Logo

American Heart Association

  161
  0


Final ID: TP146

Disparities in risk factors between Black and White adults aged 18-64 years hospitalized for acute ischemic stroke, United States 2016-2020

Abstract Body: Introduction: Differences in risk factors may contribute to disparities in stroke risk. This study examines differences in the prevalence of stroke risk factors between Black and White adults aged 18-34, 35-54, and 55-64 years hospitalized for acute ischemic stroke (AIS) between 2016 and 2020.

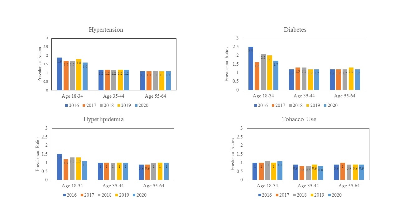
Methods: The study population consisted of AIS hospitalizations among adults aged 18-64 years from the 2016-2020 Nationwide Inpatient Sample of the Healthcare Cost and Utilization Project (HCUP, sample size: 691,645). AIS hospitalizations were identified based on a primary diagnosis of ICD 10 CM code I63, and risk factors (RFs) (hypertension, diabetes, hyperlipidemia, and tobacco use) were identified using secondary diagnoses codes. Prevalence ratios (PR) were calculated by dividing the prevalence among non-Hispanic Black adults (NHBA) by the prevalence among non-Hispanic White adults (NHWA).

Results: The prevalence of hypertension and diabetes were higher among NHBA than NHWA hospitalized with AIS across all age groups. In 2020, the prevalence of hypertension was higher among NHBA compared to NHWA aged 18-34 years (55.3% vs. 33.8%, PR: 1.6), 35-54 years (86.7% vs. 74.4%, PR: 1.2), and 55-64 years (92.5% vs. 82.6%, PR: 1.1). Similarly, the prevalence of diabetes was higher among NHBA compared to NHWA aged 18-34 years (25.6% vs. 15.2%, PR: 1.7), 35-54 years (47.5% vs. 39.2%, PR: 1.2), and 55-64 years (53.8% vs. 44.2%, PR: 1.2). During 2016-2020, the age group specific PRs comparing the annual prevalence of hypertension and diabetes were similar across the years, and in each year, PRs among those aged 18-34 years were consistently higher compared to those aged 35-54 and 55-64 years. For hyperlipidemia, PRs comparing NHBA and NHWA were not significant except among those aged 18-34 years in 2016 (26.8% vs. 18.1%, PR: 1.5). Tobacco use was lower among NHBA compared to NHWA only among those aged 35-54 years (2020: 39.3% vs. 45.9%, PR: 0.8) and this PR was similar across years.

Conclusions: Persistent disparities in the prevalence of hypertension and diabetes between NHWA and NHBA existed during 2016 and 2020, and disparities were more pronounced among adults aged 18-34 years. The findings highlight the importance of addressing stroke risk factors among NHBA.
  • Tong, Xin  ( CDC , Atlanta , Georgia , United States )
  • Carlson, Susan  ( CDC , Atlanta , Georgia , United States )
  • Yang, Quanhe  ( CDC , Atlanta , Georgia , United States )
  • Merritt, Robert  ( Centers for Disease Control , Atlanta , Georgia , United States )
  • Author Disclosures:
    Xin Tong: DO NOT have relevant financial relationships | Susan Carlson: DO NOT have relevant financial relationships | Quanhe Yang: DO NOT have relevant financial relationships | Robert Merritt: DO NOT have relevant financial relationships
Meeting Info:
Session Info:

Health Services, Quality Improvement, and Patient-Centered Outcomes Posters II

Thursday, 02/06/2025 , 07:00PM - 07:30PM

Poster Abstract Session

More abstracts on this topic:
A Multicenter, Prospective, Randomized Controlled Trial of Endovascular Treatment with or without Intravenous ThromBolysis in Acute Ischemic Stroke of Basilar Artery Occlusion (BEST-BAO): Study Protocol

Xiang Yang, Siddiqui Adnan, Yang Shu, Mocco J, Yu Nengwei, Schonewille Wouter, Guo Fuqiang

A First-in-Class Humanized Antibody Fragment Targeting Platelet Glycoprotein Ibα: A Comprehensive Preclinical Study of CA1001 for the Treatment of Acute Ischemic Stroke

Xu Xiaohong, Preeti Preeti, Yu Ruoying, Shaykhalishahi Hamed, Zhang Cheng, Shen Chuanbin, Li Bei, Tang Naping, Chang Yan, Xiang Qian, Cui Yimin, Lei Xi, Ni Heyu, Zhu Guangheng, Liu Zhenze, Hu Xudong, Slavkovic Sladjana, Neves Miguel, Ma Wenjing, Xie Huifang

More abstracts from these authors:
You have to be authorized to contact abstract author. Please, Login
Not Available

Readers' Comments

We encourage you to enter the discussion by posting your comments and questions below.

Presenters will be notified of your post so that they can respond as appropriate.

This discussion platform is provided to foster engagement, and simulate conversation and knowledge sharing.

 

You have to be authorized to post a comment. Please, Login or Signup.


   Rate this abstract  (Maximum characters: 500)