Logo

American Heart Association

  158
  0


Final ID: MDP968

Effect of sodium-glucose co-transporter 2 inhibitors on clinical outcomes in hypertrophic cardiomyopathy

Abstract Body (Do not enter title and authors here): Background:
Sodium-glucose co-transporter 2 inhibitors (SGLT2i) have demonstrated clinical benefits in heart failure patients, irrespective of their left ventricular ejection fraction. However, their impact on hypertrophic cardiomyopathy (HCM) remains uncertain.

Research Questions:
We aimed to investigate the relationship between SGLT2i usage and clinical outcomes among real-world HCM patients.

Methods:
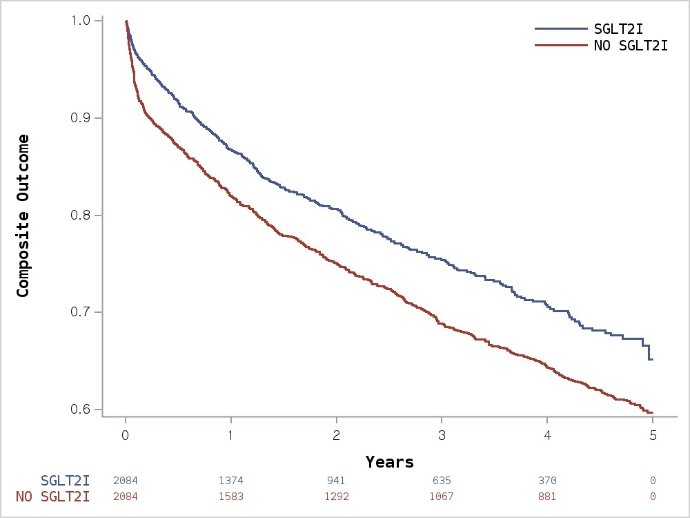
This study involved patients with HCM, utilizing data from the Korean National Health Insurance Service (2018-2022). After propensity matching, we compared 2,084 HCM patients who received SGLT2i with an equal number who did not. The primary outcome assessed was a composite of all-cause death and hospitalization due to heart failure.

Results:
The use of SGLT2i significantly decreased the risk of the primary outcome (hazard ratio [HR] 0.762, 95% confidence interval [CI] 0.676-0.860, p < 0.001, Figure 1). Specifically, SGLT2i use was associated with reduced all-cause mortality (HR 0.491, 95% CI 0.404-0.596, p < 0.001) and fewer hospitalizations due to heart failure (HR 0.865, 95% CI 0.758-0.987, p =0.031). Additionally, SGLT2i use was linked to a decreased incidence of sudden cardiac death (HR 0.629, 95% CI 0.416-0.951, p = 0.028).

Conclusion:
The utilization of SGLT2i was correlated with a decreased risk of all-cause mortality and hospitalization due to heart failure among HCM patients in real-world settings.
  • Jung, Mi-hyang  ( The Catholic University of Korea , Seoul , Korea (the Republic of) )
  • Cho, Jung  ( The Catholic University of Korea , Seoul , Korea (the Republic of) )
  • Ahn, Yuran  ( The Catholic University of Korea , Seoul , Korea (the Republic of) )
  • An, Sang Joon  ( Catholic Kwandong University , Incheon Metropolitan C , Korea (the Republic of) )
  • Kim, Eui-soon  ( The Catholic University of Korea , Seoul , Korea (the Republic of) )
  • Author Disclosures:
    Mi-Hyang Jung: DO NOT have relevant financial relationships | Jung Cho: DO NOT have relevant financial relationships | Yuran Ahn: DO NOT have relevant financial relationships | Sang Joon An: No Answer | Eui-Soon Kim: No Answer
Meeting Info:

Scientific Sessions 2024

2024

Chicago, Illinois

Session Info:

Advances in Identification and Management of Hypertrophic Cardiomyopathy

Sunday, 11/17/2024 , 09:30AM - 10:45AM

Moderated Digital Poster Session

More abstracts on this topic:
A Multicenter Friedreich Ataxia Registry Identifies Posterior Wall Thickness as a Predictor of Major Adverse Cardiac Events

Lin Kimberly, Johnson Jonathan, Mccormack Shana, Lynch David, Tate Barbara, Feng Yixuan, Huang Jing, Mercer-rosa Laura, Dedio Anna, Mcsweeney Kara, Fournier Anne, Yoon Grace, Payne Ronald, Cripe Linda, Patel Aarti, Niaz Talha

A Precision Medicine Approach to Predicting Pathogenicity and Disease Penetrance Among Variants in Hypertrophic Cardiomyopathy-Associated Genes at a Population Level

Wolfe Rachel, Chahal Anwar, Landstrom Andrew, Kurzlechner Leonie, Monaco Gabrielle, Yadav Kanishk, Gurumoorthi Manasa, Sharaf Dabbagh Ghaith, Shah Ravi, Williams Trevor, Facio Flavia

More abstracts from these authors:
You have to be authorized to contact abstract author. Please, Login
Not Available