Logo

American Heart Association

  20
  0


Final ID: MP944

Role of Cellular Communication Network Protein Family in Pulmonary Arterial Hypertension

Abstract Body (Do not enter title and authors here): Background: The Cellular Communication Network (CCN) protein family has been implicated in various lung diseases and in states of pulmonary vascular remodeling. CCN2 has been shown to be involved in right ventricle maladaptation in pulmonary arterial hypertension (PAH) in a large-scale observational study. No other studies have evaluated all CCN proteins for relevance in PAH.
Research Question: This study assessed all CCN family protein levels in adults with PAH compared to controls and investigated associations of protein levels with markers of clinical severity, hemodynamics and outcomes in PAH.
Methods: Serum levels of CCN1, CCN2, CCN3 and CCN6 were measured in a pilot study (N= 36) and then followed up in a separate, larger validation cohort (N=225) in patients with WHO Group 1 PAH. Pilot samples were obtained from a Johns Hopkins institutional biorepository and the validation cohort samples were obtained from NHLBI PAH Biobank (PAHB). Control samples were from healthy adults (N=40). Statistical analyses compared CCN levels in PAH and controls, and evaluated associations of CCN levels with hemodynamic measurements, six-minute walk distance (6-MWD), and other PAH biomarker levels. Analysis of composite outcome (death or lung transplant) was conducted using Cox proportional hazard model. For the pilot cohort, a p-value of <0.15 was used to denote a significant signal in variables warranting follow up. A p-value of <0.05 was used to denote significance in the validation cohort.
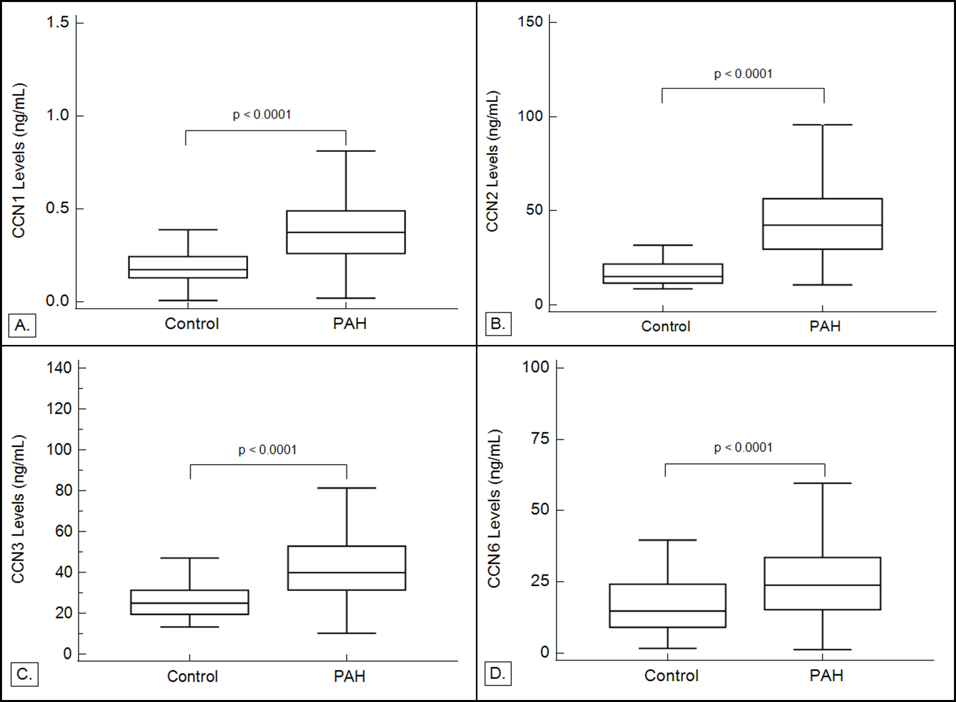
Results: In both cohorts, levels of all four CCN proteins were significantly different than controls (Figure 1). In the pilot cohort, CCN1 and CCN2 levels were associated with worse NYHA FC, while only CCN1 was inversely associated with 6MWD. CCN1 and CCN6 levels were associated with worse composite outcome and NT-proBNP levels, and CCN6 levels were associated with lower cardiac output, and higher pulmonary vascular resistance. In the validation cohort, CCN1 and CCN3 levels correlated with a worse 6MWD. CCN3 was also associated with worse NYHA FC (p=0.02, Figure 2), worse composite outcome (p=0.03), higher NT-proBNP, and ST2 levels.
Conclusions: Within the CCN protein family, CCN1 and CCN3 show the most potential in the role of prognostication and association with clinical severity by NYHA FC and 6MWD in PAH. Further research should investigate the pathobiological cellular mechanisms of the CCN protein family in PAH development.
  • Byrd, Carly  ( Johns Hopkins University , Baltimore , Maryland , United States )
  • Austin, Eric  ( VANDERBILT UNIVERSITY MEDICAL CTR , Nashville , Tennessee , United States )
  • Hassoun, Paul  ( Johns Hopkins University , Baltimore , Maryland , United States )
  • Everett, Allen  ( Johns Hopkins University , Baltimore , Maryland , United States )
  • Schramm, Jennifer  ( Johns Hopkins University , Baltimore , Maryland , United States )
  • Yang, Jun  ( JOHNS HOPKINS HOSPITAL , Baltimore , Maryland , United States )
  • Griffiths, Megan  ( University of Texas Southwestern , Dallas , Texas , United States )
  • Damico, Rachel  ( University of Miami , Miami , Florida , United States )
  • Simpson, Catherine  ( Johns Hopkins University , Baltimore , Maryland , United States )
  • Kolb, Todd  ( JOHNS HOPKINS UNIVERSITY , Baltimore , Maryland , United States )
  • Nichols, Bill  ( University of Cincinnati Children's Center , Cincinnati , Ohio , United States )
  • Ivy, Dunbar  ( UNIVERSITY OF COLORADO , Aurora , Colorado , United States )
  • Author Disclosures:
    Carly Byrd: DO NOT have relevant financial relationships | Eric Austin: DO have relevant financial relationships ; Advisor:Merck, Inc:Past (completed) | Paul Hassoun: No Answer | Allen Everett: DO NOT have relevant financial relationships | Jennifer Schramm: DO NOT have relevant financial relationships | Jun Yang: DO NOT have relevant financial relationships | Megan Griffiths: DO NOT have relevant financial relationships | Rachel Damico: No Answer | Catherine Simpson: DO NOT have relevant financial relationships | Todd Kolb: No Answer | Bill Nichols: No Answer | Dunbar Ivy: DO have relevant financial relationships ; Consultant:Merck:Active (exists now) ; Research Funding (PI or named investigator):Actelion:Active (exists now) ; Research Funding (PI or named investigator):Merck:Active (exists now) ; Consultant:Actelion:Active (exists now)
Meeting Info:

