Logo

American Heart Association

  134
  0


Final ID: EPI22

Estimated health impact, cost, and cost-effectiveness of mandating sodium benchmarks in Australia’s packaged foods

Abstract Body (Do not enter title and authors here): Objectives: To estimate the potential health impact, cost, and cost-effectiveness of Australia mandating either A) the World Health Organization’s (WHO) global sodium benchmarks or B) the currently non-mandatory national sodium reformulation targets.
Methods: We used a multiple cohort proportional multi-state life table model to simulate the impact of the interventions on the adult (≥ 20 years) population. We estimated sodium intake in the base case (i.e., maintaining current sodium intake) and intervention scenarios, using nationally representative data on dietary intake, sodium levels in packaged foods, and food sales volume. Blood pressure and disease burden data were obtained from the Global Burden of Disease study. The effect of sodium reduction on blood pressure and disease risk was modelled using evidence from meta-analyses of randomized trials and prospective studies. Net costs, including implementation and healthcare costs, were used to calculate the incremental cost per health-adjusted life year (HALY) gained. Outcomes were discounted at 3%.
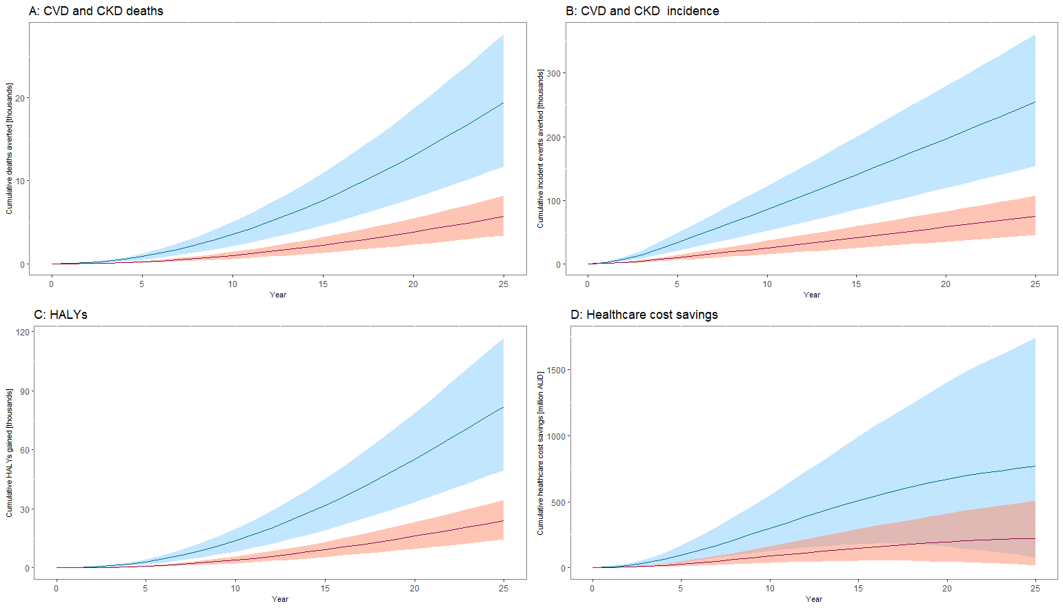
Results: Compared to the base case scenario, mandating the WHO benchmarks was projected to be cost saving over the first 25 years (98% probability), with 19 K deaths (95% uncertainty interval [UI]: 11-27), 140K incident CVD events (95% UI: 82-203), and 107K new CKD cases (95% UI: 62-155) averted (Figure). The intervention could generate around 78K HALYs (95% UI: 45-112) and save $732 million (95% UI: 76-1,689) in healthcare costs. Mandating the less comprehensive and less stringent national targets could also be cost saving (95% probability), but with only about 1/3 of the health benefits of to the WHO benchmarks (Figure).
Conclusions Our findings support mandating sodium thresholds for packaged foods as a cost-effective strategy to prevent death and disease in Australia. Making Australia’s voluntary reformulation targets mandatory may save thousands of lives, but mandating the WHO global benchmarks could generate substantially larger health gains.
  • Marklund, Matti  ( Johns Hopkins Bloomberg School of Public Health , Silver Spring , Maryland , United States )
  • Trieu, Kathy  ( The George Institute for Global Health , Sydney , New South Wales , Australia )
  • Aminde, Leopold  ( Griffith University , Gold Coast , Queensland , Australia )
  • Cobiac, Linda  ( Griffith University , Gold Coast , Queensland , Australia )
  • Coyle, Daisy  ( The George Institute for Global Health , Sydney , New South Wales , Australia )
  • Huang, Liping  ( The George Institute for Global Health , Sydney , New South Wales , Australia )
  • Neal, Bruce  ( The George Institute for Global Health , Sydney , New South Wales , Australia )
  • Veerman, J. Lennert  ( Griffith University , Gold Coast , Queensland , Australia )
  • Wu, Jason  ( The George Institute for Global Health , Sydney , New South Wales , Australia )
  • Author Disclosures:
    Matti Marklund: DO NOT have relevant financial relationships | Kathy Trieu: DO NOT have relevant financial relationships | Leopold Aminde: No Answer | Linda Cobiac: No Answer | Daisy Coyle: DO NOT have relevant financial relationships | Liping Huang: No Answer | Bruce Neal: DO NOT have relevant financial relationships | J. Lennert Veerman: DO NOT have relevant financial relationships | Jason Wu: DO NOT have relevant financial relationships
Meeting Info:

Scientific Sessions 2024

2024

Chicago, Illinois

Session Info:

Best of AHA Specialty Conferences: EPI/Lifestyle 2024

Monday, 11/18/2024 , 10:30AM - 11:30AM

Best of Specialty Conferences

More abstracts on this topic:
Complications of Extracorporeal Membrane Oxygenation (ECMO) and Their Impact on Mortality, Length of Stay, and Hospital Costs: A National Inpatient Sample Analysis from 2018–2022

Afzaal Usama, Qazi Iqra, Ayesha Maham, Iribarren Juan

Co-Created Intervention Promotes Uptake of Low Sodium Iodized Salt Substitute to Control Hypertension: Results from a Large Community-based Quasi-Experimental Study from India

Srinivasapura Venkateshmurthy Nikhil, Mohan Sailesh, Dubey Manisha, Sehgal Reena, Jarhyan Prashant, Khatkar Rajesh, Konkati Shiva Prasad, Sharma Manika, Ide Nicole, Prabhakaran Dorairaj

More abstracts from these authors:
Risks of hyperkalaemia with potassium-enriched salt substitute among patients using concomitant blockade of the renin-angiotensin-aldosterone system in the Salt Substitute and Stroke Study

Yin Xuejun, Wu Yangfeng, Trieu Kathy, Neal Bruce, Huang Liping, Tian Maoyi, Song Hongyi, Jha Vivekanand, Kotwal Sradha, Marklund Matti, Liu Yishu, Zhang Xinyi

Estimated Health Benefits, Costs, and Cost-Effectiveness of Eliminating Dietary Industrial Trans-fatty Acids in China

Huang Liping, Aminde Leopold, Trieu Kathy, Ge Zeng, Drummond Liz, Cobb Laura, Wu Jason, Veerman J. Lennert, Marklund Matti

You have to be authorized to contact abstract author. Please, Login
Not Available