Dasilva Jean

Relationship between heart function, fibrosis and AT1 receptors in the heart and the kidneys of a mouse model of doxorubicin-induced cardiomyopathy

Drumeva Gergana, Plane Anne-flore, Petrenyov Daniil, Chen Cen, Dasilva Jean, Tournoux Francois

You have to be authorized to contact abstract author. Please, Login
Not Available