Scientific Sessions 2025

2025

New Orleans, Louisiana

Session Info:

Decoding the Molecular Basis of Disease: Using OMICS to Understand Pulmonary Vascular Disease

Saturday, 11/08/2025 , 10:45AM - 12:00PM

Moderated Digital Poster Session

More abstracts on this topic:
ADC-based Infarct Density – Validating a Novel Imaging Biomarker of Functional Outcome after Endovascular Thrombectomy

Favilla Christopher, Bonkhoff Anna, Rost Natalia, Messe Steven, Regenhardt Robert, Denny Braden, Simonsen Claus, Shakibajahromi Banafsheh, Patel Aman, Leslie-mazwi Thabele, Dmytriw Adam, Schirmer Markus

A refined definition for low-risk pulmonary arterial hypertension patients including mortality and morbidity

Fauvel Charles, Liu Yongqi, Correa-jaque Priscilla, Everett Allen, Kanwar Manreet, Vanderpool Rebecca, Sahay Sandeep, Lin Shili, Benza Raymond

More abstracts from these authors:
Proteomics analysis identifies sub-phenotypes amongst clinically similar patients with Idiopathic Pulmonary Arterial Hypertension

Ruan Peifeng, Manlhiot Cedric, Austin Eric, Nichols Bill, Everett Allen, Griffiths Megan

eQTL Analysis of the PAH Biomarker CCN2 Identifies a Novel SNP that Associates with Survival

Byrd Carly, Simpson Catherine, Kolb Todd, Pauciulo Michael, Nichols William, Ivy Dunbar, Hassoun Paul, Everett Allen, Austin Eric, Martin Lisa, Benza Raymond, Webb Amy, Schramm Jennifer, Yang Jun, Griffiths Megan, Brandal Stephanie, Damico Rachel, Vaidya Dhananjay

You have to be authorized to contact abstract author. Please, Login
Not Available