Logo

American Heart Association

  75
  0


Final ID: Sa3075

Associations of neutrophil counts with risk of cardiovascular disease and all-cause and cause-specific mortality: a systematic review and meta-analysis of prospective cohorts

Abstract Body (Do not enter title and authors here): Background and Aims High neutrophil counts, an easily accessible inflammation biomarker, has been linked to risk of cardiovascular disease (CVD), and mortality, but with mixed results. We aimed to summarize published associations between neutrophil counts with risk of CVD and all-cause and cause-specific mortality among generally healthy populations.
Methods We searched Medline, Embase, Web of Science, and Cochrane CENTRAL databases until March 2024. Random effect meta-analysis was conducted to calculate pooled risk ratios (RRs) and 95% confidence intervals (95%CIs) for highest versus lowest categories of neutrophil counts in relation to risk of CVD and all-cause and cause-specific mortality among general healthy populations. Linear and non-linear dose-response analyses were also performed.
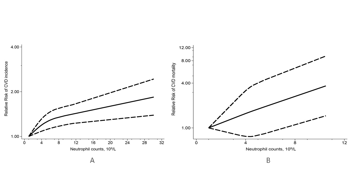
Results Our systematic review and meta-analysis included 22 prospective cohort studies. During a median/mean follow-up period of 3.8 to 18.3 years, 73,934 CVD events and 80,317 deaths occurred among 1,962,191 participants. Higher neutrophil counts were associated with a higher risk of CVD incidence and all-cause mortality, CVD mortality, and non-CVD mortality. The pooled RRs (95%CIs) of highest versus lowest categories of neutrophil counts were 1.32 (1.20, 1.45) for risk of CVD incidence, 1.61 (1.23, 2.11) for all-cause mortality, 1.71 (1.45, 2.01) for CVD mortality, and 1.68 (1.17, 2.40) for non-CVD mortality. Further, per 1 SD increase of neutrophil counts was associated with a 4%, 12%, 14%, and 24% higher risk for CVD events, all-cause mortality, CVD mortality, and non-CVD mortality, respectively. In addition, a secondary dose-response analysis revealed a non-linear association of neutrophil counts with risk of CVD events (Pnon-linearity = 0.01), but a linear positive association with CVD mortality (Pnon-linearity = 0.87). The pooled associations of neutrophil counts with CVD risk, and all-cause, CVD, and non-CVD mortality did not differ by age, sex, region, and follow-up duration.
Conclusions Higher neutrophil counts were associated with a substantially higher risk of CVD events and all-cause, CVD, and non-CVD mortality.
  • Wei, Cheng  ( The Second Xiangya Hospital, Central South University , Changsha , Hunan , China )
  • Chen, Zhangling  ( The Second Xiangya Hospital, Central South University , Changsha , Hunan , China )
  • Tan, Bohao  ( The Second Xiangya Hospital, Central South University , Changsha , Hunan , China )
  • Li, Ziyue  ( The Second Xiangya Hospital, Central South University , Changsha , Hunan , China )
  • Feng, Yu  ( The Second Xiangya Hospital, Central South University , Changsha , Hunan , China )
  • Wang, Kang  ( The Second Xiangya Hospital, Central South University , Changsha , Hunan , China )
  • Yu, Bilian  ( The Second Xiangya Hospital, Central South University , Changsha , Hunan , China )
  • Mou, Yuchan  ( Erasmus MC, University Medical Center Rotterdam , Rotterdam , Netherlands )
  • Bramer, Wichor  ( Erasmus MC, University Medical Center Rotterdam , Rotterdam , Netherlands )
  • Zhou, Shenghua  ( The Second Xiangya Hospital, Central South University , Changsha , Hunan , China )
  • Author Disclosures:
    Cheng Wei: DO NOT have relevant financial relationships | Zhangling Chen: DO NOT have relevant financial relationships | Bohao Tan: DO NOT have relevant financial relationships | Ziyue Li: No Answer | Yu Feng: No Answer | Kang Wang: DO NOT have relevant financial relationships | Bilian Yu: No Answer | Yuchan Mou: DO NOT have relevant financial relationships | Wichor Bramer: DO NOT have relevant financial relationships | Shenghua Zhou: DO NOT have relevant financial relationships
Meeting Info:

Scientific Sessions 2024

2024

Chicago, Illinois

Session Info:

CVD Science Smorgasbord II

Saturday, 11/16/2024 , 10:30AM - 11:30AM

Abstract Poster Session

More abstracts on this topic:
Acoramidis Reduces All-Cause Mortality (ACM) and Cardiovascular-Related Hospitalization (CVH): Initial Outcomes From the ATTRibute-CM Open-Label Extension (OLE) Study

Judge Daniel, Masri Ahmad, Obici Laura, Poulsen Steen, Sarswat Nitasha, Shah Keyur, Soman Prem, Cao Xiaofan, Wang Kevin, Pecoraro Maria, Tamby Jean-francois, Gillmore Julian, Katz Leonid, Fox Jonathan, Maurer Mathew, Alexander Kevin, Ambardekar Amrut, Cappelli Francesco, Fontana Marianna, Garcia-pavia Pablo, Grogan Martha, Hanna Mazen

Analysis of C-reactive protein omics-measures associates methylation risk score with obstructive sleep apnea-related measures

Wang Ziqing, Hou Lifang, Ramos Alberto, Kaur Sonya, Durda Peter, Gonzalez Hector, Fornage Myriam, Redline Susan, Isasi Carmen, Sofer Tamar, Wallace Danielle, Spitzer Brian, Huang Tianyi, Taylor Kent, Rotter Jerome, Rich Stephen, Liu Peter, Daviglus Martha

More abstracts from these authors:
Association of Body Roundness Index and Cardiovascular Disease among US Adults

Wang Kang, Chen Pengfei, Tan Bohao, Wei Cheng, Tan Jianjun, Fang Zhen-fei, Liu Qiming, Zhou Shenghua, Chen Zhangling

The Association Between Oxidative Balance Score and Hypertension: A Cross-Sectional Study

Wang Kang, Chen Pengfei, Tan Bohao, Wei Cheng, Tang Jianjun, Fang Zhen-fei, Liu Qiming, Chen Zhangling, Zhou Shenghua

You have to be authorized to contact abstract author. Please, Login
Not Available