Logo

American Heart Association

  80
  0


Final ID: MP1552

The Effect of the COVID-19 Public Health Emergency on Cardiovascular Care and Cardiac Rehabilitation Access and Use

Abstract Body (Do not enter title and authors here): Background: The COVID-19 Public Health Emergency (PHE) disrupted access to cardiac procedures and cardiac rehabilitation (CR) nationwide. Less is known about the long-term impacts of the PHE on CVD care and CR access and enrollment.
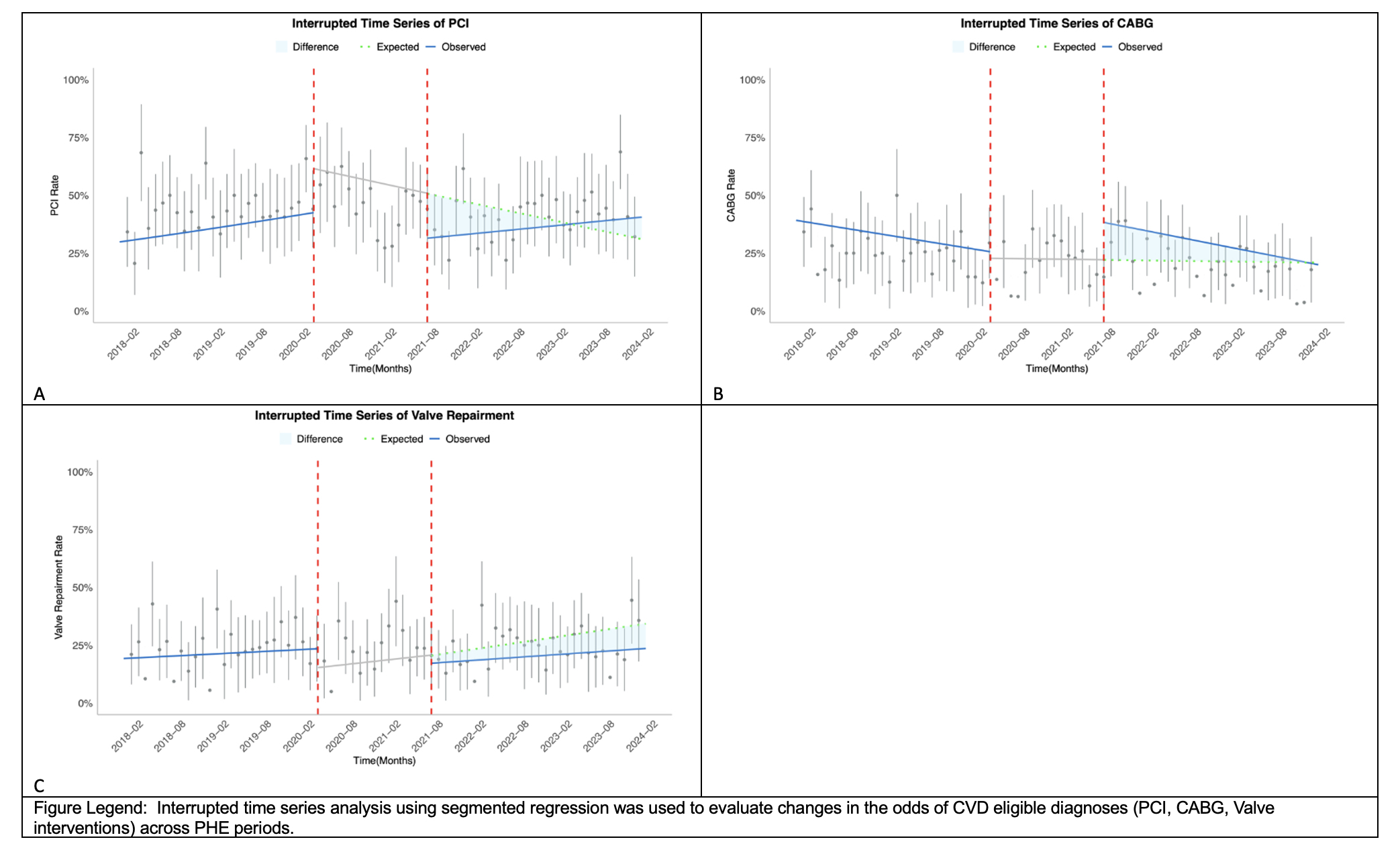
Methods: We used data from a tertiary health system to identify adult patients eligible for CR based on discharge codes for percutaneous coronary intervention (PCI), coronary artery bypass graft surgery (CABG), and valve interventions from January 2018 to December 2023. CR referrals were obtained from electronic orders; CR enrollment was ascertained from billing codes. We analyzed the temporal patterns of cardiac procedures and CR referral and enrollment across three periods: pre-PHE (January 2018-March 2020), during-PHE (March 2020-July 2021), and post-PHE (July 2021-December 2023) using interrupted time series analysis.
Results: There were 2,391 patients eligible for CR, of which 67.2% were referred and 20.5% were enrolled. The mean age was 69.8 (SD 13.1) years, 36.9% women, and 24.2% Black. For PCI, there was an increasing trend pre-PHE (trend 0.02, 95% CI 0.01,0.04) followed by a decline during the PHE with a significantly drop at the end of the PHE (level change: -0.75, 95% CI -1.37 to -0.12) and then a non-significant increasing trend post-PHE. There were non-significant declines in CABG before and after the PHE, while valve interventions were stable. For CR, monthly referral rates were stable at approximately 70% during the pre-PHE period (trend: 0.01, 95% CI -0.01 to 0.03). During the PHE, the referral rate was generally stable and then declined to the lowest point at the end of PHE (level change: -1.42, 95% CI -2.12 to -0.72) (Fig1D). Post-PHE, the referral rates recovered to pre-PHE levels with a significant positive trend (0.06, 95% CI 0.01 to 0.12). Enrollment rates remained stable at approximately 20% pre-PHE and declined to 15% during the PHE. The enrollment rate increased at the end of PHE (level change: 1.07, 95% CI 0.25 to 1.89), followed by a non-significant decreasing trend post-PHE trend (-0.03, 95% CI -0.09 to 0.03) to lower than pre-PHE levels.
Conclusions: There was an increasing trend in PCI use pre-PHE that leveled off during the PHE but has continued to increase post-PHE to pre-PHE levels. In contrast there were non-significant declining trends in CABG while valve interventions remained stable. CR referral has exceeded pre-PHE levels, yet CR enrollment rates have stagnated post-PHE.
  • Zou, Siyu  ( Johns Hopkins University , Boston , Massachusetts , United States )
  • Matsushita, Kunihiro  ( Johns Hopkins Bloomberg School of Public Health , Baltimore , Maryland , United States )
  • Tolefree, Tionna  ( Johns Hopkins University , Baltimore , Maryland , United States )
  • Stewart, Kerry  ( Johns Hopkins University , Owings Mills , Maryland , United States )
  • Bush, Alexandra  ( Johns Hopkins Bayview MedicalCenter , Baltimore , Maryland , United States )
  • Mathews, Lena  ( Johns Hopkins , Baltimore , Maryland , United States )
  • Author Disclosures:
    Siyu Zou: DO NOT have relevant financial relationships | Kunihiro Matsushita: No Answer | Tionna Tolefree: No Answer | Kerry Stewart: DO NOT have relevant financial relationships | Alexandra Bush: No Answer | Lena Mathews: DO NOT have relevant financial relationships
Meeting Info:

