Logo

American Heart Association

  118
  0


Final ID: MDP389

Sex Differences in Post-PCI Myocardial Injury and Long-Term All-Cause Mortality

Abstract Body (Do not enter title and authors here): Background: Myocardial injury complicating percutaneous coronary intervention (PCI) is associated with mortality, but sex differences in outcomes are uncertain. We explored sex differences in the incidence and long-term outcomes of post-PCI myocardial injury (PPMI).
Methods: Adults who underwent PCI at NYU between 2011-2020 were included in this retrospective analysis. Patients with ACS as the indication for PCI were excluded. PPMI was defined as a peak CKMB concentration >99% of the upper reference limit. The incidence of PPMI by sex was compared by Chi-square tests. Independent predictors of elevated CKMB post-PCI were evaluated with linear regression models in subgroups by sex. Cox proportional hazard models were generated to evaluate relationships between PPMI and all-cause mortality by sex.
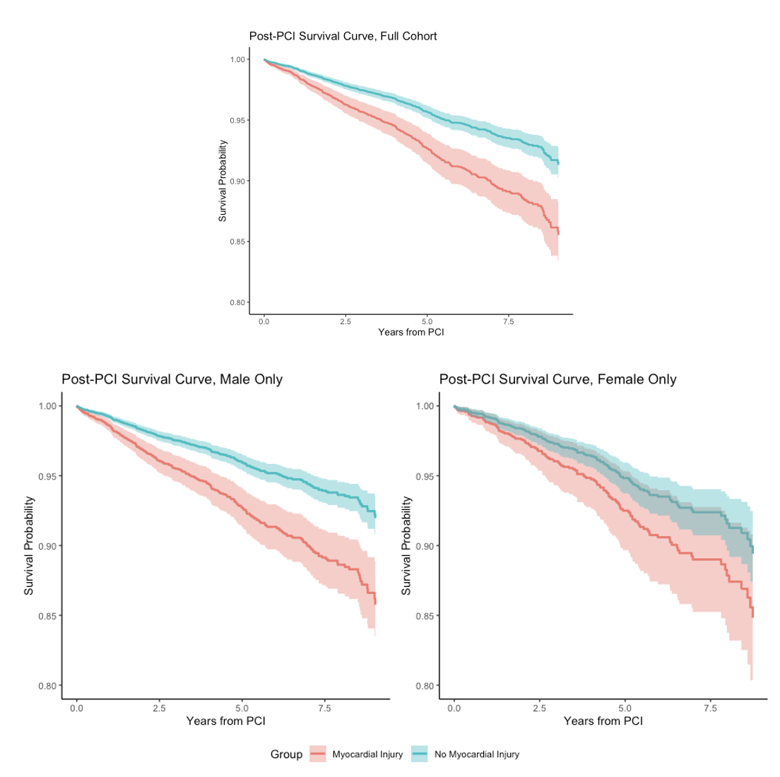
Results: Of 10,807 adults undergoing PCI, 24.9% (2,694) were female. Females were older than males at the time of PCI (68.9 vs. 65.8, p<0.001), more likely to have stage ≥3 CKD (30.3% vs. 23.9%, p<0.001), and had shorter target lesion lengths (mean 24.6mm ± 18.3 vs 28.1mm ± 20.5, p<0.001). PPMI was less common among females than males (14.1% vs. 17.7%, p<0.001). Among females, older age, longer lesion length, multivessel PCI, severe vessel calcification, and thrombectomy device use were independently associated with higher post-PCI CKMB concentrations. Among males, older age, longer lesion length, vessel calcification, and atherectomy device use were associated with higher post-PCI CKMB concentrations. Over 4.3 year mean follow-up, 131 (4.9%) females and 341 (4.2%) males died. Males with PPMI had a greater risk of long-term death than males without PPMI (p<0.001) (Figure 1), while in females PPMI was associated with a trend towards excess mortality that did not reach statistical significance (p=0.064). No significant sex interaction was observed in the association between PPMI and mortality (p=0.38).
Conclusions: In this large, single-center experience, female patients had less extensive coronary artery disease and were less likely to develop PPMI than males. Myocardial injury was associated with higher long-term mortality overall and among males with no significant interactions between sex and mortality.
  • Graves, Claire  ( NYU , New York , New York , United States )
  • Feit, Frederick  ( NYU Langone Health , New York , New York , United States )
  • Slater, James  ( NYU Langone Health , New York , New York , United States )
  • Smilowitz, Nathaniel  ( NYU Langone Health , New York , New York , United States )
  • Talmor, Nina  ( NYU Langone Health , New York , New York , United States )
  • Kozloff, Sam  ( NYU Langone Health , New York , New York , United States )
  • Major, Vincent  ( NYU Langone Health , New York , New York , United States )
  • Shah, Binita  ( NYU Langone Health , New York , New York , United States )
  • Babaev, Anvar  ( NYU Langone Health , New York , New York , United States )
  • Razzouk, Louai  ( NYU Langone Health , New York , New York , United States )
  • Attubato, Michael  ( NYU Langone Health , New York , New York , United States )
  • Rao, Sunil  ( NYU Langone Health System , New York , North Carolina , United States )
  • Author Disclosures:
    Claire Graves: DO NOT have relevant financial relationships | Frederick Feit: No Answer | James Slater: No Answer | Nathaniel Smilowitz: DO have relevant financial relationships ; Consultant:Abbott Vascular:Active (exists now) ; Consultant:AngioInsight:Active (exists now) ; Consultant:Boston Scientific:Active (exists now) | Nina Talmor: No Answer | Sam Kozloff: No Answer | Vincent Major: DO NOT have relevant financial relationships | Binita Shah: DO have relevant financial relationships ; Researcher:Novo Nordisk:Active (exists now) ; Advisor:Philips Volcano:Active (exists now) | Anvar Babaev: No Answer | Louai Razzouk: No Answer | Michael Attubato: DO NOT have relevant financial relationships | Sunil Rao: DO NOT have relevant financial relationships
Meeting Info:

