Logo

American Heart Association

  53
  0


Final ID: MP2290

Association of Lipoprotein(a) and Interleukin-6 with Cardiovascular Risk: the Multi-Ethnic Study of Atherosclerosis and UK Biobank

Abstract Body (Do not enter title and authors here): Background
Elevated lipoprotein(a) [Lp(a)] is associated with atherosclerotic cardiovascular disease (ASCVD) risk, and vascular inflammation is one mechanism through which Lp(a) causes ASCVD. Biomarkers associated with inflammation and cardiovascular disease, such as interleukin-6 (IL-6), may help risk stratify individuals with elevated Lp(a).

Research Questions
We aimed to evaluate whether the association between Lp(a) and ASCVD risk is modified by IL-6.

Methods
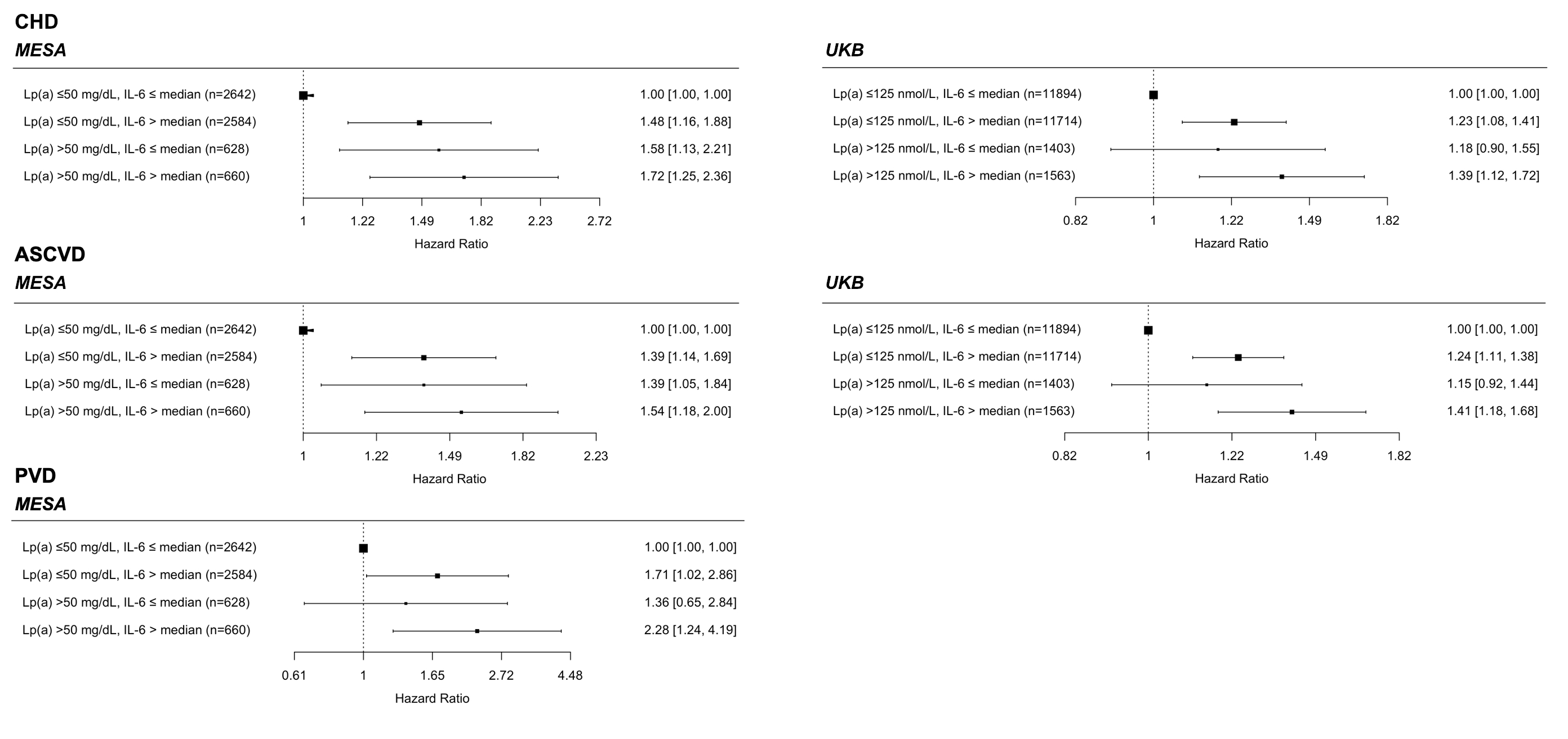
Data from participants in the Multi-Ethnic Study of Atherosclerosis (MESA, n=6,514) and the UK Biobank (UKB, n=26,574) was used for this analysis. The associations between Lp(a) and IL-6 with coronary heart disease (CHD, defined as myocardial infarction or resuscitated cardiac arrest), ASCVD (CHD and ischemic stroke) and peripheral vascular disease (PVD) were evaluated separately and with mutual adjustment in Cox proportional hazards models adjusted for traditional cardiovascular risk factors and high-sensitivity c-reactive protein (hsCRP). Hazard ratios (HR) were presented per SD. Participants were also grouped by Lp(a) level (≤ or >50 mg/dL or 125 nmol/L) and IL-6 level (≤ or >median) in similar models.

