Logo

American Heart Association

  121
  0


Final ID: P2064

Comparing East and South Asian population-specific blood pressure trajectories and their associations with cardiovascular disease risk

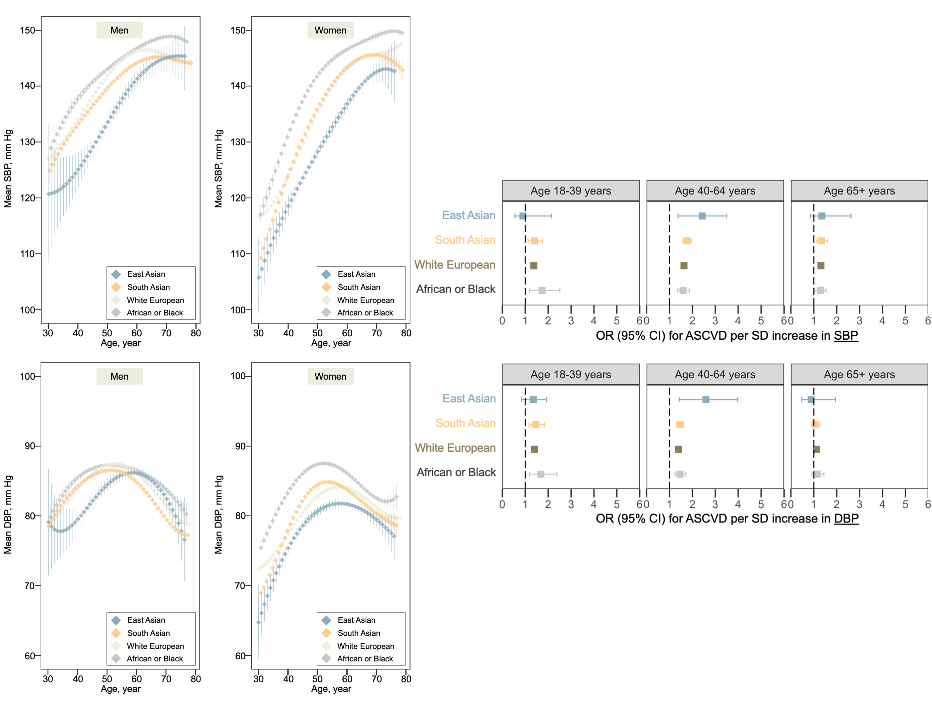
Abstract Body: Introduction Cardiovascular disease (CVD) risk differs across Asian subgroups possibly due to differences in hypertension burden. We characterized lifetime blood pressure (BP) trajectories for East and South Asian individuals and compared their age-specific associations with lifetime CVD risk.

Methods Using UK Biobank primary care data, we identified 148,872 individuals with BP measurements since age 18 years. For each sex and self-identified ethnicity, life course BP trajectories were fitted as a function of age. We determined associations of time-averaged young adulthood (age 18-39), middle-age (age 40-64), and later-life (age ≥65) systolic BP (SBP) and diastolic BP (DBP) with incident atherosclerotic CVD risk using sex and antihypertensive-adjusted logistic regression.

Results Of 148,872 UK adults (54% women), 376 (0.3%) identified as East Asian, 3077 (2.1%) as South Asian, 143,575 (96.4%) as White European, and 1844 (1.2%) as African or Black. The predicted SBP/DBP [95% CI] at age 30 years was 108 [103-114] / 68 [65-71] mmHg for East Asian and 114 [110-118] / 72 [71-73] mmHg for South Asian individuals. By age 40, South Asian individuals were projected to reach SBP of 130.0 mmHg, whereas East Asian individuals reached the equivalent SBP by age 49. Among South Asian individuals, each standard deviation increase in young adulthood SBP associated with a higher atherosclerotic CVD risk with an odds ratio (OR) [95% CI] of 1.41 [1.12-1.75] but not among East Asians (Pinteraction=0.01). Midlife SBP associated with peripheral artery disease among South Asian individuals (OR [95% CI]: 2.08 [1.51-2.88]), and with ischemic stroke among East Asian individuals (3.84 [1.08-5.07]). Later-life SBP associated with myocardial infarction risk by 1.52 [1.15-1.92]-fold among South Asian and ischemic stroke by 2.50 [1.06-3.80]-fold among East Asian individuals.

