Logo

American Heart Association

  166
  0


Final ID: MDP434

Assessing Sex Differences in the Relationship Between Social Isolation and Incident Atherosclerotic Cardiovascular Disease and Death Using Data from the U.S. Health and Retirement Study

Abstract Body (Do not enter title and authors here): Background: Inadequate social connection has been associated with an increased risk of atherosclerotic cardiovascular disease (ASCVD) and mortality. There are insufficient and conflicting data on whether sex differences play a role in this relationship. Therefore, we sought to further examine the relationship between sex, social isolation, and these subsequent events.
Methods: We analyzed Health and Retirement Study (HRS) and RAND data collected biennially from 8,987 individuals enrolled from 2004-2020 who completed at least 1 Leave Behind Questionnaire (LBQ). Social isolation was determined from LBQ data using a previously validated 6-item scale where scores of 3 or greater indicated social isolation. Development of ASCVD was classified as new self-reported myocardial infarction or stroke at any follow-up assessment. Mortality was determined with RAND longitudinal data, which was available for all individuals. We examined the incidence of ASCVD in socially isolated and not socially isolated individuals using a cumulative incidence function accounting for the competing risk of death.
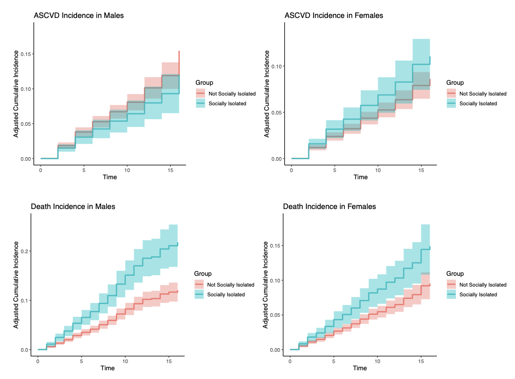
Results: Mean age at baseline LBQ survey was 55.7 years and 43% of the sample were male. In the sample, 23% identified as Black, 63% identified as White, and 13% identified as Other. Social isolation was present in 1,653 (18%) individuals at their baseline survey. ASCVD developed in 484 (5%) participants, and 593 (7%) participants died over the study’s follow-up period. Cumulative incidence analysis showed no significant difference in ASCVD incidence between socially isolated and non-socially isolated groups for either sex (male p-value: 0.15; female: 0.09) (Figure). However, the incidence of death was significantly increased for both socially isolated sexes (male p-value: <0.001; female: <0.001).
Conclusion: While socially isolated participants were not at significantly increased risk of incident ASCVD, they were at significantly increased risk of mortality, irrespective of sex. This highlights the need for continued public health initiatives that foster social connection to enhance the well-being of the general population. The study is limited by reliance on self-report for ASCVD, which may underestimate disease incidence.
  • Graves, Claire  ( NYU SCHOOL MEDICINE , New York , New York , United States )
  • Eisenberg-guyot, Jerzy  ( NYU Langone Health , New York , New York , United States )
  • Varghese, Ashwini  ( NYU Langone Health , New York , New York , United States )
  • Dodson, John  ( NYU SCHOOL MEDICINE , New York , New York , United States )
  • Author Disclosures:
    Claire Graves: DO NOT have relevant financial relationships | Jerzy Eisenberg-Guyot: DO NOT have relevant financial relationships | Ashwini Varghese: DO NOT have relevant financial relationships | John Dodson: DO have relevant financial relationships ; Advisor:Alivecor, Inc.:Active (exists now) ; Advisor:ISHI Health:Active (exists now)
Meeting Info:

Scientific Sessions 2024

2024

Chicago, Illinois

Session Info:

The Heart-Mind Connection: Exploring Psychological and Social Determinants of Cardiovascular Health

Saturday, 11/16/2024 , 12:50PM - 02:15PM

Moderated Digital Poster Session

More abstracts on this topic:
A 3-Year, Pre-Trial, Real-world Data Analysis of Patients Enrolled in VICTORION-INITIATE: Insights Using Tokenization

Rodriguez Fatima, Cosmatos Irene, Desai Nihar, Wright R, Ross Elsie, Ali Yousuf, Kumar Biswajit, Han Guangyang, Cai Beilei, Abbas Cheryl, Ryan Amy

Association Between Perceived Risk of Hypertension and Healthcare Utilization among Black Adults with Elevated Blood Pressure or Untreated Stage 1 Hypertension: Findings from the RESTORE Network

Dubal Medha, Levy Phillip, Hardy Shakia, Ravenell Joseph, Spruill Tanya, Arabadjian Milla, Foti Kathryn, Poudel Bharat, Christenson Ashley, Wang Zhixin, Green Tanisha, Muntner Paul, Cluett Jennifer, Commodore-mensah Yvonne

More abstracts from these authors:
Modernizing Hypertension Management in Older Adults: Pragmatic Approaches with Digital Health

Dodson John

Primary results of the Behavioral Economics Trial to Test Effective Regulation of Blood Pressure (BETTER-BP)

Dodson John, Meng Yuchen, Pena Stephanie, Rojas Michelle, De Brito Stefany, Gutierrez Yasmin, Rosado Victoria, Olkinha Ekaterina, Troxel Andrea, Schoenthaler Antoinette, Adhikari Samrachana, Shimbo Daichi, Berman Adam, Levy Natalie, Hanley Kathleen, Richardson Safiya, Varghese Ashwini

You have to be authorized to contact abstract author. Please, Login
Not Available