Logo

American Heart Association

  67
  0


Final ID: MP556

Wearable-Derived Physical Activity Profiles and Incident Type 2 Diabetes

Abstract Body (Do not enter title and authors here): Objective: Wearable devices that capture physical activity (PA) data offer valuable insights into the relationship between daily activity patterns and Type 2 Diabetes Mellitus (T2DM). However, the strength of these associations within larger, diverse populations remains unclear. This study examines associations between PA metrics and T2DM risk in a diverse cohort.
Methods: We analyzed time-varying PA data from the All of Us Research Program (N=11,596), leveraging commercial Fitbit devices linked with electronic health records. We excluded patients with baseline T2DM. We explored the association between PA measures, namely number of daily steps, average daily sedentary time, average daily activity (lightly active: 1.5-3 metabolic equivalent tasks (MET) for >10 mins, fairly active: 3-6 METs, very active: >6 METs). Variables were modelled with Cox proportional hazard models with restricted cubic splines.
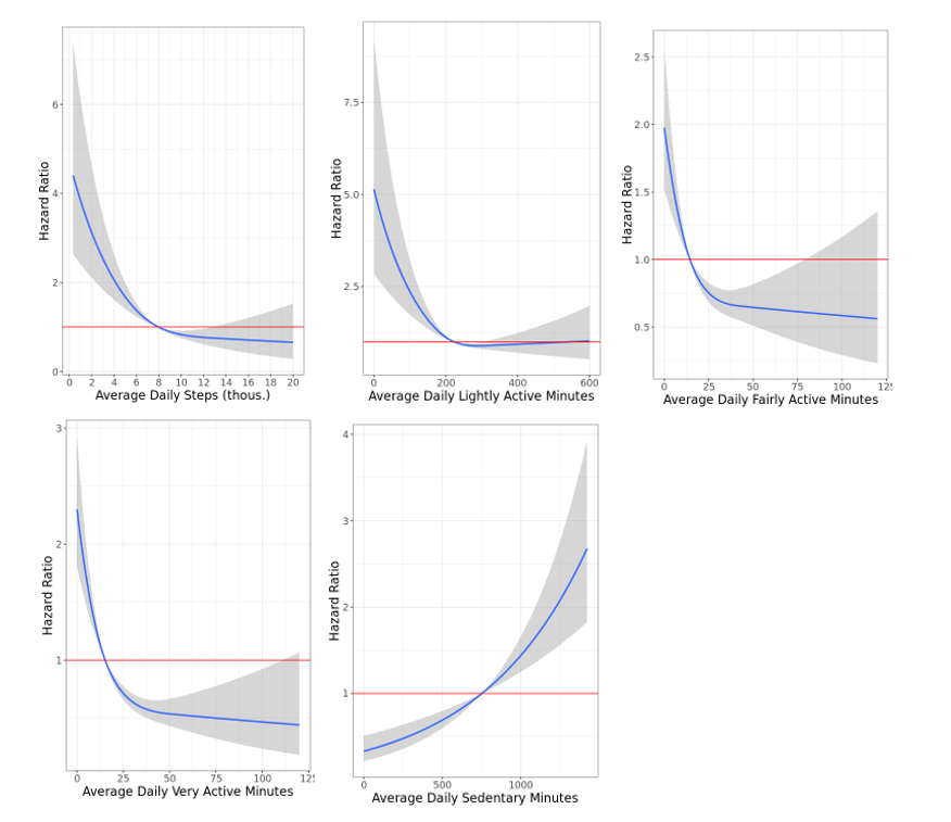
Results: Over a median follow up of 3.6 years, 2.7% developed T2DM. Across all physical activity and sedentary behavior metrics, we observed clear non-linear relationships with incident T2DM, highlighting dose-dependent and threshold effects. For daily step count, there was a steep reduction in hazard up to approximately 8,000–10,000 steps, after which the curve plateaued, indicating diminishing returns with higher step volumes. A similar non-linear inverse pattern was seen for fairly active, lightly active, and very active minutes. In each case, the greatest risk reduction occurred within the initial increases from near-zero activity to moderate levels—around 20–30 minutes per day—after which benefits tapered or stabilized. Conversely, sedentary time exhibited a strong positive non-linear association with risk. Below 600 minutes/day (10 hours), increases in sedentary time were only modestly associated with elevated hazard, but above this threshold, risk escalated rapidly (figure).
Conclusions: Our findings demonstrate robust non-linear associations between physical activity, sedentary behavior, and health risk, emphasizing that the greatest benefits are achieved by moving individuals from low to moderate activity levels and by reducing excessive sedentary time. These patterns highlight the importance of targeting minimal activity thresholds and limiting prolonged inactivity to effectively lower adverse health outcomes.
Keywords
Physical activity, Type 2 Diabetes, Fitbit, longitudinal cohort, sedentary behavior, All of Us
  • Siddharth, Aditya  ( Houston Methodist Hospital , Houston , Texas , United States )
  • Nasir, Khurram  ( Houston Methodist Hospital , Houston , Texas , United States )
  • Al-kindi, Sadeer  ( Houston Methodist Hospital , Houston , Texas , United States )
  • Author Disclosures:
    Aditya Siddharth: DO NOT have relevant financial relationships | Khurram Nasir: No Answer | Sadeer Al-Kindi: No Answer
Meeting Info:

Scientific Sessions 2025

2025

New Orleans, Louisiana

Session Info:

Exercise Training, Cardiac Rehabilitation, and Physical Activity: Let's Be Active!

Saturday, 11/08/2025 , 03:15PM - 04:30PM

Moderated Digital Poster Session

More abstracts on this topic:
84 Immune checkpoint profiling in major aortic diseases leads to identification of potential roles of CD155-CD206 pathway in suppressing inflammation and immune responses

Shao Ying, Saaoud Fatma, Xu Keman, Lu Yifan, Jiang Xiaohua, Wang Hong, Yang Xiaofeng

Global Statistics of Hypertensive Heart Disease and its Trend from 1990-2021: A Benchmarking Global Analysis from the Global Burden of Disease Study 2021

Rangani Ashutosh, Raj Rohan, Patel Khushbu, Desai Hardik, Lakkimsetti Mohit, Saravanabavanandan Ragavendar, Sonani Shivani, Dhillon Nimrat, Syed Saif, Yadav Ratan Pal, Shandilya Ashwinikumar, Amin Vishrant, Patel Juhi

More abstracts from these authors:
Cumulative LDL-C Exposure and Presence of CAC at Midlife: A Combined Predictor of Long-Term Cardiovascular Risk

Jindal Sanmit, Shahid Izza, Siddharth Aditya, Gullapelli Rakesh, Javed Zulqarnain, Al Rifai Mahmoud, Al-kindi Sadeer, Nasir Khurram

SALAM: Study of Arab-American Longitudinal Assessment of Morbidity
Cardiometabolic Burden Across Age and Sex in a U.S. Health System

Ardakani Jad, Siddharth Aditya, Bose Budhaditya, Nicolas Juan, Nasir Khurram, Al-kindi Sadeer

You have to be authorized to contact abstract author. Please, Login
Not Available