Logo

American Heart Association

  170
  0


Final ID: Mo3099

The Association Between Oxidative Balance Score and Hypertension: A Cross-Sectional Study

Abstract Body (Do not enter title and authors here): Background: The association between oxidative stress score (OBS) and hypertension remains unclear in the US population.
Hypothesis: We hypothesized that higher OBS was associated with a lower risk of hypertension.
Methods: A total of 22,938 adults (mean age: 47.2 years) were enrolled from 8 survey cycles of NHANES (2003-2004, 2005-2006, 2007-2008, 2009-2010, 2011-2012, 2013-2014, 2015-2016 and 2017-2018). The total OBS consisted of the dietary OBS and the lifestyle OBS, based on 16 dietary components (including dietary iron, zinc, total fat, copper, selenium, magnesium, calcium, vitamin C, E, B6 and B12, total folate, carotene, niacin, riboflavin, and fiber) and 4 lifestyle components (including body mass index, alcohol, smoking, and physical activity). Weighted multivariate logistic regression was used to investigate the association between OBS and hypertension, and restricted cubic spline (RCS) assessed the nonlinear relationship.
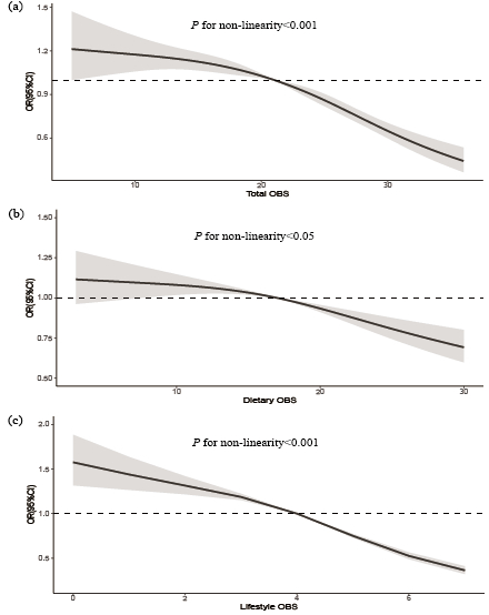
Results: In the multivariate-adjusted model, a substantially inverse association was observed between total OBS and risk of hypertension. Comparing the extreme quartile groups, the OR and 95% CI were 0.62 (0.52-0.73). Furthermore, higher dietary OBS and lifestyle OBS were similarly associated with a lower risk of hypertension (OR (95%CI): 0.78(0.66,0.93); 0.38(0.33,0.44), respectively). The RCS exhibited a nonlinear dose-response association between total OBS and hypertension (P non-linearity < 0.001).
Conclusion: These findings support the potential beneficial role of OBS for the prevention of hypertension in adults.
  • Wang, Kang  ( Second Xiangya Hospital of Central South University , Changsha , China )
  • Chen, Pengfei  ( Second Xiangya Hospital of Central South University , Changsha , China )
  • Tan, Bohao  ( Second Xiangya Hospital of Central South University , Changsha , China )
  • Wei, Cheng  ( Second Xiangya Hospital of Central South University , Changsha , China )
  • Tang, Jianjun  ( Second Xiangya Hospital of Central South University , Changsha , China )
  • Fang, Zhen-fei  ( Second Xiangya Hospital of Central South University , Changsha , China )
  • Liu, Qiming  ( Second Xiangya Hospital of Central South University , Changsha , China )
  • Chen, Zhangling  ( Second Xiangya Hospital of Central South University , Changsha , China )
  • Zhou, Shenghua  ( Second Xiangya Hospital of Central South University , Changsha , China )
  • Author Disclosures:
    Kang Wang: DO NOT have relevant financial relationships | Pengfei Chen: No Answer | Bohao Tan: DO NOT have relevant financial relationships | Cheng Wei: DO NOT have relevant financial relationships | Jianjun Tang: No Answer | Zhen-fei Fang: No Answer | Qiming Liu: DO NOT have relevant financial relationships | Zhangling Chen: DO NOT have relevant financial relationships | Shenghua Zhou: DO NOT have relevant financial relationships
Meeting Info:

Scientific Sessions 2024

2024

Chicago, Illinois

Session Info:

Food is Medicine: Dietary Patterns and Population Health

Monday, 11/18/2024 , 10:30AM - 11:30AM

Abstract Poster Session

More abstracts on this topic:
2 Dimensional Echocardiography versus 3 Dimentional Echocardiography to Assess Right Ventricular Function in Pulmonary Hypertension: A Systematic Review

Chaudhry Waleed Razzaq, Hajj Fatima, Bathula Satyamedha, Meghji Mohammed Askari, Pasupuleti Hemalatha, Kiyani Madiha, Shah Syeda Simrah, Neelakantan Ramaswamy Sanathanan, Mirzaeidizaji Nakisa, St. Jacques Jahnoy, Khan Khalil Ullah, Veluchamy Elakkiya, Jesse Joshanna

DASH Diet Adherence Decreased Among US Adults with Hypertension from 2013 to 2023

Johnson Daniel, Wadhera Rishi

More abstracts from these authors:
Associations between plant-based diets and total mortality among Chinese older participants with cardiometabolic diseases: a prospective cohort study

Tan Bohao, Zhou Shenghua, Chen Zhangling, Chen Pengfei, Wang Kang, Wei Cheng, Luo Fei, Tang Jianjun, Fang Zhen-fei, Liu Qiming, Hu Xinqun

Association of Body Roundness Index and Cardiovascular Disease among US Adults

Wang Kang, Chen Pengfei, Tan Bohao, Wei Cheng, Tan Jianjun, Fang Zhen-fei, Liu Qiming, Zhou Shenghua, Chen Zhangling

You have to be authorized to contact abstract author. Please, Login
Not Available