Logo

American Heart Association

  70
  0


Final ID:

Coronary CT Angiography in Prediction of Coronary Events

Abstract Body (Do not enter title and authors here): Background It is unknown whether risk stratification in primary prevention is improved by adding coronary computed tomography angiography (CCTA)-derived data on coronary atherosclerosis to traditional risk factors and coronary artery calcification score (CACS).

Methods We used CCTA to assess the extent and/or presence of calcified and noncalcified coronary atherosclerosis (segment involvement score [SIS]) and obstructive disease (stenosis ≥50%) in 24,791 individuals without previous cardiovascular disease selected from a randomly recruited general population (the Swedish CArdioPulmonary bioImage Study [SCAPIS]). We also measured CACS and used traditional risk factors to calculate cardiovascular risk by the pooled cohort equation (PCE). The primary outcome was a composite of first occurrence of nonfatal myocardial infarction or death from coronary heart disease. We used four Cox regression models. First, the risk score (PCE) was entered as a continuous variable (Model 1). In Model 2, we added CACS to PCE. In Model 3, we added CCTA data to PCE. Finally, we added both CACS and CCTA data to PCE (Model 4).

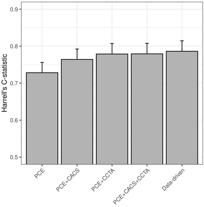
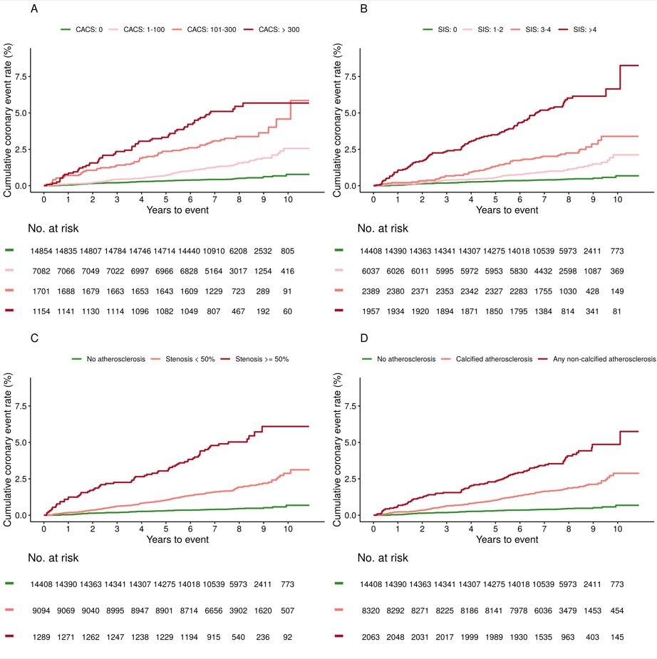
Results During a median follow-up of 7.8 years, 304 coronary events occurred. SIS 3–4 and >4 were present in 9.6% and 7.9% of the population and were associated with adjusted hazard ratios of 2.71 (95% confidence interval [CI] 1.34–5.44) and 5.27 (95% CI 2.50–11.07), respectively (Figure 1 and Table 1). In a model based on PCE and CACS (Model 4), CCTA-derived data improved risk prediction (C-statistic improved from 0.764 to 0.779, p<0.01, Figure 2) and risk reclassification (net reclassification improvement of 0.150, 95% CI 0.052–0.240) and conferred a net correct upward reclassification of 7.5% in those with events and a net correct downward reclassification of 6.1% in those without events. In the subgroup defined as moderate risk by PCE and CACS, addition of CCTA data resulted in a net correct upward classification of 16.3% and a net correct downward classification of 20.4%.

