Logo

American Heart Association

  112
  0


Final ID: MDP1175

Spatiotemporal Stability of Dominant Frequency Sites in Atrial Fibrillation Using Digital Twin Technology and Clinical Outcomes of Catheter Ablation

Abstract Body (Do not enter title and authors here): Background: Although the dominant frequency (DF) may localize the reentrant drivers of atrial fibrillation (AF), its meandering nature makes it difficult to localize as an extra-pulmonary vein (extra-PV) target.
Hypothesis: We explored and quantified the spatiotemporal stability of DF by sophisticated digital-twin maps and the association with the rhythm outcome of clinical AF catheter ablation (AFCA).
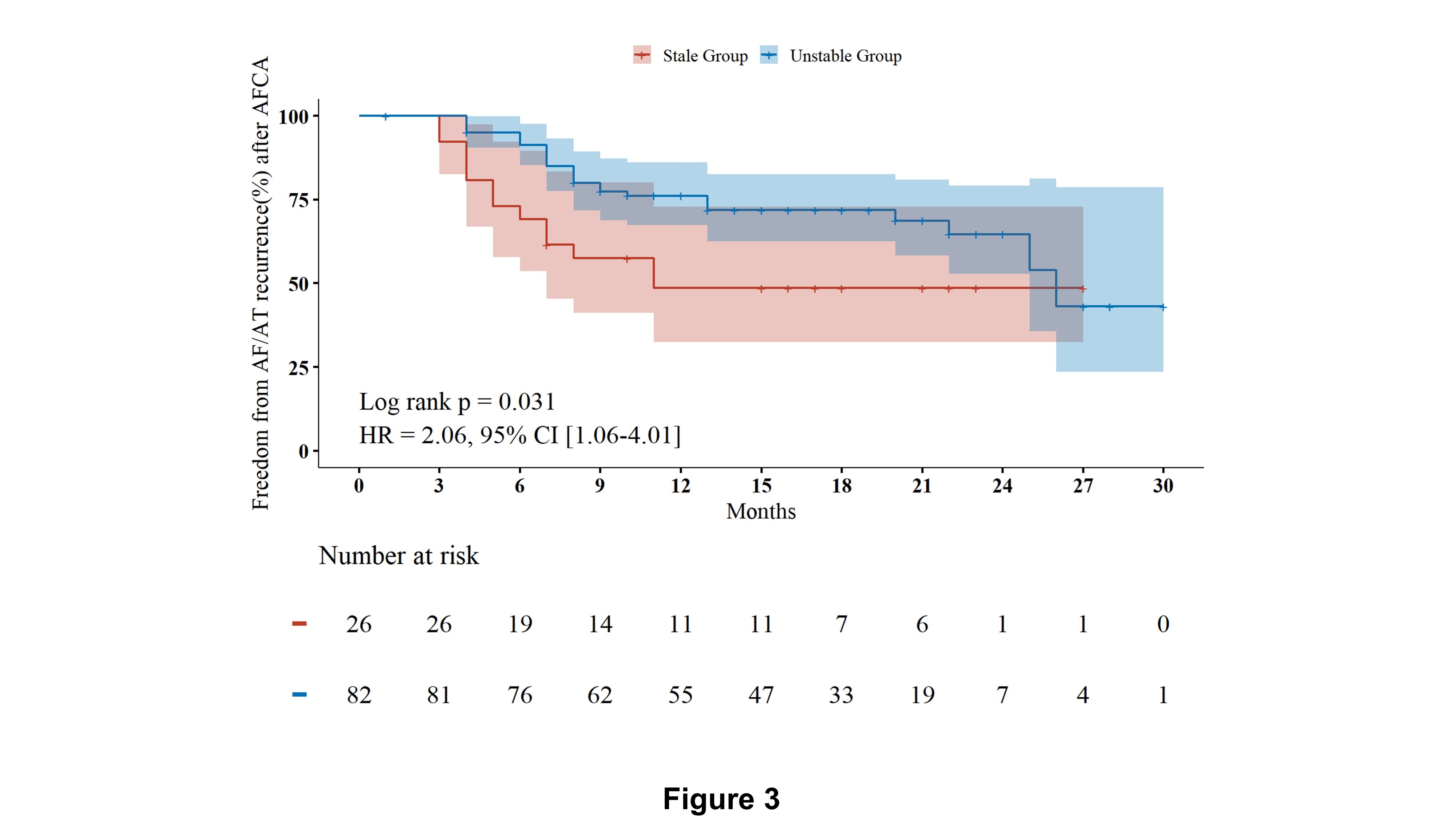
Methods: We retrospectively examined the DF sites in the digital twin integrated by high-density electroanatomical maps (EAM) of 170 patients previously included in the CUVIA-AF2 trial (male 70.6%, 59.2±11.3 years old, 100% persistent AF). We monitored 34 seconds of virtual AF and analyzed DF sites in 10 different left atrial (LA) regions at 3 consecutive periods (6 seconds each after 16 seconds of induction and blanking periods). The spatiotemporal stability index (STSI) was calculated to quantify mean DF's spatial and temporal variability. During protocol-based rhythm follow-up, we assessed the atrial arrhythmia recurrence rate by dividing patients into two groups based on STSI 0.75.
Results: During the simulation, 108 out of 170 (63.5%) patients recorded the mean DF in all consecutive periods. There were 26 (24.1%) patients in the stable DF group (STSI ≥0.75, Stable group) and 82 (75.9%) patients in the unstable DF group (STSI <0.75, Unstable group). Although the proportion of patients with hypertension (73.1 vs. 47.6%, p=0.041) was higher and left ventricular end-diastole diameter (51.3±3.9 vs. 49.0±4.4 mm, p=0.020) was larger in the stable DF group than in the unstable DF group, other parameters, including LA size, LA voltage, or AF ablation targets, did not differ between two groups. During the median 19 [15-22] months follow-up, the atrial arrhythmia recurrence rate of the Stable group is higher than that of the Unstable group (log-rank p=0.031, HR = 2.06, CI [1.06-4.01])
Conclusions: We found that the temporally stable DF in EAM-integrated virtual AF, the potential extra-PV AF drivers, is a surrogate marker of the adverse rhythm outcome of AFCA. A prospective clinical trial targeting the spatiotemporally stable DF will be warranted.
  • Hwang, Taehyun  ( Yonsei University College of Medicine , Seoul , Korea (the Republic of) )
  • Joung, Boyoung  ( Yonsei University College of Medicine , Seoul , Korea (the Republic of) )
  • Lee, Moon-hyoung  ( Yonsei University College of Medicine , Seoul , Korea (the Republic of) )
  • Pak, Hui-nam  ( Yonsei University College of Medicine , Seoul , Korea (the Republic of) )
  • Kwon, Oh-seok  ( Yonsei University College of Medicine , Seoul , Korea (the Republic of) )
  • Lim, Byounghyun  ( Yonsei University College of Medicine , Seoul , Korea (the Republic of) )
  • Kim, Moon-hyun  ( Yongin Severance Hospital , Yongin , Korea (the Republic of) )
  • Kim, Daehoon  ( Yonsei University College of Medicine , Seoul , Korea (the Republic of) )
  • Park, Je-wook  ( Yongin Severance Hospital , Yongin , Korea (the Republic of) )
  • Yu, Hee Tae  ( Yonsei University College of Medicine , Seoul , Korea (the Republic of) )
  • Kim, Tae-hoon  ( Yonsei University College of Medicine , Seoul , Korea (the Republic of) )
  • Uhm, Jae-sun  ( Yonsei University College of Medicine , Seoul , Korea (the Republic of) )
  • Author Disclosures:
    Taehyun Hwang: DO NOT have relevant financial relationships | BOYOUNG JOUNG: No Answer | Moon-Hyoung Lee: DO NOT have relevant financial relationships | Hui-Nam Pak: DO NOT have relevant financial relationships | Oh-Seok Kwon: No Answer | BYOUNGHYUN LIM: No Answer | Moon-Hyun Kim: No Answer | Daehoon Kim: DO NOT have relevant financial relationships | Je-Wook Park: DO NOT have relevant financial relationships | Hee Tae Yu: DO NOT have relevant financial relationships | Tae-Hoon Kim: No Answer | Jae-Sun Uhm: DO NOT have relevant financial relationships
Meeting Info:

