Logo

American Heart Association

  78
  0


Final ID: MP2452

Serial Changes in Right Ventricular Volume in Patients with Tetralogy of Fallot: Insights from Longitudinal Cardiac MRI

Abstract Body (Do not enter title and authors here): Background:
Advancements in congenital heart disease management have led to an increasing adult population with repaired Tetralogy of Fallot (rTOF). Serial imaging of Right Ventricle (RV) size and function have been proposed to guide decisions regarding pulmonary valve replacement (PVR). However, longitudinal data on RV volume changes in this cohort remain sparse. Thus, the optimal timing of surveillance cardiac MRI (CMR) studies in this population remains unknown.

Objective:
To evaluate serial changes in right ventricular end-diastolic volume index (RVEDVi) in patients with repaired TOF and identify factors contributing to progressive RV dilation over time.

Methods:
We performed a single-center, retrospective cohort study of 45 patients with rTOF who underwent at least two CMR between 2005 and 2023 at Montefiore Medical Center. All RV volumetric measurements were reassessed by a single observer for consistency. Change in RVEDVi was analyzed, and the associations between RV dilation, pulmonary regurgitation (PR), tricuspid regurgitation (TR), right ventricular ejection fraction (RVEF) and surgical approach were assessed.

Results:
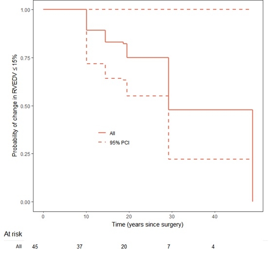
The cohort included 45 patients (median age at surgery: 13 months, interquartile range [IQR]: 7–49). Of these, 78% had TOF with pulmonary stenosis, and 67% underwent transannular patch repair (Table 1). Serial CMRs revealed considerable variability in RVEDVi, with a general trend toward RV dilation (Figure 1a). Notably, 29% (95% confidence interval [CI] : 17%, 45%) demonstrated a >15% increase in RVEDVi (Figure 1b), with a median time to this change of 29.3 years from surgery (Figure 2) or 5.5 years between two CMR assessments. Of the patients with significant RV dilation, 12 were female. Interestingly, neither the type of surgery, PR fraction, RVEF nor residual outflow obstruction were significantly associated with the degree of RV dilation.

Conclusion:
Longitudinal CMR analysis of rTOF patients reveals heterogeneous RV remodeling with only 29% of patients showing clinically significant progression of RV dilation over 5.5 years from first CMR assessment. These findings suggest that while RV progression occurs, the majority of patients will have no clinically significant change in RVEDVi over 5.5 years’ time. Robustly assessing change over time, identifying specific risk factors for RV dilation and refining surveillance intervals through multicenter studies could enable more personalized MRI monitoring strategies.
  • Gada, Jinal  ( Childrens Hospital At Montefiore and Montefiore Medical Center , Bronx , New York , United States )
  • Negassa, Abdissa  ( Albert Einstein College of Medicine and Montefiore Medical Center , Bronx , New York , United States )
  • Thai, Lauren  ( Childrens Hospital At Montefiore and Montefiore Medical Center , Bronx , New York , United States )
  • Rodgers, Ashley  ( Childrens Hospital At Montefiore , Bronx , New York , United States )
  • Rosenfeld, Cyril  ( Childrens Hospital At Montefiore , Bronx , New York , United States )
  • Levsky, Jeffrey  ( Childrens Hospital At Montefiore , Bronx , New York , United States )
  • Choueiter, Nadine  ( Childrens Hospital At Montefiore and Montefiore Medical Center , Bronx , New York , United States )
  • Hsu, Daphne  ( Childrens Hospital At Montefiore and Montefiore Medical Center , Bronx , New York , United States )
  • Author Disclosures:
    Jinal Gada: DO NOT have relevant financial relationships | Abdissa Negassa: No Answer | Lauren Thai: DO NOT have relevant financial relationships | Ashley Rodgers: No Answer | cyril rosenfeld: No Answer | Jeffrey Levsky: No Answer | nadine choueiter: No Answer | Daphne Hsu: DO have relevant financial relationships ; Consultant:Bayer :Active (exists now) ; Consultant:Rocket Pharmaceuticals:Active (exists now)
Meeting Info:

Scientific Sessions 2025

2025

New Orleans, Louisiana

Session Info:
More abstracts on this topic:
Perioperative Electrophysiological Study in Repaired Tetralogy of Fallot Undergoing Pulmonary Valve Replacement: A Systematic Review

Reddy Malugari Anish, Gupta Ishika, Vijayakumar Keerthika, Nallathambi Naveenkumar, Nguyen Duy, Deshmukh Abhishek, Egbe Alexander, Miranda William, Madhavan Malini

Proximity barcoding assay reveals dynamic plasma exosome protein profiles and subpopulation characteristics in patients undergoing transcatheter pulmonary valve replacement

Liang Runzhang, Abudurexiti Naijimuding, Wu Jiaxiong, Ling Jing, Peng Zirui, Wang Canxin, Yuan Haiyun, Wen Shusheng

More abstracts from these authors:
You have to be authorized to contact abstract author. Please, Login
Not Available