Logo

American Heart Association

  115
  0


Final ID: LBP52

The contribution of morbidity clusters in late life to stroke incidence and severity: The Atherosclerosis Risk in Communities (ARIC) study

Abstract Body: Objective: Vascular risk factors significantly increase the risk of stroke, but it is unclear how to best assess the overall morbidity burden. In our previous work, a cluster analysis successfully grouped individuals into clusters based on similar clinical profiles in midlife and showed differences in 30-year stroke outcomes across clusters. The current study explores whether clinically meaningful clusters of morbidities can also be derived in older age, when morbidity burden is overall higher, and whether clusters based on late-life risk factors predict stroke incidence and severity.
Methods: Participants seen at visit 5 of the ARIC study (2011-2013; N= 6218, median age 75, 59% female, 23% Black) without prevalent stroke were included. Employing an unsupervised agglomerative hierarchical clustering approach, participants were allocated into clusters based on late-life clinical information and they were followed for incident stroke through 2020. Standard criteria were used to assign defining features to each cluster. The association between the clusters and overall ischemic stroke incidence (and with ischemic stroke incidence stratified by stroke severity (minor-mild stroke: NIHSS≤5; moderate-severe stroke: NIHSS>5), was assessed using a Cox regression model with Firth bias correction, adjusted for age, sex, education, and race-center.
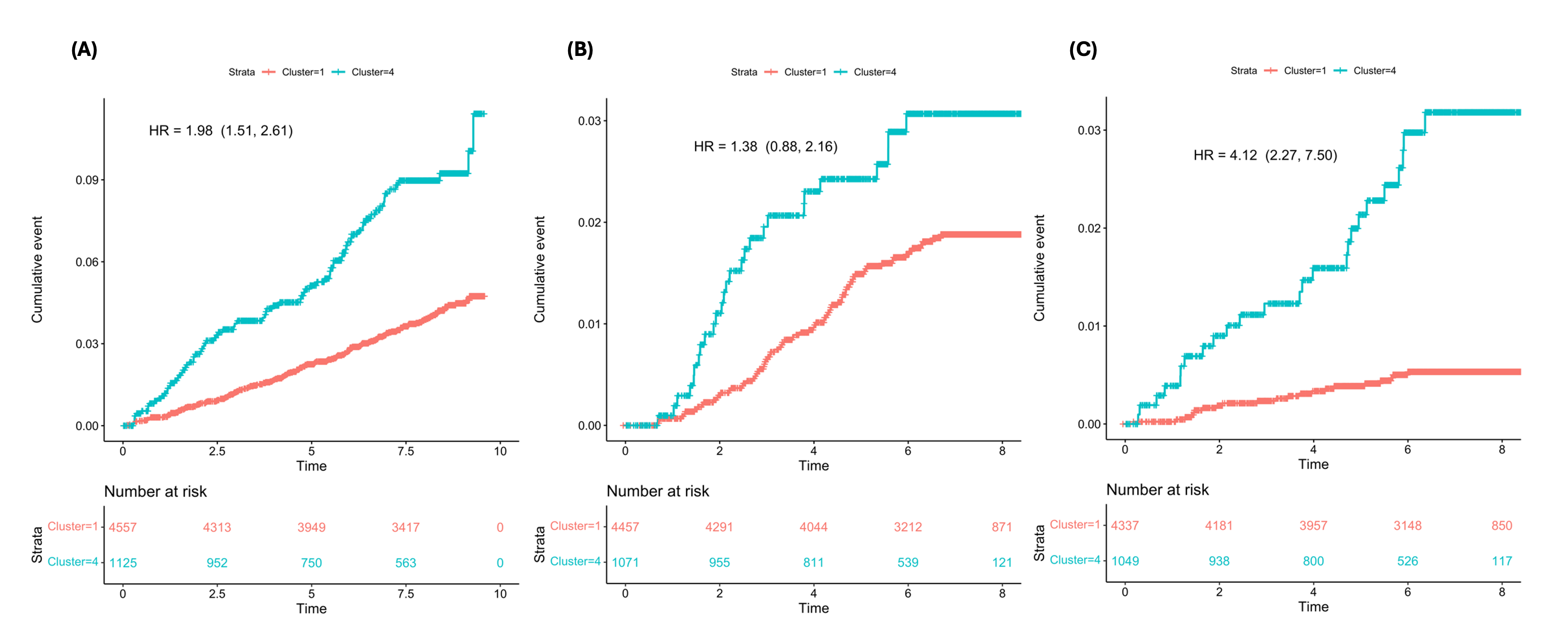
Results: Of the 275 incident ischemic strokes diagnosed between visit 5 and 2020, 159 had NIHSS grading. Four late-life clusters were identified, with the following defining features: cluster 1 (relatively healthy); cluster 2 (smoking); cluster 3 (cancer); cluster 4 (heart failure, coronary heart disease, diabetes, atrial fibrillation, peripheral artery disease, renal dysfunction, and late-life depression). Due to a very low stroke incidence, cluster 2 (N= 15) and 3 (N= 5) were excluded from the time-to event analysis (Figure 1). Individuals in cluster 4 compared to cluster 1 had a significantly greater stroke risk (HR(95%CI)= 1.98 (1.51, 2.61)) (Figure 2). The association of cluster 4 vs. cluster 1 remained significant for moderate-severe stroke (vs. no stroke) (HR(95%CI)= 4.12 (2.27, 7.50)), but not for minor-mild stroke (vs. no stroke) (HR(95%CI)= 1.38 (0.88, 2.16)).
Conclusion: Morbidity clusters in late life can be used to predict stroke incidence and severity. Cluster analysis is a valuable approach to capture morbidity and stroke-related disability in late-life.
  • Egle, Marco  ( NINDS , Bethesda , Maryland , United States )
  • Groechel, Renee  ( NINDS , Bethesda , Maryland , United States )
  • Johansen, Michelle  ( JOHNS HOPKINS HOSPITAL , Baltimore , Maryland , United States )
  • Kucharska-newton, Anna  ( UNIVERSITY NORTH CAROLINA , Chapel Hill , North Carolina , United States )
  • Gottesman, Rebecca  ( NINDS , Bethesda , Maryland , United States )
  • Koton, Silvia  ( TEL AVIV UNIVERSITY , Tel Aviv , Israel )
  • Author Disclosures:
    Marco Egle: DO NOT have relevant financial relationships | Renee Groechel: DO NOT have relevant financial relationships | Michelle Johansen: DO NOT have relevant financial relationships | Anna Kucharska-Newton: DO NOT have relevant financial relationships | Rebecca Gottesman: DO NOT have relevant financial relationships | Silvia Koton: DO NOT have relevant financial relationships
Meeting Info:
Session Info:

