Logo

American Heart Association

  147
  0


Final ID: TMP37

Racial disparities in long-term survival after acute ischemic stroke among Medicare fee-for-service beneficiaries: Medicare cohort 2000-2022

Abstract Body: Introduction: Limited studies have examined racial disparities in long-term survival after acute ischemic stroke (AIS) with inconsistent findings. We examined these disparities among Medicare fee-for-service (FFS) beneficiaries in U.S.
Methods: We analyzed data on 1,997,487 Medicare FFS beneficiaries aged ≥65 years hospitalized with incident AIS (ICD-10 code I63) and survived >30 days from January 1, 2000 to December 31, 2017, and were followed-up until December 31, 2022. Cox proportional hazard models estimated the adjusted hazard ratio (aHR, 95% CI) and adjusted survival curves by race/ethnicity (non-Hispanic White (White), non-Hispanic Black (Black), Hispanic and Other). Models were adjusted for age, sex, and comorbidities.
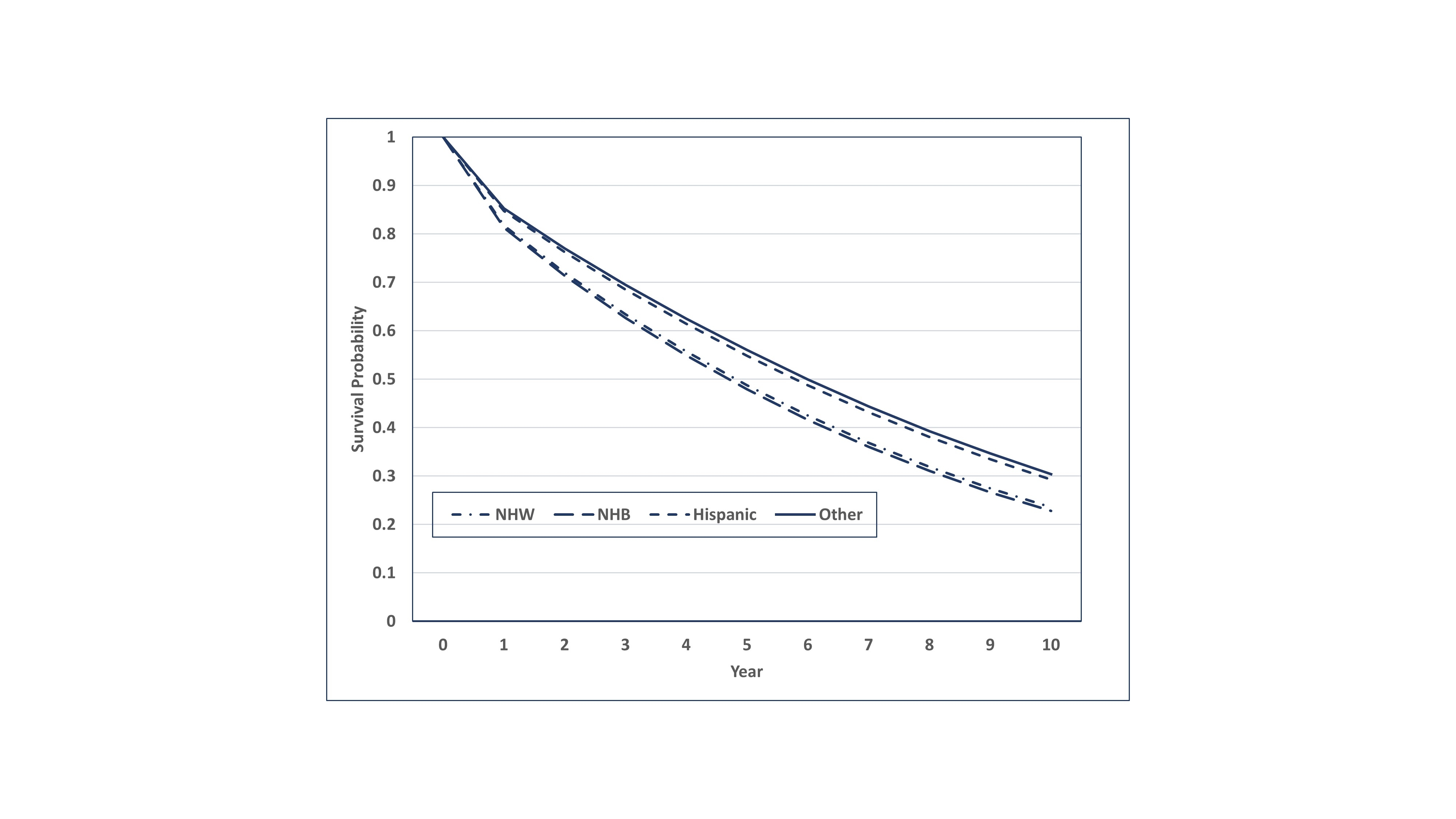
Results: The median age at AIS hospitalization was 78 years (IQR 72.0-84.0); 57.0% were women; 81.8%, 10.8%, 4.8% and 2.6% were White, Black, Hispanic and Other, respectively. Over a median follow-up of 4.9-years (IQR 1.7-8.8), there were 1,738,452 all-cause deaths. Adjusted 5-year survival after AIS improved from 2000-2004 to 2015-2017 for White (46.5% (95% CI 46.4-46.6) to 50.9% (50.7-51.1)), and Black (46.0% (45.8-46.3) to 48.9% (48.3-49.2)). For Hispanic and Other, survival remained largely unchanged: 54.4% (54.1-54.8) to 54.2% (53.6-54.8)) for Hispanic and 55.9% (55.4-56.4) to 54.7% (54.0-55.5) for Other. A clear pattern of long-term survival after AIS emerged by race/ethnicity showing similar survival between Hispanic and Other and between White and Black people (Figure). Stroke mortality risk was ~25% higher for White and Black compared to Hispanic and Other (aHR 1.25 (1.24-1.26)). This pattern was consistent across age groups and sex.
Conclusions: Long-term survival after AIS has improved for White and Black Medicare FFS beneficiaries over time, while it remained largely unchanged for Hispanic and Other groups. This indicates persistent racial disparities in stroke outcomes.
  • Yang, Quanhe  ( CDC , Atlanta , Georgia , United States )
  • Tong, Xin  ( CDC , Atlanta , Georgia , United States )
  • Merritt, Robert  ( CDC , Atlanta , Georgia , United States )
  • Author Disclosures:
    Quanhe Yang: DO NOT have relevant financial relationships | Xin Tong: DO NOT have relevant financial relationships | Robert Merritt: DO NOT have relevant financial relationships
Meeting Info:
Session Info:

Health Services, Quality Improvement, and Patient-Centered Outcomes Moderated Poster Tour II

Thursday, 02/06/2025 , 06:00PM - 07:00PM

Moderated Poster Abstract Session

More abstracts on this topic:
Artificial Intelligence-Enhanced Electrocardiographic Phenotyping Unveils Novel Lethal Cardiovascular & Sudden Death Risk Signatures in Traditionally Low Risk Populations

Barker Joseph, Syan Jasjit, Jenkins Alex, Ribeiro Antonio, Annis Jeffrey, Camelo Lidyane, Oliveira Clara, Paixao Gabriela, Brant Luisa, Ribeiro Antonio, Ge Junbo, Fathieh Sina, Kramer Daniel, Waks Jonathan, Brittain Evan, Peters Nicholas, Figtree Gemma, Khattak Gul Rukh, Sau Arunashis, Ng Fu Siong, Pastika Libor, Birdi Aidan, Zeidaabadi Boroumand, Patlatzoglou Konstantinos, Liang Yixiu, Aggour Hesham, El-medany Ahmed

Advanced Cardiac MRI Parameters Phenomapping to Predict Outcomes in Patients with Nonischemic Cardiomyopathy

Ammoury Carl, Tang Wai Hong, Wang Xiaofeng, Kwon Deborah, Wu Yanjun, Korkerdsup Theerawat, Wang Tom Kai Ming, Rizkallah Diane, Bodi Kashyap, Calcagno Tess, Chen David, Nguyen Christopher

More abstracts from these authors:
Associations Between Health-Related Social Needs and Cardiovascular Health Among US Adults

Zhang Zefeng, Jackson Sandra, Thompson-paul Angela, Yin Xiaoping, Merritt Robert, Coronado Fatima

Disparities in risk factors between Black and White adults aged 18-64 years hospitalized for acute ischemic stroke, United States 2016-2020

Tong Xin, Carlson Susan, Yang Quanhe, Merritt Robert

You have to be authorized to contact abstract author. Please, Login
Not Available

Readers' Comments

We encourage you to enter the discussion by posting your comments and questions below.

Presenters will be notified of your post so that they can respond as appropriate.

This discussion platform is provided to foster engagement, and simulate conversation and knowledge sharing.

 

You have to be authorized to post a comment. Please, Login or Signup.


   Rate this abstract  (Maximum characters: 500)