Scientific Sessions 2025

2025

New Orleans, Louisiana

Session Info:

Crisis, Complexity, and the Cardiovascular Continuum: Risk, Response, and Real-World Trends

Sunday, 11/09/2025 , 11:50AM - 01:05PM

Moderated Digital Poster Session

More abstracts on this topic:
Barriers and Recommendations to Improve Engagement in Workplace Health Programs for Low-Wage Hospital Workers

Rowley Christina, Hernandez Mozo Eduardo, Jimenez Rebeca, Cruz Anali, Fortmann Adelaide, Lerner Debra, Adler David, Thorndike Anne, Mccurley Jessica

Adult congenital heart disease (ACHD) as career? Examining encouraging and discouraging factors around the globe in the Global ACHD Survey.

Bravo-jaimes Katia, Elizari Maria Amalia, Valdez Ramos Miriam, Cupido Blanche, Zentner Dominica, Almasri Murad, Phillips Sabrina, Mcleod Christopher, Burchill Luke, Bullock-palmer Renee, Windram Jonathan, Srour Mhd Osama, Jenkins Petra, Luna-lopez Raquel, Tutarel Oktay, Kandavello Geetha, Guerrero Carlos, García Cruz Edgar, Ackerman Judith

More abstracts from these authors:
Effects of Dietary Patterns and Sodium Intake on Blood Pressure Variability: Results from the DASH and DASH-Sodium Trials

Zou Siyu, Gao Sunan, Juraschek Stephen, Miller Edgar, Matsushita Kunihiro, Appel Lawrence

Barriers and Facilitators to Outpatient Cardiac Rehabilitation Attendance Among Patients with Low Socioeconomic Status: A Qualitative Study

Mathews Lena, Okonkwo Miriam Chiamaka, Tolefree Tionna, Stewart Kerry, Benz Scott Lisa, Cooper Lisa, Ndumele Chiadi, Matsushita Kunihiro, Riekert Kristin

You have to be authorized to contact abstract author. Please, Login
Not Available