Logo

American Heart Association

  172
  0


Final ID: WP284

Recurrent stroke in patients with incident cryptogenic stroke and underlying malignancy: A secondary analysis of the CASPR study

Abstract Body: Introduction: Malignancy represents an important subgroup of embolic stroke of undetermined source (ESUS). We aim to compare infarct features, potential embolic sources, and long-term outcomes in ESUS patients with and without malignancy.

Methods: In this pre-specified secondary analysis of the Cardiac Abnormalities in Stroke Prevention and Recurrence (CASPR) retrospective cohort study, active cancers were identified by site investigators and adjudicated as malignant if they were non-squamous or non-basal cell skin cancers. We compared the prevalence of various potential embolic sources (e.g., patent foramen ovale, left ventricular dysfunction, post-stroke atrial fibrillation) among patients with and without malignancy. The risk of recurrent stroke, major bleeding, or death was evaluated using adjusted Cox proportional hazards models, accounting for age, sex, vascular risk factors, competing potential embolic sources, and initial treatment with anticoagulation versus non-anticoagulant (e.g., antiplatelet) regimen.

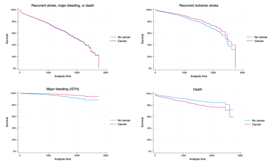
Results: Of the 2201 patients followed over a median of 564 days, 236 (10.7%) were diagnosed with cancer at the time of stroke. Patients with malignancy were older, more frequently hypertensive and did not differ with regards to prevalence of specific infarct patterns or potential cardiac embolic sources. No difference was observed in the composite outcome of recurrent stroke, major bleeding, or death (adjusted HR 1.02, 95% CI, 0.71-1.46). Age (adjusted HR per year 1.02, 95% CI, 1.01-1.03), baseline stroke severity (adjusted HR 1.03 per NIHSS point, 95% CI, 1.01-1.05), prior stroke (adjusted HR 1.68, 95% CI, 1.38-2.05), and multi-territorial infarct pattern (adjusted HR 1.67, 95% CI, 1.33-2.08) were significantly associated with this composite outcome, but anticoagulation was not. There was a nominally lower rate of major bleeding with malignancy (adjusted HR 0.45, 95% CI, 0.19-1.04), a significantly higher rate of death (adjusted HR 1.58, 95% CI, 1.09-2.30), but no significant difference in recurrent ischemic stroke (p=0.31).