Conclusion In a large cohort of individuals without established cardiovascular disease selected from a randomly recruited general population, the addition of CCTA-derived data on coronary atherosclerosis provides value beyond traditional risk factors and CACS in identifying individuals at risk of coronary events and in need of primary prevention.
  • Bergstrom, Goran  ( University of Gothenburg , Gothenburg , Sweden )
  • Engstrom, Gunnar  ( Lund University , Malmö , Sweden )
  • Björnson, Elias  ( University of Gothenburg , Gothenburg , Sweden )
  • Adiels, Martin  ( University of Gothenburg , Gothenburg , Sweden )
  • Andersson, Jonas  ( Umeå University , Umeå , Sweden )
  • Andersson, Therese  ( Umeå University , Umeå , Sweden )
  • Carlhall, Carl-johan  ( Linköping University , Linköping , Sweden )
  • Cederlund, Kerstin  ( Karolinska Institute , Stockholm , Sweden )
  • Erlinge, David  ( Lund University , Lund , Sweden )
  • Fagman, Erika  ( Sahlgrenska University Hospital , Gothenburg , Sweden )
  • Good, Elin  ( Linköping University , Linköping , Sweden )
  • Gummesson, Anders  ( University of Gothenburg , Gothenburg , Sweden )
  • Hagstrom, Emil  ( Uppsala University , Uppsala , Sweden )
  • James, Stefan  ( Uppsala University , Uppsala , Sweden )
  • Janzon, Magnus  ( Linköping University , Linköping , Sweden )
  • Katsoularis, Ioannis  ( Umeå University , Umeå , Sweden )
  • Kuhl, Jeanette  ( Danderyd University Hospital, Karolinska Institute , Stockholm , Sweden )
  • Lofmark, Henrik  ( Danderyd University Hospital, Karolinska Institute , Stockholm , Sweden )
  • Markstad, Hanna  ( Skåne University Hospital, Lund University , Lund , Sweden )
  • Oldgren, Jonas  ( Uppsala University , Uppsala , Sweden )
  • Oskarsson, Viktor  ( Umeå University , Umeå , Sweden )
  • Ostenfeld, Ellen  ( Lund University , Lund , Sweden )
  • Persson, Anders  ( Linköping University , Linköping , Sweden )
  • Pistea, Adrian  ( Skåne University Hospital , Lund , Sweden )
  • Rosengren, Annika  ( University of Gothenburg , Gothenburg , Sweden )
  • Spaak, Jonas  ( Danderyd University Hospital, Karolinska Institute , Stockholm , Sweden )
  • Sundstrom, Johan  ( Uppsala University , Uppsala , Sweden )
  • Soderberg, Stefan  ( Umeå University , Umeå , Sweden )
  • Thunstrom, Erik  ( University of Gothenburg , Gothenburg , Sweden )
  • Ostgren, Carl  ( Linköping University , Linköping , Sweden )
  • Lind, Lars  ( Uppsala University , Uppsala , Sweden )
  • Jernberg, Tomas  ( Danderyd University Hospital, Karolinska Institute , Stockholm , Sweden )
  • Author Disclosures:
    Goran Bergstrom: DO NOT have relevant financial relationships | Erika Fagman: DO NOT have relevant financial relationships | Elin Good: DO NOT have relevant financial relationships | Anders Gummesson: DO NOT have relevant financial relationships | Emil Hagstrom: DO have relevant financial relationships ; Researcher:Pfizer:Active (exists now) ; Speaker:Sanofi:Past (completed) ; Speaker:AMGEN:Past (completed) ; Speaker:Novartis:Past (completed) ; Advisor:Novartis:Past (completed) ; Speaker:Ultragenyx:Past (completed) ; Advisor:Sanofi:Past (completed) ; Advisor:NovoNordisk:Past (completed) ; Advisor:Amarin:Past (completed) ; Speaker:AMGEN:Past (completed) ; Researcher:AMGEN:Active (exists now) | Stefan James: DO NOT have relevant financial relationships | Magnus Janzon: DO NOT have relevant financial relationships | Ioannis Katsoularis: DO have relevant financial relationships ; Speaker:Pfizer:Past (completed) ; Speaker:Astra Zeneca:Active (exists now) | Jeanette Kuhl: No Answer | Henrik Lofmark: No Answer | Hanna Markstad: DO NOT have relevant financial relationships | Gunnar Engstrom: DO NOT have relevant financial relationships | Jonas Oldgren: DO have relevant financial relationships ; Other (please indicate in the box next to the company name):Amgen, research grant to my institution:Active (exists now) ; Other (please indicate in the box next to the company name):Regeneron, advisory board, fee to my institution:Past (completed) ; Other (please indicate in the box next to the company name):Pfizer, speaker fee to my institution:Past (completed) ; Other (please indicate in the box next to the company name):Roche Diagnostics, research grant to my institution:Active (exists now) ; Other (please indicate in the box next to the company name):Novo Nordisk, research grant to my institution:Past (completed) ; Other (please indicate in the box next to the company name):Bayer, research grant to my institution:Past (completed) ; Other (please indicate in the box next to the company name):AstraZeneca, research grant to my institution:Past (completed) | Viktor Oskarsson: DO NOT have relevant financial relationships | Ellen Ostenfeld: DO NOT have relevant financial relationships | Anders Persson: No Answer | Adrian Pistea: DO NOT have relevant financial relationships | Annika Rosengren: DO NOT have relevant financial relationships | Jonas Spaak: DO have relevant financial relationships ; Speaker:Novo Nordisk:Past (completed) ; Research Funding (PI or named investigator):Boehringer Ingelheim:Active (exists now) ; Ownership Interest:Beat vascular health:Active (exists now) ; Advisor:Neko health:Active (exists now) ; Speaker:Boheringer Ingelheim:Active (exists now) ; Speaker:Astra Zeneca:Past (completed) ; Speaker:Bayer:Past (completed) | Johan Sundstrom: No Answer | Stefan Soderberg: DO have relevant financial relationships ; Speaker:J&J:Active (exists now) ; Advisor:J&J and MSD:Active (exists now) | Erik Thunstrom: No Answer | Elias Björnson: DO have relevant financial relationships ; Consultant:Arrowhead Pharmaceuticals:Past (completed) ; Advisor:Novartis:Active (exists now) | Carl Ostgren: No Answer | Lars Lind: No Answer | Tomas Jernberg: DO have relevant financial relationships ; Research Funding (PI or named investigator):MSD:Active (exists now) ; Individual Stocks/Stock Options:LevaHealth AB:Active (exists now) | Martin Adiels: No Answer | Jonas Andersson: DO NOT have relevant financial relationships | Therese Andersson: DO NOT have relevant financial relationships | Carl-Johan Carlhall: No Answer | Kerstin Cederlund: No Answer | David Erlinge: No Answer
Meeting Info:

Scientific Sessions 2025

2025

New Orleans, Louisiana

Session Info:

Pan Vascular Interventions: Anatomy and Interventions Across Various Vascular Beds

Sunday, 11/09/2025 , 11:50AM - 01:05PM

Featured Science

More abstracts on this topic:
A Systematic Review and Network Meta-Analysis of Metastatic Castrate-Resistant Prostate Cancer Therapy Cardiotoxicity Given Metastatic Hormone-Sensitive Prostate Cancer Treatment History

Aziz Moez, Swaby Justin, Deng Brett, Hartshorne Taylor, Desai Shubh, Zhang Allan, Xiao Daniel, Sanchez Darren, Imber Jared, Song Jeffrey, Rivas Alexis, Molony Donald, Guhan Maya, Ranganath Shreyas, Jacob Jerril, Ziaolhagh Ali, Ali Abdelrahman, Yusuf Syed, Canfield Steven, Iliescu Cezar, Monlezun Dominique, Higgason Noel, Brunckhorst Oliver, Roland Jerry, Owen Christopher, Iacobucci Alexander Samuel, Galan Jacob

Angio-IMR - A Novel Angiography-Derived Index of Microcirculatory Resistance for Assessment of Coronary Microvascular Dysfunction

O'brien Joseph, Ford Tom, Wong Dennis, Zhang Jun Michael, Yong Andy, Easey Kelly, Redwood Eleanor, Rehan Rajan, Ravindran Jayant, Brown Adam, Chew Derek

More abstracts from these authors:
EVOLocumab Very Early after Myocardial Infarction (EVOLVE-MI): A Pragmatic Randomized Multicenter International Trial - Design and Baseline Characteristics

Bonaca Marc, Wang Huei, Wu You, Cyrille Marcoli, Cannon Christopher, Hess Connie, Tavares Caio, James Stefan, Oldgren Jonas, Bhatt Deepak, Abbott Jinnette, Mehran Roxana, Berwanger Otavio

Distinct Lipodomic Signatures Identify Imaging-Defined Vulnerable Coronary Plaques in Patients with Myocardial Infarction

Sharma Tania, Wiseth Rune, Larsen Alf Inge, Koul Sasha, Rylance Rebecca, Mintz Gary, Ali Ziad, James Stefan, Stone Gregg, Erlinge David, Maehara Akiko, Maeng Michael, Kjøller-hansen Lars, Engstrøm Thomas, Ben-yehuda Ori, Matsumura Mitsuaki, Frobert Ole, Persson Jonas

You have to be authorized to contact abstract author. Please, Login
Not Available