Conclusions East and South Asian individuals exhibit distinct BP trajectories that age-differentially associate with incident CVD. Disaggregating Asian subgroups may inform tailored hypertension screening and management.
  • Cho, So Mi  ( , Cambridge , Massachusetts , United States )
  • Yang, Eugene  ( University of Washington , Seattle , Washington , United States )
  • Shimbo, Daichi  ( COLUMBIA UNIVERSITY , New York , New York , United States )
  • Natarajan, Pradeep  ( Massachusetts General Hospital , Boston , Massachusetts , United States )
  • Urbut, Sarah  ( Massachusetts General Hospital , Boston , Massachusetts , United States )
  • Ruan, Yunfeng  ( , Cambridge , Massachusetts , United States )
  • Bhatnagar, Aarushi  ( Massachusetts General Hospital , Boston , Massachusetts , United States )
  • Ganesh, Shriienidhie  ( , Cambridge , Massachusetts , United States )
  • Hornsby, Whitney  ( , Cambridge , Massachusetts , United States )
  • Bhattacharya, Romit  ( Massachusetts General Hospital , Boston , Massachusetts , United States )
  • Honigberg, Michael  ( Massachusetts General Hospital , Boston , Massachusetts , United States )
  • Juraschek, Stephen  ( BIDMC-Harvard Medical School , Boston , Massachusetts , United States )
  • Author Disclosures:
    So Mi Cho: DO NOT have relevant financial relationships | Eugene Yang: No Answer | Daichi Shimbo: DO NOT have relevant financial relationships | Pradeep Natarajan: No Answer | Sarah Urbut: No Answer | Yunfeng Ruan: No Answer | Aarushi Bhatnagar: No Answer | Shriienidhie Ganesh: No Answer | Whitney Hornsby: No Answer | Romit Bhattacharya: No Answer | Michael Honigberg: No Answer | Stephen Juraschek: No Answer
Meeting Info:
Session Info:

PS02.08 Hypertension 1

Friday, 03/07/2025 , 05:00PM - 07:00PM

Poster Session

More abstracts on this topic:
A 60-fold increase in SCA risk in the last kilometer of endurance races : Final sprint, fatal outcome.

Chocron Richard, Levy Bernard, Beganton Franckie, Bougouin Wulfran, Empana Jean-philippe, Jouven Xavier, Laurenceau Thomas, Chabrol Marion, Mignot Soline, Meli Ugo, Langlois Camille, Cezard Pierre, Schwartz Peter, Kaab Stefan

An Accessible Image-based Artificial Intelligence-Electrocardiogram Risk Score Enhances Atherosclerotic Cardiovascular Disease Risk Prediction Beyond Traditional Risk Scores

Batinica Bruno, Oikonomou Evangelos, Dhingra Lovedeep, Pedroso Aline, Aminorroaya Arya, Biswas Dhruva, Khera Rohan

More abstracts from these authors:
Premature Menopause and Polygenic Risk on Incident Coronary Artery Disease among Postmenopausal Women

Ganesh Shriienidhie, Hornsby Whitney, Paruchuri Kaavya, Ruan Yunfeng, Patel Aniruddh, Honigberg Michael, Natarajan Pradeep

Blood pressure polygenic score predicts long-term blood pressure control and treatment-resistant hypertension

Cho So Mi, Honigberg Michael, Fahed Akl, Patel Aniruddh, Hornsby Whitney, Natarajan Pradeep, Ruan Yunfeng, Lee Hyeok-hee, Koyama Satoshi, Juraschek Stephen, Allen Norrina, Yang Eugene, Mcevoy John, Secemsky Eric

You have to be authorized to contact abstract author. Please, Login
Not Available