Logo

American Heart Association

  237
  0


Final ID: DP55

Recurrent Stroke in Patients with Cryptogenic Stroke and Left Ventricular Injury: The Cardiac Abnormalities in Stroke Prevention and Recurrence (CASPR) study

Abstract Body: Background: Left ventricular (LV) injury is a cardioembolic etiology of ischemic stroke. We aimed to 1) evaluate recurrent stroke risk among patients with cryptogenic stroke and LV injury, and 2) determine if there is a treatment effect with anticoagulation in this population.
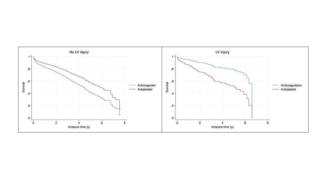
Methods: We analyzed the multicenter, retrospective Cardiac Abnormalities in Stroke Prevention and Recurrence cohort of patients with cryptogenic ischemic stroke. The exposure was LV injury defined by 1) LV ejection fraction (EF) 20-40% and/or 2) LV wall motion abnormality (hypokinesis or akinesis). The primary composite outcome included recurrent stroke, major bleeding, or death. Cox proportional hazard models were built and sequentially adjusted for 1) age and sex (Model 1), and 2) age, sex, race, ethnicity, anti-thrombotic use, and vascular risk factors (Model 2). We then assessed if there was heterogeneity in treatment effect by LV injury status with an interaction term of LV injury and oral anticoagulation use in Model 2.
Results: Of 2,641 patients in CASPR, the analytic cohort included 2,191 patients with complete exposure and outcome data (median age 65 years, 49.8% female, median follow-up 1.55 years). There were 113 (5.2%) patients with LV injury (median LVEF 30%, interquartile range 25-34%). There were 559 incident events (321 recurrent strokes [288 ischemic], 71 major hemorrhages, 250 deaths). Among patients with LV injury, 15.9% were prescribed an anticoagulant within 7 days of index stroke (vs 9.6% without LV injury, p=0.03). The unadjusted risk of the primary outcome was non-significantly higher among patients with LV injury vs without (HR 1.40; 95% confidence interval [CI], 0.98-2.00), but became significant in Model 1 (HR 1.50; 95% CI, 1.21-1.85) and in Model 2 (HR 1.35, 95% CI, 1.11-1.64). In the LV injury subgroup, anticoagulation vs antiplatelet therapy was associated with a significant reduction in the primary outcome (HR 0.63, 95% CI, 0.43-0.94). In patients without LV injury, anticoagulation was associated with a higher risk of the composite outcome (HR 4.35, 95% CI, 1.69-11.16, p[interaction]=0.002).
Conclusion: In this observational study, there was an increased risk of the primary outcome which included recurrent stroke among patients with cryptogenic stroke and LV injury. Anticoagulation use in LV injury is associated with a significant reduction in the risk of the primary outcome. These findings warrant confirmation in a dedicated randomized controlled trial.
  • Sharma, Richa  ( Yale School of Medicine , Hamden , Connecticut , United States )
  • Nahab, Fadi  ( EMORY UNIVERSITY , Atlanta , Georgia , United States )
  • Krishnaiah, Balaji  ( University of Tennessee Health Science Center , Memphis , Tennessee , United States )
  • Yaghi, Shadi  ( Brown University , Providence , Rhode Island , United States )
  • Khasiyev, Farid  ( Columbia University Medical Center , New York , New York , United States )
  • Lineback, Christina  ( Christina Lineback , Brighton , Michigan , United States )
  • Culbertson, Collin  ( Lahey Hospital and Medical Center , Burlington , Massachusetts , United States )
  • Sathya, Anvitha  ( Boston University , Boston , Massachusetts , United States )
  • Thompson, Sean  ( Emory University , Johns Creek , Georgia , United States )
  • Jillella, Dinesh  ( Emory University , Johns Creek , Georgia , United States )
  • Ro, Jennifer  ( EMORY UNIVERSITY , Atlanta , Georgia , United States )
  • Siegler, James  ( University of Chicago , Chicago , Illinois , United States )
  • Aziz, Yasmin  ( University of Cincinnati , Cincinnati , Ohio , United States )
  • Alvi, Muhammad  ( West Virginia University , Morgantown , West Virginia , United States )
  • Herpich, Franziska  ( ChristianaCare , Newark , Delaware , United States )
  • Shahrivari, Mahan  ( University of Texas McGovern School of Medicine , Houston , Texas , United States )
  • Elangovan, Cheran  ( University of Tennessee Health Science Center , Memphis , Tennessee , United States )
  • Kang, Jieun  ( Vanderbilt University Medical Center , Nashville , Tennessee , United States )
  • Zha, Alicia  ( The Ohio State University , Columbus , Ohio , United States )
  • Farooqui, Mudassir  ( University of Iowa , Iowa City , Iowa , United States )
  • Rothstein, Aaron  ( University of Pennsylvania Perelman School of Medicine , Philadelphia , Pennsylvania , United States )
  • Khan, Farhan  ( Brown University , Providence , Rhode Island , United States )
  • Bowman, Anna  ( University of Colorado School of Medicine , Denver , Colorado , United States )
  • Smith, Matthew  ( The University of Chicago , Chicago , Illinois , United States )
  • Brown, Samantha  ( Mayo Clinic Alix School of Medicine, Phoenix, AZ , Phoenix , Arizona , United States )