Scientific Sessions 2024

2024

Chicago, Illinois

Session Info:

Ischemic Heart Disease and Women

Saturday, 11/16/2024 , 09:30AM - 10:55AM

Moderated Digital Poster Session

More abstracts on this topic:
Shifting Trends in Type 1 and Type 2 Myocardial Infarction Diagnoses and Mortality: A National Inpatient Sample Analysis

Puchongmart Chanokporn, Soliman Dina, Ashour Firas, Juarez Michel, Lorlowhakarn Koravich, Thiravetyan Ben, Yanpiset Panat, Sly Zhaunn, Leelaviwat Natnicha, Cruz Diego, Danpanichkul Pojsakorn, Castillo Rodriguez Cristian Alejandro

Clinical Relevance of FFR-guided PCI According to Left Ventricular Systolic Function in Patients with Acute Myocardial Infarction and Multivessel Disease

Lee Yong-kyu, Hahn Joo-yong, Kim Hyun Kuk, Park Keun Ho, Choo Eun Ho, Kim Chan Joon, Ahn Gyun, Doh Joon-hyung, Lee Sang Yeub, Park Sang Don, Lee Hyun-jong, Lee Seung Hun, Kang Min Gyu, Nam Chang-wook, Choi Ki Hong, Park Taek Kyu, Yang Jeong Hoon, Song Young Bin, Choi Seung-hyuk, Kim Ju Han, Ahn Youngkeun, Jeong Myung Ho, Kim Hangyul, Gwon Hyeon-cheol, Koh Jin-sin, Hong Young Joon, Ahn Joon Ho, Cho Kyung Hoon, Kim Min Chul, Sim Doo Sun, Lee Joo Myung, Hong David

More abstracts from these authors:
Ischemic ECG Changes Among Patients With Post-PCI Myocardial Injury Are Not Associated With Increased Long-Term All-Cause Mortality

Chakraborty Ashish, Razzouk Louai, Rao Sunil, Attubato Michael, Feit Frederick, Slater James, Smilowitz Nathaniel, Laraja Alexander, Talmor Nina, Graves Claire, Kozloff Samuel, Major Vincent, Xia Yuhe, Shah Binita, Babaev Anvar

Discussion: Next Directions in Interventional Science

Shah Binita

You have to be authorized to contact abstract author. Please, Login
Not Available