Late-Breaking Science Posters

Wednesday, 02/05/2025 , 07:00PM - 07:30PM

Poster Abstract Session

More abstracts on this topic:
10-Year Trends in Last Known Well to Arrival Time in Acute Ischemic Stroke Patients: 2014-2023

Ferrone Nicholas, Sanmartin Maria, O'hara Joseph, Jimenez Jean, Ferrone Sophia, Wang Jason, Katz Jeffrey, Sanelli Pina

Impact of Midlife Physical Activity on Multimorbidity in a Rural Setting: Insights from the Bogalusa Heart Study

Fonseca Lomeli Vanessa, Moukaled Shirine, Sivebukola Iyinope, Fernandez Camilo, Hwang Phillip, Newton Robert, De Anda-duran Ileana, Bazzano Lydia

More abstracts from these authors:
Association between Age and the Change in Cognition after Stroke- A Pooled Cohort Analysis of ARIC, REGARDS, and FOS

Springer Mellanie, Gottesman Rebecca, Hayward Rodney, Howard Virginia, Koton Silvia, Lazar Ronald, Sussman Jeremy, Ye Wen, Levine Deborah, Chen Bingxin, Whitney Rachael, Briceno Emily, Gross Alden, Aparicio Hugo, Beiser Alexa, Burke James, Giordani Bruno

The Association between Cerebral Microbleed Patterns and Incident Dementia: The ARIC-Neurocognitive Study

Vuong Richard, Schneider Andrea, Gottesman Rebecca, Morrill Valerie, Graff-radford Jonathan, Knopman David, Mosley Thomas, Johansen Michelle, Walker Keenan, Jack Clifford, Pike James

You have to be authorized to contact abstract author. Please, Login
Not Available

Readers' Comments

We encourage you to enter the discussion by posting your comments and questions below.

Presenters will be notified of your post so that they can respond as appropriate.

This discussion platform is provided to foster engagement, and simulate conversation and knowledge sharing.

 

You have to be authorized to post a comment. Please, Login or Signup.


   Rate this abstract  (Maximum characters: 500)