Results
Participants with higher IL-6 levels were more likely to have higher body mass index, systolic blood pressure, triglycerides and hsCRP with lower high-density lipoprotein-cholesterol. Lp(a) (HR 1.13, 95% CI 1.04-1.23 in MESA; HR 1.11, 95% CI 1.09-1.13 in UKB) and IL-6 (HR 1.22, 95% CI 1.10-1.35 in MESA; HR 1.19, 95% CI 1.15-1.24 in UKB) were both independently associated with CHD events when evaluated separately. When evaluated together, no significant change was noted, and interaction testing was not significant. Similar results were seen for ASCVD and PVD. When participants were categorized by both Lp(a) and IL-6 levels, the strongest association for each outcome was noted when both levels were high (for CHD: HR 1.72, 95% CI 1.25-2.36 in MESA; HR 1.39, 95% CI 1.12-1.72 in UKB, Figure).

Conclusions
In two independent primary prevention cohorts, Lp(a) and IL-6 are independent predictors of ASCVD risk, and their combination identifies individuals at highest risk
  • Bhatia, Harpreet  ( University of California San Diego , San Diego , California , United States )
  • Mcparland, James  ( Wake Forest Univ School of Medicine , Winston Salem , North Carolina , United States )
  • Rikhi, Rishi  ( Wake Forest Univ School of Medicine , Winston Salem , North Carolina , United States )
  • Tsai, Michael  ( UNIVERSITY MINNESOTA , Minneapolis , Minnesota , United States )
  • Szklo, Moyses  ( JOHNS HOPKINS UNIV , Baltimore , Maryland , United States )
  • Tsimikas, Sotirios  ( UNIV CALIFORNIA SAN DIEGO , La Jolla , California , United States )
  • Yeang, Calvin  ( University of California San Diego , San Diego , California , United States )
  • Shapiro, Michael  ( Wake Forest Univ School of Medicine , Winston Salem , North Carolina , United States )
  • Author Disclosures:
    Harpreet Bhatia: DO have relevant financial relationships ; Consultant:Kaneka:Active (exists now) ; Advisor:Abbott:Past (completed) ; Advisor:NewAmsterdam:Past (completed) ; Advisor:Arrowhead:Past (completed) ; Researcher:Novartis:Past (completed) ; Consultant:Novartis:Past (completed) | James McParland: No Answer | Rishi Rikhi: No Answer | Michael Tsai: No Answer | Moyses Szklo: No Answer | Sotirios Tsimikas: DO have relevant financial relationships ; Royalties/Patent Beneficiary:UCSd:Active (exists now) ; Employee:Ionis:Active (exists now) ; Consultant:Novartis:Active (exists now) ; Ownership Interest:Oxitope:Active (exists now) ; Ownership Interest:Kleanthi:Active (exists now) | Calvin Yeang: No Answer | Michael Shapiro: DO have relevant financial relationships ; Consultant:Ionis:Past (completed) ; Consultant:Arrowhead:Past (completed) ; Consultant:Regeneron:Past (completed) ; Researcher:New Amsterdam:Active (exists now) ; Researcher:Merck:Active (exists now) ; Researcher:Novartis:Active (exists now) ; Researcher:Esperion:Active (exists now) ; Researcher:Cleerly:Active (exists now) ; Researcher:Amgen:Active (exists now) ; Consultant:Novo Nordisk:Active (exists now) ; Consultant:Tourmaline:Active (exists now) ; Consultant:Merck:Active (exists now) ; Consultant:New Amsterdam:Past (completed) ; Consultant:Novartis:Active (exists now)
Meeting Info:

Scientific Sessions 2025

2025

New Orleans, Louisiana

Session Info:

Charting the Future: Cardiovascular Disease Risk Prediction

Monday, 11/10/2025 , 10:45AM - 12:00PM

Moderated Digital Poster Session

More abstracts on this topic:
A human cardiomyocyte model of CD36 haploinsufficiency uncovers fatty acid oxidation deficits driving dilated cardiomyopathy

Al Sayed Zeina, Klattenhoff Carla, Aragam Krishna, Ellinor Patrick, Willcox Jon, Zheng Alice, Koledova Vera, Srivastava Salil, Yin Xiaofei, Chaffin Mark, Rigaud Vagner, Kovacs-bogdan Erika

Age-Related Differences in Aortic Valve Calcium Progression and the Risk for Aortic Stenosis: Multi-Ethnic Study of Atherosclerosis

Marrero Natalie, Thanassoulis George, Rotter Jerome, Blaha Michael, Whelton Seamus, Jha Kunal, Grant Jelani, Razavi Alexander, Budoff Matthew, Shah Sanjiv, Blumenthal Roger, Post Wendy, Shaw Leslee

More abstracts from these authors:
Oxidized Phospholipids and Calcific Aortic Valvular Disease

Bhatia Harpreet, Post Wendy, Tsai Michael, Criqui Michael, Shapiro Michael, Budoff Matthew, Defilippis Andrew, Thanassoulis George, Tsimikas Sotirios, Dweck Marc, Craig Neil, Capoulade Romain, Pibarot Philippe, Trainor Patrick, Whelton Seamus, Rikhi Rishi, Lidani Karita

Traditional Risk Factors, Cardiovascular Health, and Elevated Lipoprotein(a): The Multi-Ethnic Study of Atherosclerosis

Razavi Alexander, Reyes Mikaila, Wilkins John, Szklo Moyses, Tsai Michael, Whelton Seamus, Sperling Laurence, Tsimikas Sotirios, Bhatia Harpreet

You have to be authorized to contact abstract author. Please, Login
Not Available