Logo

American Heart Association

  98
  0


Final ID: MDP706

Associations of the Glasgow Prognostic Score with Adverse Outcomes in Patients with Acute Coronary Syndrome and Atrial Fibrillation

Abstract Body (Do not enter title and authors here): Introduction: Glasgow Prognostic Score (GPS), including c-reactive protein and albumin, has been used to assess inflammatory status in many diseases. The aim of this study was to evaluate the associations of GPS on prognosis in patients with acute coronary syndrome (ACS) and atrial fibrillation (AF).

Methods: We conducted a prospective observational study and consecutively recruited 1153 patients with AF combined with ACS. The primary endpoint was all-cause mortality and the secondary endpoint was major adverse cardiovascular and cerebrovascular events (MACCEs). Three multivariable adjusted Cox proportional hazards models were performed to evaluate the associations between GPS and endpoints.

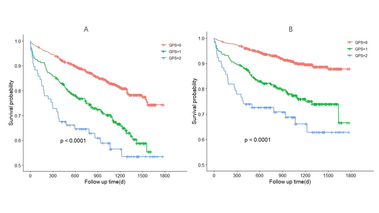
Results: Patients were divided into 3 groups: GPS=0 (c-reactive protein≤10mg/L and albumin ≥35g/L, n=812), GPS=1 (c-reactive protein >10mg/L or albumin <35g/L, n=264), GPS=2 (c-reactive protein >10mg/L and albumin <35g/L, n=77). During a median follow-up of 34.0 months, log-rank analysis showed that higher GPS was associated with decreased overall survival (P<0.001, Figure 1A) and a higher incidence of MACCEs (P<0.001, Figure 1B). After adjustment for confounders including demographics, comorbidities, and treatments, multivariable Cox models showed that GPS=1 was independently associated with increased risk of all-cause mortality and MACCEs (Table 1).

Conclusions: Hypoalbuminemia or elevated c-reactive protein is independently associated with worse prognosis in patients with ACS and AF, suggesting that inflammatory status plays an important role in the prognostic assessment of ACS patients with AF.
  • Liang, Hanyang  ( Fuwai Hospital, State Key Laboratory of Cardiovascular Disease of China, National Center for Cardiovascular Diseases, National Clinical Research Center of Cardiovascular Diseases, Chinese Academy of Medical Sciences and Peking Union Medical College , Beijing , China )
  • Han, Zhang  ( Fuwai Hospital, State Key Laboratory of Cardiovascular Disease of China, National Center for Cardiovascular Diseases, National Clinical Research Center of Cardiovascular Diseases, Chinese Academy of Medical Sciences and Peking Union Medical College , Beijing , China )
  • Shao, Xinghui  ( Fuwai Hospital, State Key Laboratory of Cardiovascular Disease of China, National Center for Cardiovascular Diseases, National Clinical Research Center of Cardiovascular Diseases, Chinese Academy of Medical Sciences and Peking Union Medical College , Beijing , China )
  • Wang, Juan  ( Fuwai Hospital, State Key Laboratory of Cardiovascular Disease of China, National Center for Cardiovascular Diseases, National Clinical Research Center of Cardiovascular Diseases, Chinese Academy of Medical Sciences and Peking Union Medical College , Beijing , China )
  • Wu, Shuang  ( Fuwai Hospital, State Key Laboratory of Cardiovascular Disease of China, National Center for Cardiovascular Diseases, National Clinical Research Center of Cardiovascular Diseases, Chinese Academy of Medical Sciences and Peking Union Medical College , Beijing , China )
  • Lyu, Si-qi  ( Fuwai Hospital, State Key Laboratory of Cardiovascular Disease of China, National Center for Cardiovascular Diseases, National Clinical Research Center of Cardiovascular Diseases, Chinese Academy of Medical Sciences and Peking Union Medical College , Beijing , China )
  • Xu, Wei  ( Fuwai Hospital, State Key Laboratory of Cardiovascular Disease of China, National Center for Cardiovascular Diseases, National Clinical Research Center of Cardiovascular Diseases, Chinese Academy of Medical Sciences and Peking Union Medical College , Beijing , China )
  • Yang, Yanmin  ( Fuwai Hospital, State Key Laboratory of Cardiovascular Disease of China, National Center for Cardiovascular Diseases, National Clinical Research Center of Cardiovascular Diseases, Chinese Academy of Medical Sciences and Peking Union Medical College , Beijing , China )
  • Author Disclosures:
    Hanyang Liang: DO NOT have relevant financial relationships | Zhang Han: No Answer | XingHui Shao: No Answer | Juan Wang: No Answer | Shuang Wu: No Answer | Si-qi Lyu: DO NOT have relevant financial relationships | Wei Xu: DO NOT have relevant financial relationships | YANMIN YANG: No Answer
Meeting Info:

Scientific Sessions 2024

2024

Chicago, Illinois

Session Info:

Predicting Risk in the ACS Population

Saturday, 11/16/2024 , 09:30AM - 10:55AM

Moderated Digital Poster Session

More abstracts on this topic:
A-band titin-truncating variant promotes the development of arrhythmia-induced cardiomyopathy in a novel genetically-engineered porcine model

Lee Kwonjae, Del Rio Carlos, Mcnally Elizabeth, Pfenniger Anna, Bhatnagar Ashita, Glinton Kristofor, Burrell Amy, Ober Rebecca, Mcluckie Alicia, Bishop Brian, Rogers Christopher, Geist Gail

12,13-diHOME Attenuates Pro-Arrhythmic Effect of High-Fat Diet

Buck Benjamin, Baer Lisa, Deschenes Isabelle, Chinthalapudi Krishna, Gallego-perez Daniel, Stanford Kristin, Hund Thomas, Areiza Natalia, Xu Xianyao, Elliott Austin, Wan Xiaoping, Nassal Drew, Lane Cemantha, Nirengi Shinsuke, James Natasha Maria

You have to be authorized to contact abstract author. Please, Login
Not Available