Scientific Sessions 2024

2024

Chicago, Illinois

Session Info:

Wave of the Future: Artificial Intelligence & Atrial fibrillation Before, During and After the EP Lab

Sunday, 11/17/2024 , 09:30AM - 10:55AM

Moderated Digital Poster Session

More abstracts on this topic:

4-5 Years Outcomes of Left Atrial Appendage Closure vs. Oral Anticoagulants in Atrial Fibrillation: A Systematic Review and Meta-Analysis:

Khan Muhammad Aslam, Haider Taimoor, Bhattarai Shraddha, Afzal Hafsa, Khan Bilal, Muhammad Anza, Shafique Nouman, Bhatia Hitesh, Aafreen Asna, Adil Abid Nawaz Khan, Akbar Usman, Khan Alamzaib, Haider Muhammad Adnan

A novel risk score predicts the prevalence of left atrial low-voltage areas and rhythm outcome in patients undergoing long-standing persistent atrial fibrillation ablation

Ooka Hirotaka, Nakao Sho, Kusuda Masaya, Ariyasu Wataru, Kudo Satoshi, Fujii Subaru, Mano Toshiaki, Matsuda Yasuhiro, Masuda Masaharu, Okamoto Shin, Ishihara Takayuki, Nanto Kiyonori, Tsujimura Takuya, Hata Yosuke, Uematsu Hiroyuki

More abstracts from these authors:
Causal associations between age of menarche or sex hormones and the risk of cardiovascular mortality: A Mendelian randomization analysis

Hong Myunghee, Park Je-wook, Kwon Oh-seok, Yu Hee Tae, Kim Tae-hoon, Uhm Jae-sun, Joung Boyoung, Lee Moon-hyoung, Pak Hui-nam

Pathophysiological evidence for abnormal P-wave terminal force reflects atrial myopathy

Kim Juntae, Kim Daehoon, Kwon Oh-seok, Yu Hee Tae, Kim Tae-hoon, Uhm Jae-sun, Joung Boyoung, Lee Moon-hyoung, Pak Hui-nam

You have to be authorized to contact abstract author. Please, Login
Not Available