Conclusions: Patients with malignancy and ESUS had higher mortality but did not differ in recurrent stroke risk or major bleeding when compared to patients without malignancy. Anticoagulation was not independently associated with better outcomes. Further analysis of infarct topology and risk factors may better identify patients for whom anticoagulation may benefit.
  • Eklund, Kelsey  ( University of Colorado , Aurora , Colorado , United States )
  • Siegler, James  ( University of Chicago , Chicago , Illinois , United States )
  • Bowman, Anna  ( University of Colorado , Aurora , Colorado , United States )
  • Van Coevering, Russell  ( University of Colorado , Aurora , Colorado , United States )
  • Chen, Lucia  ( University of Colorado , Aurora , Colorado , United States )
  • Penckofer, Mary  ( Cooper Medical School of Rowan Univ , Philadelphia , Pennsylvania , United States )
  • Kerrigan, Deborah  ( Vanderbilt University Medical Cente , Nashville , Tennessee , United States )
  • Aboul-nour, Hassan  ( University of Kentucky , Lexington , Kentucky , United States )
  • Nahab, Fadi  ( EMORY UNIVERSITY , Atlanta , Georgia , United States )
  • Yaghi, Shadi  ( Brown University , Providence , Rhode Island , United States )
  • Khasiyev, Farid  ( SLU School of Medicine , St. Louis , Montana , United States )
  • Lineback, Christina  ( University of Michigan , Ann Arbor , Michigan , United States )
  • Culbertson, Collin  ( Lahey Hospital and Medical Center , Burlington , Massachusetts , United States )
  • Sharma, Richa  ( Yale School of Medicine , Hamden , Connecticut , United States )
  • Sathya, Anvitha  ( Boston University , Boston , Massachusetts , United States )
  • Jillella, Dinesh  ( Emory University , Johns Creek , Georgia , United States )
  • Aziz, Yasmin  ( University of Cincinnati , Cincinnati , Ohio , United States )
  • Alvi, Muhammad  ( WEST VIRGINIA UNIVERSITY , Morgantown , West Virginia , United States )
  • Herpich, Franziska  ( Christiana Care , Philadelphia , Pennsylvania , United States )
  • Shahrivari, Mahan  ( University of Florida , Gainesville , Florida , United States )
  • Elangovan, Cheran  ( University of Tennessee Health Science Center , Memphis , Tennessee , United States )
  • Zha, Alicia  ( The Ohio State University , Columbus , Ohio , United States )
  • Farooqui, Mudassir  ( University of Iowa , Iowa City , Iowa , United States )
  • Rothstein, Aaron  ( University of Pennsylvania , Philadelphia , Pennsylvania , United States )
  • Khan, Farhan  ( Brown University , Providence , Rhode Island , United States )
  • Brorson, James  ( University of Chicago , Chicago , Illinois , United States )
  • Brown, Samantha  ( Mayo Clinic Alix School of Medicine, Phoenix, AZ , Phoenix , Arizona , United States )
  • Abu Qdais, Ahmad  ( Medical University of South Carolina , Charleston , South Carolina , United States )
  • Liebeskind, David  ( UCLA , Los Angeles , California , United States )
  • Nedelcu, Simona  ( Massachusetts General Hospital , Boston , Massachusetts , United States )
  • Nguyen, Thanh  ( Boston Medical Center , Boston , Massachusetts , United States )
  • Thon, Jesse  ( Cooper University Hospital , Camden , New Jersey , United States )
  • Salehi Omran, Setareh  ( University of Colorado Denver , Centennial , Colorado , United States )
  • Author Disclosures:
    Kelsey Eklund: DO NOT have relevant financial relationships | Shadi Yaghi: DO NOT have relevant financial relationships | Farid Khasiyev: No Answer | Christina Lineback: DO NOT have relevant financial relationships | Collin Culbertson: DO NOT have relevant financial relationships | Richa Sharma: DO NOT have relevant financial relationships | Anvitha Sathya: DO NOT have relevant financial relationships | Dinesh Jillella: DO NOT have relevant financial relationships | Yasmin Aziz: DO NOT have relevant financial relationships | Muhammad Alvi: DO NOT have relevant financial relationships | Franziska Herpich: DO NOT have relevant financial relationships | James Siegler: DO have relevant financial relationships ; Research Funding (PI or named investigator):Viz.ai:Active (exists now) ; Research Funding (PI or named investigator):NIH:Active (exists now) ; Research Funding (PI or named investigator):Philips:Active (exists now) ; Research Funding (PI or named investigator):Medtronic:Active (exists now) | Mahan Shahrivari: No Answer | Cheran Elangovan: DO NOT have relevant financial relationships | Alicia Zha: DO NOT have relevant financial relationships | Mudassir Farooqui: No Answer | Aaron Rothstein: DO NOT have relevant financial relationships | Farhan Khan: No Answer | James Brorson: DO NOT have relevant financial relationships | Samantha Brown: DO NOT have relevant financial relationships | Ahmad Abu Qdais: DO NOT have relevant financial relationships | David Liebeskind: DO NOT have relevant financial relationships | Anna Bowman: No Answer | Simona Nedelcu: No Answer | Thanh Nguyen: DO have relevant financial relationships ; Other (please indicate in the box next to the company name):American Stroke Association:Active (exists now) ; Advisor:Aruna Bio:Past (completed) ; Advisor:Brainomix:Active (exists now) | Jesse Thon: DO NOT have relevant financial relationships | Setareh Salehi Omran: DO NOT have relevant financial relationships | Russell Van Coevering: DO NOT have relevant financial relationships | Lucia Chen: DO NOT have relevant financial relationships | Mary Penckofer: DO NOT have relevant financial relationships | Deborah Kerrigan: DO NOT have relevant financial relationships | Hassan Aboul-Nour: DO NOT have relevant financial relationships | Fadi Nahab: DO NOT have relevant financial relationships
Meeting Info:
Session Info:

Risk Factors and Prevention Posters I

Wednesday, 02/05/2025 , 07:00PM - 07:30PM

Poster Abstract Session

More abstracts on this topic:
A Mast Cell-Specific Receptor Mediates Post-Stroke Brain Inflammation Via a Dural-Brain Axis

Kothari Ruchita, Caplan Justin, Gonzalez L. Fernando, Jackson Christopher, Bettegowda Chetan, Huang Judy, Koehler Raymond, Tamargo Rafael, Xu Risheng, Dong Xinzhong, Abdulrahim Mostafa, Oh Hyun Jong, Capuzzi Daniel, Nair Sumil, Zhang Yaowu, Limjunyawong Nathachit, Saini Sarbjit, Kim Jennifer

A distinct clot transcriptomic signature is associated with atrial fibrillation-derived ischemic stroke in the INSIGHT Registry

Seah Carina, Rivet Dennis, Fraser Justin, Kellner Christopher, Devarajan Alex, Vicari James, Dabney Alan, Baltan Selva, Sohrabji Farida, Pennypacker Keith, Nanda Ashish, Woodward Britton

More abstracts from these authors:
Recurrent Stroke in Patients with Cryptogenic Stroke and Left Ventricular Injury: The Cardiac Abnormalities in Stroke Prevention and Recurrence (CASPR) study

Sharma Richa, Nahab Fadi, Krishnaiah Balaji, Yaghi Shadi, Khasiyev Farid, Lineback Christina, Culbertson Collin, Sathya Anvitha, Thompson Sean, Jillella Dinesh, Ro Jennifer, Siegler James, Aziz Yasmin, Alvi Muhammad, Herpich Franziska, Shahrivari Mahan, Elangovan Cheran, Kang Jieun, Zha Alicia, Farooqui Mudassir, Rothstein Aaron, Khan Farhan, Bowman Anna, Smith Matthew, Brown Samantha, Sarkar Monica, Abu Qdais Ahmad, Liebeskind David, Abburi Nandini, Rozental Stefano, Nedelcu Simona, Nguyen Thanh, Ali Farman, Van Coevering Russell, Thon Jesse, Stretz Christoph, Thottempudi Neeharika, Salehi Omran Setareh, De Havenon Adam, Chen Lucia, Penckofer Mary, Singh Eesha, Kerrigan Deborah, Aboul-nour Hassan

Anticoagulation versus antiplatelet for secondary prevention in embolic stroke of undetermined source: The Cardiac Abnormalities in Stroke Prevention and Risk of Recurrence Study

Siegler James, Aboul-nour Hassan, De Havenon Adam, Culbertson Collin, Melkumova Emiliya, Jillella Dinesh, Dumitrascu Oana, Doolittle Charles, Yahnke Ian, Sathya Anvitha, Brown Samantha, Penckofer Mary, Kang Jieun, Bowman Anna, Brorson James, Shahrivari Mahan, Elangovan Cheran, Sloane Kelly, Alvi Muhammad, Krishnaiah Balaji, Kam Wayneho, Farooqui Mudassir, Badillo Goicoechea Elena, Nahab Fadi, Rojas-soto Diana, Sharma Richa, Thottempudi Neeharika, Nedelcu Simona, Smith Matthew, Herpich Franziska, Glover Patrick, Chahien Dalia, Sehgal Siddharth, Eklund Kelsey, Liebeskind David, Linares Guillermo, Daniel Jean-philippe, Al Kasab Sami, Singh Eesha, D'souza Marissa, Gaudio Elizabeth, Aziz Yasmin, Yaghi Shadi, Salehi Omran Setareh, Stretz Christoph, Thon Jesse, Lineback Christina, Khasiyev Farid, Kerrigan Deborah, Ali Hamid

You have to be authorized to contact abstract author. Please, Login
Not Available

Readers' Comments

We encourage you to enter the discussion by posting your comments and questions below.

Presenters will be notified of your post so that they can respond as appropriate.

This discussion platform is provided to foster engagement, and simulate conversation and knowledge sharing.

 

You have to be authorized to post a comment. Please, Login or Signup.


   Rate this abstract  (Maximum characters: 500)