  • Sarkar, Monica  ( The Ohio State University , Columbus , Ohio , United States )
  • Abu Qdais, Ahmad  ( MUSC , Charleston , South Carolina , United States )
  • Liebeskind, David  ( UCLA , Los Angeles , California , United States )
  • Abburi, Nandini  ( Duke University , Durham , North Carolina , United States )
  • Rozental, Stefano  ( Dartmouth School of Medicine , Hanover , New Hampshire , United States )
  • Nedelcu, Simona  ( Massachusetts General-Brigham Hospital , Boston , Massachusetts , United States )
  • Nguyen, Thanh  ( Boston Medical Center , Boston , Massachusetts , United States )
  • Ali, Farman  ( West Virginia University , Morgantown , West Virginia , United States )
  • Van Coevering, Russell  ( University of Colorado School of Medicine , Denver , Colorado , United States )
  • Thon, Jesse  ( Cooper University Hospital , Camden , New Jersey , United States )
  • Stretz, Christoph  ( Brown University , East Greenwich , Rhode Island , United States )
  • Thottempudi, Neeharika  ( Carson Tahoe Health , Reno , Nevada , United States )
  • Salehi Omran, Setareh  ( University of Colorado Denver , Centennial , Colorado , United States )
  • De Havenon, Adam  ( Yale University , New Haven , Connecticut , United States )
  • Chen, Lucia  ( University of Colorado School of Medicine , Denver , Colorado , United States )
  • Penckofer, Mary  ( Cooper Medical School of Rowan Univ , Philadelphia , Pennsylvania , United States )
  • Singh, Eesha  ( Vanderbilt University Medical Cente , Nashville , Tennessee , United States )
  • Kerrigan, Deborah  ( Vanderbilt University Medical Cente , Nashville , Tennessee , United States )
  • Aboul-nour, Hassan  ( University of Kentucky , Lexington , Kentucky , United States )
  • Author Disclosures:
    Richa Sharma: DO NOT have relevant financial relationships | Fadi Nahab: DO NOT have relevant financial relationships | Balaji Krishnaiah: No Answer | Shadi Yaghi: DO NOT have relevant financial relationships | Farid Khasiyev: No Answer | Christina Lineback: DO NOT have relevant financial relationships | Collin Culbertson: DO NOT have relevant financial relationships | Anvitha Sathya: DO NOT have relevant financial relationships | Sean Thompson: DO NOT have relevant financial relationships | Dinesh Jillella: DO NOT have relevant financial relationships | Jennifer Ro: DO NOT have relevant financial relationships | James Siegler: DO have relevant financial relationships ; Research Funding (PI or named investigator):Viz.ai:Active (exists now) ; Research Funding (PI or named investigator):NIH:Active (exists now) ; Research Funding (PI or named investigator):Philips:Active (exists now) ; Research Funding (PI or named investigator):Medtronic:Active (exists now) | Yasmin Aziz: No Answer | Muhammad Alvi: DO NOT have relevant financial relationships | Franziska Herpich: No Answer | Mahan Shahrivari: No Answer | Cheran Elangovan: DO NOT have relevant financial relationships | Jieun Kang: DO NOT have relevant financial relationships | Alicia Zha: DO NOT have relevant financial relationships | Mudassir Farooqui: No Answer | Aaron Rothstein: DO NOT have relevant financial relationships | Farhan Khan: No Answer | Anna Bowman: No Answer | Matthew Smith: DO NOT have relevant financial relationships | Samantha Brown: DO NOT have relevant financial relationships | Monica Sarkar: No Answer | Ahmad Abu Qdais: DO NOT have relevant financial relationships | David Liebeskind: DO NOT have relevant financial relationships | Nandini Abburi: DO NOT have relevant financial relationships | Stefano Rozental: DO NOT have relevant financial relationships | Simona Nedelcu: No Answer | Thanh Nguyen: DO have relevant financial relationships ; Other (please indicate in the box next to the company name):American Stroke Association:Active (exists now) ; Advisor:Aruna Bio:Past (completed) ; Advisor:Brainomix:Active (exists now) | Farman Ali: No Answer | Russell Van Coevering: DO NOT have relevant financial relationships | Jesse Thon: DO NOT have relevant financial relationships | Christoph Stretz: DO have relevant financial relationships ; Other (please indicate in the box next to the company name):Massachusetts General Hospital/Boston Scientific:Past (completed) | Neeharika Thottempudi: DO NOT have relevant financial relationships | Setareh Salehi Omran: DO NOT have relevant financial relationships | Adam de Havenon: DO have relevant financial relationships ; Research Funding (PI or named investigator):NIH/NINDS:Active (exists now) ; Researcher:UptoDate:Active (exists now) ; Individual Stocks/Stock Options:Certus:Active (exists now) ; Individual Stocks/Stock Options:TitinKM:Active (exists now) ; Consultant:Novo Nordisk:Active (exists now) ; Research Funding (PI or named investigator):AAN:Active (exists now) | Lucia Chen: DO NOT have relevant financial relationships | Mary Penckofer: DO NOT have relevant financial relationships | Eesha Singh: No Answer | Deborah Kerrigan: DO NOT have relevant financial relationships | Hassan Aboul-Nour: DO NOT have relevant financial relationships
Meeting Info:
Session Info:

Risk Factors and Prevention Moderated Digital Posters II

Thursday, 02/06/2025 , 03:00PM - 03:30PM

Moderated Digital Poster Abstract Session

More abstracts on this topic:
A Novel Framework for End-Diastolic and End-Systolic Frame Localization in Contrast and Non-Contrast Echocardiography Without Manual Annotations

Patel Sahaj, Arora Garima, Kummaragunta Neeraj, Yerabolu Krishin, Shahid Abdulla, Baria Priyank, Li Cynthia, Vekariya Nehal, Pampana Akhil, Arora Pankaj

Accuracy of Rule-based Natural Language Processing Models for Identification of Pulmonary Embolism

Rashedi Sina, Jimenez David, Monreal Manuel, Secemsky Eric, Klok Erik, Hunsaker Andetta, Aghayev Ayaz, Muriel Alfonso, Hussain Mohamad, Appah-sampong Abena, Aneja Sanjay, Krishnathasan Darsiya, Mojibian Hamid, Goldhaber Samuel, Wang Liqin, Zhou Li, Krumholz Harlan, Piazza Gregory, Bikdeli Behnood, Khairani Candrika, Bejjani Antoine, Lo Ying-chih, Zarghami Mehrdad, Mahajan Shiwani, Caraballo Cesar, Jimenez Ceja Jose Victor

More abstracts from these authors:
Recurrent stroke in patients with incident cryptogenic stroke and underlying malignancy: A secondary analysis of the CASPR study

Eklund Kelsey, Yaghi Shadi, Khasiyev Farid, Lineback Christina, Culbertson Collin, Sharma Richa, Sathya Anvitha, Jillella Dinesh, Aziz Yasmin, Alvi Muhammad, Herpich Franziska, Siegler James, Shahrivari Mahan, Elangovan Cheran, Zha Alicia, Farooqui Mudassir, Rothstein Aaron, Khan Farhan, Brorson James, Brown Samantha, Abu Qdais Ahmad, Liebeskind David, Bowman Anna, Nedelcu Simona, Nguyen Thanh, Thon Jesse, Salehi Omran Setareh, Van Coevering Russell, Chen Lucia, Penckofer Mary, Kerrigan Deborah, Aboul-nour Hassan, Nahab Fadi

Anticoagulation versus antiplatelet for secondary prevention in embolic stroke of undetermined source: The Cardiac Abnormalities in Stroke Prevention and Risk of Recurrence Study

Siegler James, Aboul-nour Hassan, De Havenon Adam, Culbertson Collin, Melkumova Emiliya, Jillella Dinesh, Dumitrascu Oana, Doolittle Charles, Yahnke Ian, Sathya Anvitha, Brown Samantha, Penckofer Mary, Kang Jieun, Bowman Anna, Brorson James, Shahrivari Mahan, Elangovan Cheran, Sloane Kelly, Alvi Muhammad, Krishnaiah Balaji, Kam Wayneho, Farooqui Mudassir, Badillo Goicoechea Elena, Nahab Fadi, Rojas-soto Diana, Sharma Richa, Thottempudi Neeharika, Nedelcu Simona, Smith Matthew, Herpich Franziska, Glover Patrick, Chahien Dalia, Sehgal Siddharth, Eklund Kelsey, Liebeskind David, Linares Guillermo, Daniel Jean-philippe, Al Kasab Sami, Singh Eesha, D'souza Marissa, Gaudio Elizabeth, Aziz Yasmin, Yaghi Shadi, Salehi Omran Setareh, Stretz Christoph, Thon Jesse, Lineback Christina, Khasiyev Farid, Kerrigan Deborah, Ali Hamid

You have to be authorized to contact abstract author. Please, Login
Not Available

Readers' Comments

We encourage you to enter the discussion by posting your comments and questions below.

Presenters will be notified of your post so that they can respond as appropriate.

This discussion platform is provided to foster engagement, and simulate conversation and knowledge sharing.

 

You have to be authorized to post a comment. Please, Login or Signup.


   Rate this abstract  (Maximum characters: 500)