Logo

American Heart Association

  33
  0


Final ID: MP979

Transthoracic Echocardiographic and AI-ECG Predictors of Atrial Arrhythmia Recurrence After Surgical Ablation

Abstract Body (Do not enter title and authors here): Background
Atrial arrhythmia recurrence after surgical ablation remains challenging to predict and integrating novel biomarkers may improve risk stratification.

Objective:
To evaluate whether combining preoperative transthoracic echocardiography (TTE) with artificial intelligence-enabled ECG (AI-ECG) scores enhances prediction of atrial fibrillation/flutter (AF/AFl) recurrence post surgical ablation.

Methods:
We retrospectively analyzed 1,696 patients undergoing Surgical AF/AFl Ablation between 2006 and 2025 with preoperative TTE and post-blanking ECGs. Clinical variables, TTE indices, and AI-ECG scores (AF probability, ECG-estimated age, HFpEF, LV dysfunction, and aortic stenosis scores) were assessed. The primary outcome was time to AF/AFl recurrence. Univariate/multivariable Cox models and a Random Survival Forest (RSF) model (80:20, training: testing) were developed to identify predictors.

Results:
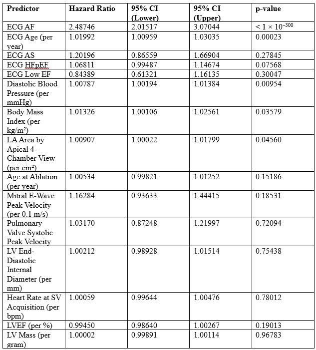
Of 1,696 patients (mean age 67.3±10.2 years; 61.7% male) undergoing surgical AF/AFl ablation, 949 (56%) experienced AF/AFl recurrence during a median follow-up of 3.14 years. Patients with recurrence had larger left atria (mean LA area 30.4 vs 24.5 cm2, p < 0.001), more diastolic dysfunction (mitral inflow E-wave velocity 1.015 m/s vs 0.896 m/s , p < 0.001), and adverse AI-ECG biomarkers. In multivariable analysis, independent predictors of recurrence included a higher ECG-AF score (p < 1 x 10-300), an older AI-ECG age (p = 0.0002), LA area (p = 0.046), body mass index (p = 0.036), and elevated diastolic blood pressure (HR 1.008 per mmHg, 95% CI 1.002 – 1.014; p = 0.010). The final Cox model achieved a C-index of ~0.67 and stratified patients into risk quartiles with 3-year freedom-from-arrhythmia rates of ~85% (lowest-risk) vs ~43% (highest-risk). An RSF model yielded a slightly higher test C-index (≈0.69), suggesting modest improvement with non-linear modeling.

Conclusions:
Preoperative AI-ECG biomarkers (AF probability, age discordance) and TTE markers of atrial remodeling independently predicted AF/AFl recurrence after surgical AF/AFl ablation and integration of these metrics improved risk stratification.
  • Goings, Dylan  ( Mayo Clinic , Rochester , Minnesota , United States )
  • Haq, Ikram  ( Mayo Clinic , Rochester , Minnesota , United States )
  • Attia, Zachi  ( Mayo Clinic , Rochester , Minnesota , United States )
  • Brandt, Michael  ( Mayo Clinic , Rochester , Minnesota , United States )
  • Friedman, Paul  ( Mayo Clinic , Rochester , Minnesota , United States )
  • Noseworthy, Peter  ( Mayo Clinic , Rochester , Minnesota , United States )
  • Killu, Ammar  ( Mayo Clinic , Rochester , Minnesota , United States )
  • Author Disclosures:
    Dylan Goings: DO NOT have relevant financial relationships | Ikram Haq: No Answer | Zachi Attia: No Answer | Michael Brandt: DO NOT have relevant financial relationships | Paul Friedman: DO have relevant financial relationships ; Other (please indicate in the box next to the company name):Anumana:Active (exists now) ; Other (please indicate in the box next to the company name):Eko Health:Active (exists now) ; Other (please indicate in the box next to the company name):AliveCor:Active (exists now) | Peter Noseworthy: DO have relevant financial relationships ; Royalties/Patent Beneficiary:Anumana:Active (exists now) | Ammar Killu: DO NOT have relevant financial relationships
Meeting Info:

Scientific Sessions 2025

2025

New Orleans, Louisiana

Session Info:

Harnessing AI: Innovations in Arrhythmia Detection and Management

Saturday, 11/08/2025 , 09:15AM - 10:30AM

Moderated Digital Poster Session

More abstracts on this topic:
A novel risk score predicts the prevalence of left atrial low-voltage areas and rhythm outcome in patients undergoing long-standing persistent atrial fibrillation ablation

Ooka Hirotaka, Nakao Sho, Kusuda Masaya, Ariyasu Wataru, Kudo Satoshi, Fujii Subaru, Mano Toshiaki, Matsuda Yasuhiro, Masuda Masaharu, Okamoto Shin, Ishihara Takayuki, Nanto Kiyonori, Tsujimura Takuya, Hata Yosuke, Uematsu Hiroyuki

A novel risk score predicts the prevalence of left atrial low-voltage areas and rhythm outcome in patients undergoing long-standing persistent atrial fibrillation ablation

Ooka Hirotaka, Nakao Sho, Kusuda Masaya, Ariyasu Wataru, Kudo Satoshi, Fujii Subaru, Mano Toshiaki, Matsuda Yasuhiro, Masuda Masaharu, Okamoto Shin, Ishihara Takayuki, Nanto Kiyonori, Tsujimura Takuya, Hata Yosuke, Uematsu Hiroyuki

More abstracts from these authors:
Artificial Intelligence Assessment of Diastolic Dysfunction by Electrocardiogram: Outcomes in Cardiac Intensive Care Unit Patients

Hillerson Dustin, Jentzer Jacob, Lee Eunjung, Attia Zachi, Kane Garvan, Lopez-jimenez Francisco, Noseworthy Peter, Friedman Paul, Oh Jae

Higher Artificial Intelligence (AI)-ECG Atrial Fibrillation Prediction Model Output and Delta Age Computed from AI-ECG are Associated with Adverse Vascular Outcomes in Patients with Migraine

Chiang Chia-chun, Chao Chieh-ju, Yang Ping-hao, Lopez-jimenez Francisco, Mangold Kathryn, Attia Zachi, Friedman Paul, Noseworthy Peter, Zhang Nan

You have to be authorized to contact abstract author. Please, Login
Not Available