Logo

American Heart Association

  43
  0


Final ID: 071

Comparative Antihypertensive Effects of Emerging Cardiorenal Therapies in Chronic Kidney Disease: A Network Meta-Analysis of SGLT2 Inhibitors, MRAs, and GLP-1 Receptor Agonists

Abstract Body: Background:
Blood pressure (BP) control is essential to slowing chronic kidney disease (CKD) progression and reducing cardiovascular risk. While sodium-glucose cotransporter 2 inhibitors (SGLT2i), mineralocorticoid receptor antagonists (MRAs), and GLP-1 receptor agonists (GLP-1 RAs) provide cardiorenal benefits, their relative antihypertensive efficacy in CKD remains unclear.
Methods:
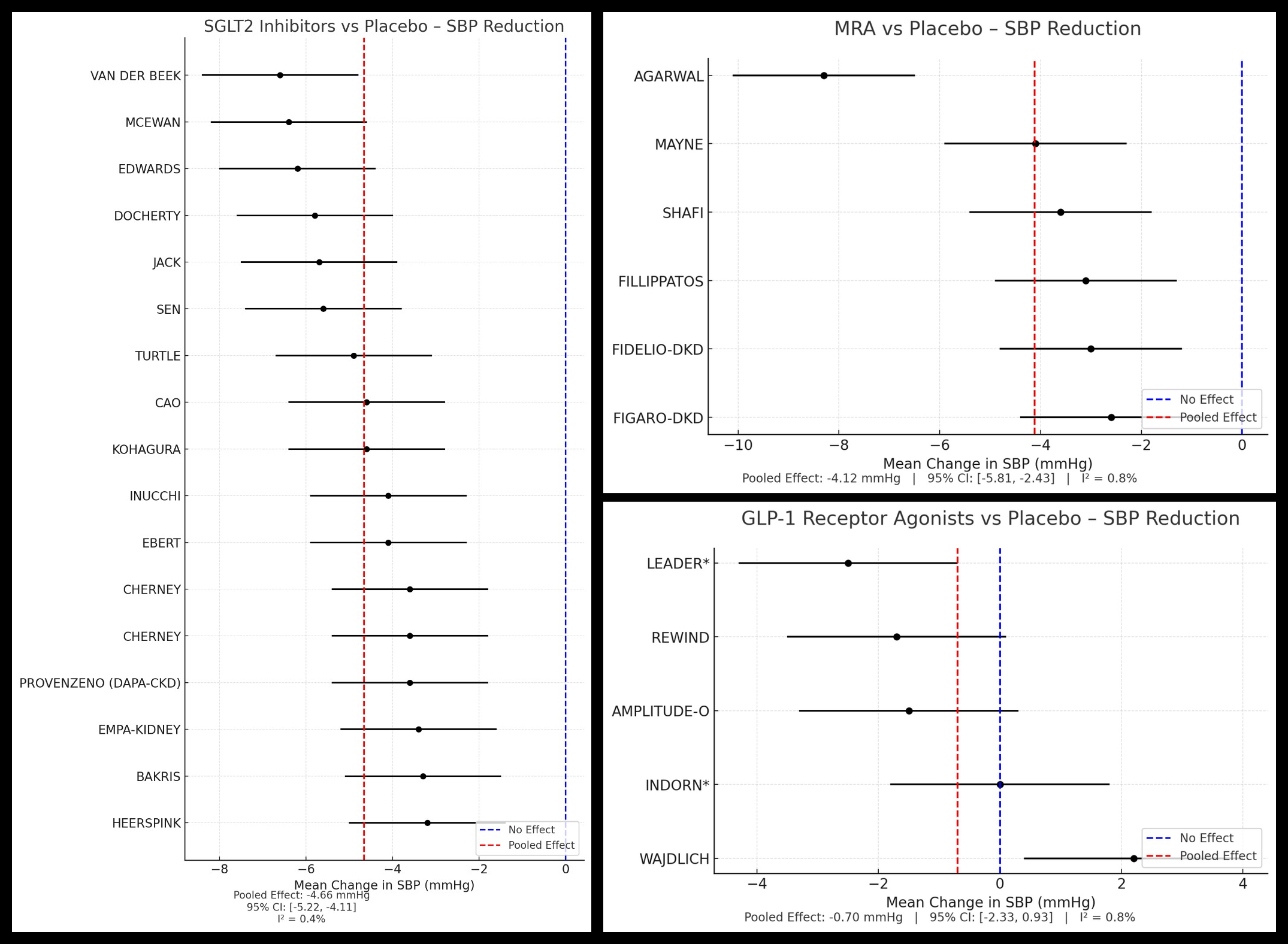
We conducted a network meta-analysis of randomized controlled trials and high-quality observational studies (2015–2025) involving adults with CKD (eGFR <90 mL/min/1.73 m2) that reported BP outcomes with SGLT2i, MRAs (including finerenone), or GLP-1 RAs. The primary outcome was mean change in systolic BP (SBP); secondary outcomes included diastolic BP (DBP) change and hypotension incidence. Subgroup analyses compared early (majority with eGFR ≥45) versus advanced CKD (majority with eGFR <45). Random-effects models were used unless heterogeneity (I2) was negligible. Evidence certainty was graded via GRADE. Funnel plots assessed publication bias, for SGLT2i.
Results:
Seventeen studies were included. SGLT2 inhibitors produced the greatest SBP reduction (–4.66 mmHg; 95% CI: –5.22 to –4.11; I2 = 0.4%), followed by MRAs (–4.12 mmHg; 95% CI: –5.81 to –2.43; I2 = 0.8%). GLP-1 RAs had a non-significant SBP reduction (–0.70 mmHg; 95% CI: –2.33 to 0.93; I2 = 0.8%). Diastolic BP reductions followed a similar trend: SGLT2i (–2.39 mmHg; 95% CI: –2.88 to –1.89, I2 = 0.1%), MRAs (–4.3 mmHg; 95% CI: –3.56 to 0.66, I2 = 0.0%). DBP trend could not be performed for GLP-1 RAs. Subgroup analysis confirmed significant SBP reductions with SGLT2i in both early (–3.61 mmHg; 95% CI: –5.19 to –2.02) and advanced CKD (–2.95 mmHg; 95% CI: –4.10 to –1.79). Hypotension was least frequent with SGLT2i (4.4%) versus MRAs (14.6%); GLP-1 RA trials inconsistently reported hypotension. Visual inspection of funnel plots for SGLT2i suggested minimal publication bias.
Conclusions:
SGLT2i provided the most consistent and clinically meaningful BP reductions in CKD, with high-certainty evidence and the lowest hypotension risk. Their effect may reflect broader populations, volume-mediated mechanisms, and longer follow-up. MRAs also reduced BP but had more hypotension, possibly limiting dosing. GLP-1 RAs offered minimal BP benefit, with low certainty and variable reporting. SGLT2i appear preferable for BP control in CKD, though limited direct comparisons call for further study.
  • Sabesan, Vaishnavi  ( TTUHSC El paso , El paso , Texas , United States )
  • Prabakar, Deipthan  ( TTUHSC El paso , El paso , Texas , United States )
  • Ravikumar, Jayashree  ( Kilpauk Medical College , Chennai , India )
  • Del Real, Azucena  ( TTUHSC El paso , El paso , Texas , United States )
  • Author Disclosures:
    Vaishnavi Sabesan: DO NOT have relevant financial relationships | Deipthan Prabakar: DO NOT have relevant financial relationships | Jayashree Ravikumar: DO NOT have relevant financial relationships | AZUCENA DEL REAL: No Answer
Meeting Info:
Session Info:

Concurrent C: GLP1 and SGLT-2 and Hypertension

Saturday, 09/06/2025 , 10:30AM - 12:00PM

Oral Abstract Session

More abstracts on this topic:
Age-standardized trends in Incidence Rates of Noncommunicable diseases among Adults Aged 30 to 79 in Senegal from 2000 to 2019

Gaye Ngone, Ka Mame, Kyem Damaris, Jobe Modou, Sattler Elisabeth, Gary-webb Tiffany, Gaye Bamba

A First-In-Human Phase 1 Study of the Safety, Tolerability, and Pharmacodynamics of REGN7544, a Novel Natriuretic Peptide Receptor 1–Blocking Monoclonal Antibody

Ahmed Mohsin, Morton Lori, Olenchock Benjamin, Herman Gary, Wynne Chris, Marin Ethan, Tuckwell Katie, Xu Meng, Cheng Xiping, Redington Emily, Koyani Bharatkumar, Mateo Katrina, Thakur Mazhar, Devalaraja-narashimha Kishor

More abstracts from these authors:
Isoproterenol-Enhanced Transesophageal Echocardiography to Differentiate Left Atrial Appendage Thrombus from Dense Spontaneous Echo Contrast: A Meta-Analysis

Sabesan Vaishnavi, Prabakar Deipthan, Malik Maryam Abbas, Sapkota Sachin, Prakash Vishakh, Awan Abdul Rafeh, Del Real Azucena, Abolbashari Mehran

Impact of Procedural Sequence on Outcomes in Combined Atrial Fibrillation Ablation and Left Atrial Appendage Occlusion: A Meta-Analysis of Occlusion-First vs. Ablation-First Strategies

Sabesan Vaishnavi, Prabakar Deipthan, Malik Maryam Abbas, Goranti Jyothsna, Del Real Azucena, Abolbashari Mehran

You have to be authorized to contact abstract author. Please, Login
Not Available