Logo

American Heart Association

  25
  0


Final ID: MP670

Isoproterenol-Enhanced Transesophageal Echocardiography to Differentiate Left Atrial Appendage Thrombus from Dense Spontaneous Echo Contrast: A Meta-Analysis

Abstract Body (Do not enter title and authors here): Background:
Distinguishing dense spontaneous echo contrast (SEC) from true thrombus in the left atrial appendage (LAA) remains a major diagnostic challenge in atrial fibrillation (AF), often resulting in delays in cardioversion or left atrial appendage closure (LAAC). Low-dose isoproterenol (ISP), a β-adrenergic agonist, may enhance LAA contractility and washout, facilitating SEC resolution and revealing underlying thrombus. We conducted the first meta-analysis to evaluate the diagnostic yield, physiological impact, and safety of ISP infusion during transesophageal echocardiography (TEE).
Methods:
A systematic search of PubMed, Embase, Scopus, Cochrane, and Google Scholar was conducted through April 2025 for studies evaluating ISP use during TEE in AF patients with dense SEC or sludge. Eight studies (n=174) were included. Primary outcomes were change in LAA emptying and filling velocities (cm/s), and SEC or sludge resolution. Secondary outcomes included unmasking of thrombus, changes in heart rate (HR) and systolic blood pressure (SBP), and adverse events. Subgroup analysis was performed based on SEC density. Continuous variables were pooled using random-effects models with 95% confidence intervals (CI) and heterogeneity (I2); binary outcomes were descriptively summarized.
Results:
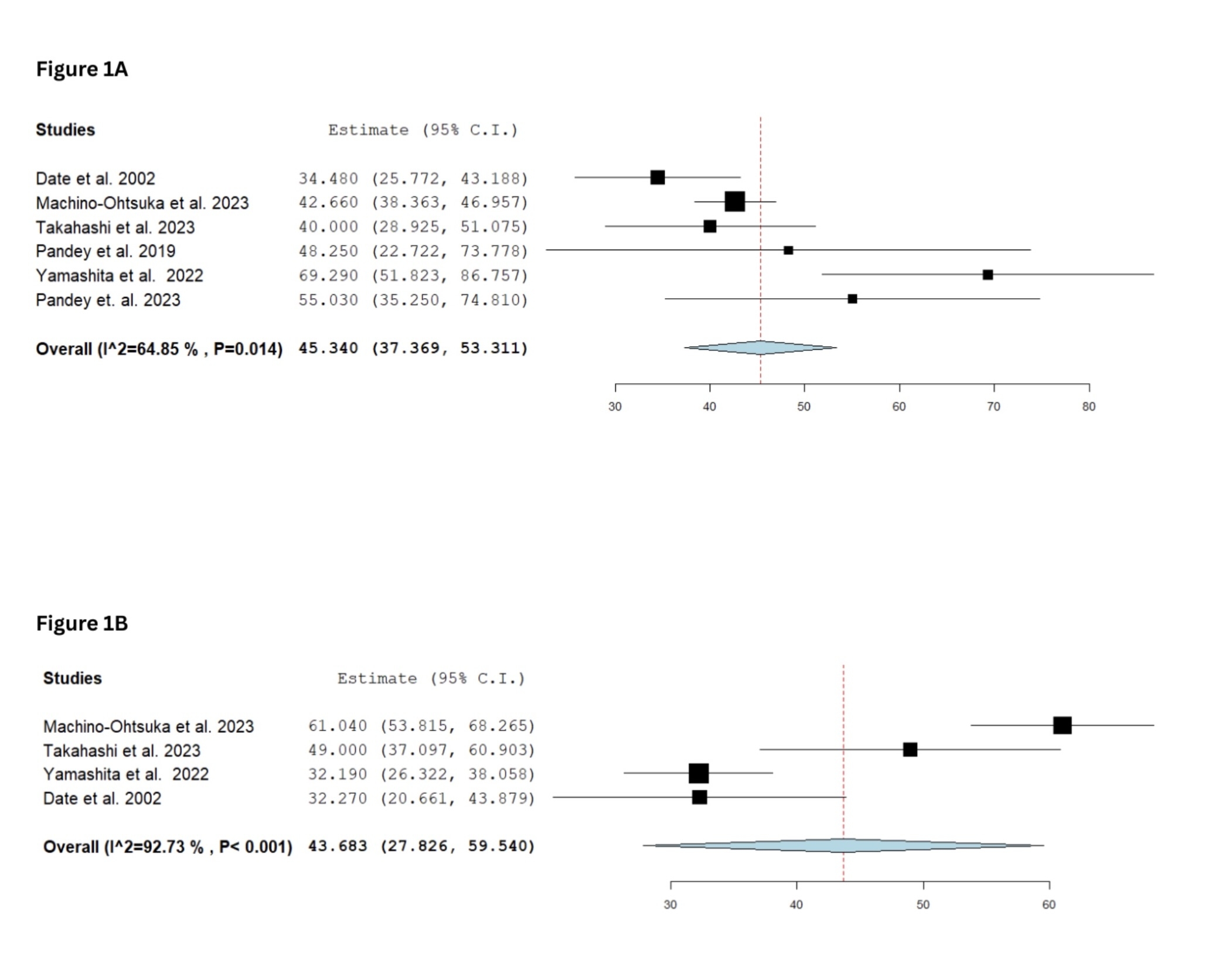
ISP increased LAA emptying velocity by +45.3 cm/s (95% CI: 37.4–53.3; I2=64.9%) and filling velocity by +43.7 cm/s (95% CI: 27.8–59.5; I2=92.7%). HR rose by +34.4 bpm (95% CI: 13.0–55.7), and SBP decreased by –8.8 mmHg (95% CI: –13.9 to –3.6). SEC or sludge resolved in 152 of 170 cases (89.4%). Among 110 patients with pre- and post-infusion SEC grading, 74 (67.3%) showed improvement. ISP unmasked thrombus in 2 patients (1 surgical confirmation), with 4 additional suspected cases. Adverse events included palpitations (27.8%) and PVCs or hypotension (4.8%), with no procedural strokes or sustained arrhythmias reported. In subgroup analysis, LAA velocity increased by +37.5 cm/s (95% CI: 30.8–44.2; I2=20.3%) in dense SEC and by +62.3 cm/s (95% CI: 48.3–76.2; I2=0%) in sludge (p < 0.01 for subgroup difference).
Conclusions:
Low-dose ISP during TEE improves LAA flow and enhances diagnostic clarity in AF patients with dense SEC. Nearly 90% of cases showed SEC resolution, and clinically relevant thrombus was identified in select cases. ISP-guided TEE may be a valuable adjunct in decision-making for rhythm control or LAAC when thrombus cannot be excluded.
  • Sabesan, Vaishnavi  ( TTUHSC El paso , El paso , Texas , United States )
  • Prabakar, Deipthan  ( TTUHSC El paso , El paso , Texas , United States )
  • Malik, Maryam Abbas  ( services institute of medical sciences , Lahore , Pakistan )
  • Sapkota, Sachin  ( TTUHSC El Paso , El Paso , Texas , United States )
  • Prakash, Vishakh  ( Texas Tech Health El Paso , El Paso , Texas , United States )
  • Awan, Abdul Rafeh  ( Nishtar Medical University , Multan , Pakistan )
  • Del Real, Azucena  ( TTUHSC El paso , El paso , Texas , United States )
  • Abolbashari, Mehran  ( Center of the Heart , El paso , Texas , United States )
  • Author Disclosures:
    Vaishnavi Sabesan: DO NOT have relevant financial relationships | Deipthan Prabakar: No Answer | Maryam Abbas Malik: No Answer | Sachin Sapkota: DO NOT have relevant financial relationships | Vishakh Prakash: DO NOT have relevant financial relationships | Abdul Rafeh Awan: DO NOT have relevant financial relationships | AZUCENA DEL REAL: DO NOT have relevant financial relationships | Mehran Abolbashari: DO NOT have relevant financial relationships
Meeting Info:

Scientific Sessions 2025

2025

New Orleans, Louisiana

Session Info:

The ECG and Beyond: The Expanding Role of Imaging in Electrophysiology

Saturday, 11/08/2025 , 12:15PM - 01:30PM

Moderated Digital Poster Session

More abstracts on this topic:
Artificial Intelligence for Predicting Primary Antegrade Wiring Success of Chronic Total Occlusion Crossing

Alexandrou Michaella, Alaswad Khaldoon, Basir Mir, Davies Rhian, Jaffer Farouc, Nicholson William, Azzalini Lorenzo, Gorgulu Sevket, Khatri Jaikirshan, Bangalore Sripal, Rangan Bavana, Rempakos Athanasios, Mastrodemos Olga, Burke M Nicholas, Sandoval Yader, Brilakis Emmanouil, Mutlu Deniz, Strepkos Dimitrios, Carvalho Pedro, Al-ogaili Ahmed, Bahbah Ali, Anastasios Milkas, Tsiafoutis Ioannis

Cardiac Magnetic Resonance Imaging Measures of Atrial Cardiomyopathy and Adverse Clinical Outcomes in the UK Biobank

Yogeswaran Vidhushei, Wiggins Kerri, Sitlani Colleen, Brody Jennifer, Bis Joshua, Floyd James

You have to be authorized to contact abstract author. Please, Login
Not Available