Logo

American Heart Association

  198
  0


Final ID: MDP1527

Artificial Intelligence Assessment of Diastolic Dysfunction by Electrocardiogram: Outcomes in Cardiac Intensive Care Unit Patients

Abstract Body (Do not enter title and authors here): Background
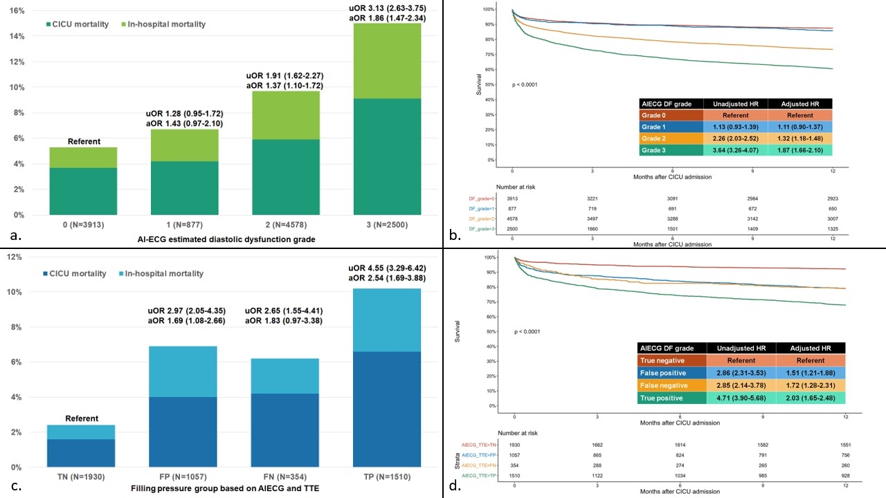
Left ventricular diastolic dysfunction (LVDD) predicts mortality in cardiac intensive care unit (CICU) patients. A novel artificial intelligence enhanced electrocardiogram (AIECG) algorithm can predict LVDD and mortality in general populations but has not been examined in the cardiac intensive care unit (CICU). We aim to assess if LVDD by AI-ECG is associated with in-hospital and one-year mortality in CICU patients.
Methods
In this retrospective cohort study, we included consecutive unique adults admitted to the Mayo Clinic CICU from 2007 to 2018 with an admission AIECG, which AI assigned LVDD grade (0 to 3). Medial mitral E/e’ ratio >15 on transthoracic echocardiogram (TTE) defined elevated filling pressures. AIECG and TTE assessment of LVDD were used to assign patients to four groups based on TTE as gold standard: true and false negative, and true and false positive. In-hospital mortality was evaluated using multivariable logistic regression. One-year survival was evaluated using Kaplan-Meier curves and multivariable Cox proportional-hazards.
Results
We included 11,868 patients (median age 69.5 years, 37.7% females); 48% had heart failure and 44% had acute coronary syndromes. AIECG LVDD grades were: grade 0 (normal), 33%; grade 1, 7%; grade 2, 39%; grade 3, 21%. In-hospital (adjusted OR) and one-year (adjusted HR) mortality increased in each higher AIECG LVDD grade (Figure A/B), before and after adjustment including TTE measurements. Patients with grade 2-3 LVDD by AIECG and medial mitral E/e’ ratio >15 by TTE (true positive) had the highest in-hospital (adjusted OR 2.5 [1.7-3.9]) and one-year (adjusted HR 1.9 [1.5-2.5]) mortality (Figure C/D), and mortality was elevated similarly in patients with either grade 2-3 LVDD by AIECG (false positive) or medial mitral E/e’ ratio >15 by TTE (false negative).
Conclusions
The AIECG LVDD grade was strongly associated with in-hospital and one-year mortality in CICU patients, even after adjusting for clinical variables and TTE measurements. Patients with concordant AIECG and TTE for elevated filling pressures (true positive) were at highest risk.
  • Hillerson, Dustin  ( Mayo Clinic , Rochester , Minnesota , United States )
  • Jentzer, Jacob  ( Mayo Clinic , Rochester , Minnesota , United States )
  • Lee, Eunjung  ( Mayo Clinic , Rochester , Minnesota , United States )
  • Attia, Zachi  ( Mayo Clinic , Rochester , Minnesota , United States )
  • Kane, Garvan  ( Mayo Clinic , Rochester , Minnesota , United States )
  • Lopez-jimenez, Francisco  ( Mayo Clinic , Rochester , Minnesota , United States )
  • Noseworthy, Peter  ( Mayo Clinic , Rochester , Minnesota , United States )
  • Friedman, Paul  ( Mayo Clinic , Rochester , Minnesota , United States )
  • Oh, Jae  ( Mayo Clinic , Rochester , Minnesota , United States )
  • Author Disclosures:
    Dustin Hillerson: DO NOT have relevant financial relationships | Jacob Jentzer: DO NOT have relevant financial relationships | Eunjung Lee: DO have relevant financial relationships ; Royalties/Patent Beneficiary:Anumana:Active (exists now) | Zachi Attia: DO have relevant financial relationships ; Consultant:Anumana:Active (exists now) ; Consultant:Eko:Active (exists now) ; Consultant:AliveCor:Active (exists now) ; Ownership Interest:XAI.health:Active (exists now) | Garvan Kane: DO NOT have relevant financial relationships | Francisco Lopez-Jimenez: DO have relevant financial relationships ; Employee:Mayo Clinic:Active (exists now) ; Advisor:Select Research:Active (exists now) ; Advisor:WizeCare:Active (exists now) ; Consultant:Kento Health:Active (exists now) ; Advisor:Novo Nordisk:Active (exists now) | Peter Noseworthy: DO NOT have relevant financial relationships | Paul Friedman: DO NOT have relevant financial relationships | Jae Oh: DO have relevant financial relationships ; Royalties/Patent Beneficiary:Anumana:Active (exists now) ; Consultant:Medtronic:Active (exists now) ; Research Funding (PI or named investigator):REDNVIA:Active (exists now)
Meeting Info:

Scientific Sessions 2024

2024

Chicago, Illinois

Session Info:

Navigating the Cardiac Landscape: A Guide to AI-Driven Diagnostics

Monday, 11/18/2024 , 09:30AM - 10:35AM

Moderated Digital Poster Session

More abstracts on this topic:
A Contemporary Machine Learning-Based Risk Stratification for Mortality and Hospitalization in Heart Failure with Preserved Ejection Fraction Using Multimodal Real-World Data

Fudim Marat, Weerts Jerremy, Patel Manesh, Balu Suresh, Hintze Bradley, Torres Francisco, Micsinai Balan Mariann, Rigolli Marzia, Kessler Paul, Touzot Maxime, Lund Lars, Van Empel Vanessa, Pradhan Aruna, Butler Javed, Zehnder Tobias, Sauty Benoit, Esposito Christian, Balazard Félix, Mayer Imke, Hallal Mohammad, Loiseau Nicolas

A Case Report of Cardiac Tamponade due to Mycoplasma Pneumoniae-induced Pericarditis - A Rare Complication of a Commonly seen Bacterial Infection

Patel Vidhi, Maharjan Reeju, Okan Tetyana, Singh Bhupinder, Colasacco Joseph

More abstracts from these authors:
Real-World Performance of the Artificial Intelligence-Enabled Electrocardiogram to Detect Increased Left Ventricular Filling Pressure to Predict Incidence of Heart Failure

Bhyravajosyula Sri Charan, Medina-inojosa Jose, Medina-inojosa Betsy, Lee Eunjung, Mangold Kathryn, Friedman Paul, Attia Zachi, Oh Jae, Lopez-jimenez Francisco

Left ventricular-arterial coupling and mortality in the cardiac intensive care unit

Padkins Mitchell, Fazzini Luca, Berg Kristoffer, Gori Mauro, Oh Jae, Kane Garvan, Hillerson Dustin, Tavazzi Guido, Jentzer Jacob

You have to be authorized to contact abstract author. Please, Login
Not Available