Logo

American Heart Association

  171
  0


Final ID: Sa2089

Pathophysiological evidence for abnormal P-wave terminal force reflects atrial myopathy

Abstract Body (Do not enter title and authors here): Background: Although P-wave terminal force (PWTF), a marker of atrial myopathy, has been implicated in predicting incident atrial fibrillation (AF) and ischemic stroke, its pathophysiological mechanisms remain unclear. This study investigates the association between abnormal PWTF and atrial myopathy, diastolic function, epicardial adipose tissue (EAT), or AF recurrence following AF catheter ablation (AFCA).
Methods: We included 3,528 AF patients (59.7 (10.8) years, 28.8% female, 64.2% paroxysmal AF) who underwent AFCA with baseline and 1-year follow-up echocardiograms. We evaluated the characteristics of the patients with abnormal PWTF (≥4000 μV × ms) and its association with clinical, hemodynamical, and imaging parameters.
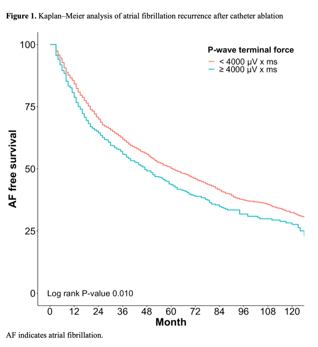
Result: Patients with AF and abnormal PWTF (≥4000 μV × ms) were older (p=0.001) and had higher proportions of male (p<0.001) and non-paroxysmal AF (p<0.001), higher CHA2DS2-VASc (p=0.011), H2FPEF scores (p=0.003), higher left atrial (LA) dimension (p<0.001), left ventricular mass index (p=0.001), LA pressure (n=3,067, p=0.014), and atrial EAT volume (p<0.001), and lower LA strain (n=368, p=0.036) than their counterpart. The patients with abnormal PWTF were independently associated with age (OR 1.01 [1.00-1.02], p=0.007), male gender (OR 1.64 [1.33-2.01], p<0.001), non-paroxysmal AF (OR 1.37 [1.14-1.66], p=0.001), LA volume index (OR 1.02 [1.01-1.03], p<0.001), or atrial EAT volume (OR 1.00 [1.00-1.01], p=0.028). Among 2,929 patients who did not recur within a year, PWTF was an independent predictor of blunted LA reverse remodeling a year after AFCA (OR 0.97 [0.94-0.99], p=0.029). During a median follow-up of 31 (interquartile range 15–61) month, patients with abnormal PWTF demonstrated a significantly higher AF recurrence (log-rank p=0.010; HR 1.14 [1.04-1.25], p=0.008).
Conclusion: Abnormal PWTF is associated with a blunted LA reverse remodeling, atrial EAT volume, and an increased risk of AF recurrence following catheter ablation and is indicative of LA myopathy.
  • Kim, Juntae  ( Yonsei University College of Medicine , Seoul , Korea (the Republic of) )
  • Kim, Daehoon  ( Yonsei University College of Medicine , Seoul , Korea (the Republic of) )
  • Kwon, Oh-seok  ( Yonsei University College of Medicine , Seoul , Korea (the Republic of) )
  • Yu, Hee Tae  ( Yonsei University College of Medicine , Seoul , Korea (the Republic of) )
  • Kim, Tae-hoon  ( Yonsei University College of Medicine , Seoul , Korea (the Republic of) )
  • Uhm, Jae-sun  ( Yonsei University College of Medicine , Seoul , Korea (the Republic of) )
  • Joung, Boyoung  ( Yonsei University College of Medicine , Seoul , Korea (the Republic of) )
  • Lee, Moon-hyoung  ( Yonsei University College of Medicine , Seoul , Korea (the Republic of) )
  • Pak, Hui-nam  ( Yonsei University College of Medicine , Seoul , Korea (the Republic of) )
  • Author Disclosures:
    Juntae Kim: DO NOT have relevant financial relationships | Daehoon Kim: DO NOT have relevant financial relationships | Oh-Seok Kwon: No Answer | Hee Tae Yu: DO NOT have relevant financial relationships | Tae-Hoon Kim: No Answer | Jae-Sun Uhm: DO NOT have relevant financial relationships | BOYOUNG JOUNG: No Answer | Moon-Hyoung Lee: DO NOT have relevant financial relationships | Hui-Nam Pak: DO NOT have relevant financial relationships
Meeting Info:

Scientific Sessions 2024

2024

Chicago, Illinois

More abstracts on this topic:
A large-scale multi-view deep learning-based assessment of left ventricular ejection fraction in echocardiography

Jing Linyuan, Metser Gil, Mawson Thomas, Tat Emily, Jiang Nona, Duffy Eamon, Hahn Rebecca, Homma Shunichi, Haggerty Christopher, Poterucha Timothy, Elias Pierre, Long Aaron, Vanmaanen David, Rocha Daniel, Hartzel Dustin, Kelsey Christopher, Ruhl Jeffrey, Beecy Ashley, Elnabawi Youssef

Advanced waveform analysis of the electrocardiogram signals using complementary signal processing techniques to investigate the response to a QTc prolonging drug vs control including food effect.

Serna Pascual Miquel, Nandi Manasi, Taubel Jorg, Lorch Ulrike, Djumanov Dilshat, Sadsad Tyrone-joshua, Mejia Elisa, Rickard James

More abstracts from these authors:
Spatiotemporal Stability of Dominant Frequency Sites in Atrial Fibrillation Using Digital Twin Technology and Clinical Outcomes of Catheter Ablation

Hwang Taehyun, Joung Boyoung, Lee Moon-hyoung, Pak Hui-nam, Kwon Oh-seok, Lim Byounghyun, Kim Moon-hyun, Kim Daehoon, Park Je-wook, Yu Hee Tae, Kim Tae-hoon, Uhm Jae-sun

Causal associations between age of menarche or sex hormones and the risk of cardiovascular mortality: A Mendelian randomization analysis

Hong Myunghee, Park Je-wook, Kwon Oh-seok, Yu Hee Tae, Kim Tae-hoon, Uhm Jae-sun, Joung Boyoung, Lee Moon-hyoung, Pak Hui-nam

You have to be authorized to contact abstract author. Please, Login
Not Available