Logo

American Heart Association

  147
  0


Final ID: 140

Risk of Recurrent Ischemic Stroke Among Patients with Cryptogenic Stroke and Left Ventricular Ejection Fraction

Abstract Body: BACKGROUND: Nearly one-quarter of ischemic strokes (IS) in the U.S. are recurrent. We aimed to determine the risk of recurrent IS associated with reduced left ventricular ejection fraction (LVEF) in patients enrolled in the ARCADIA trial.

METHODS: We performed a post-hoc exploratory analysis in the ARCADIA trial, a phase III RCT of 1,015 cryptogenic stroke patients with atrial cardiopathy from February 2018 to February 2023. Those with LVEF <30% were not eligible. We dichotomized patients with LVEF into <50% and >50% and built adjusted Cox proportional hazard models to estimate the hazard ratio (HR) of recurrent IS within each LVEF strata by treatment strategy of apixaban versus aspirin. Significance of the interaction was assessed after adjustment for imbalanced covariates found among these groups.

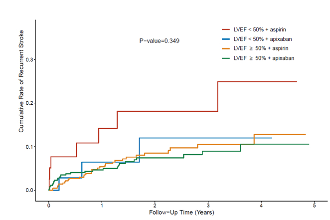
RESULTS: The analytic cohort comprised 963 participants, with LVEF <50% in 74 (7.7%) and ≥50% in 889 (92.3%). Participants with LVEF<50% compared to >50% were younger (65 vs 68 years, p=0.006), more likely male (63.5% vs 44.4%, p=0.002) and of non-White race (45.9% vs 23.8%, p<0.001), and to have coronary artery disease (25.7% vs 8.9%, p<0.001) and CHF (33.8% vs 4.7%, p<0.001), higher N-terminal pro-BNP (median 487 vs 292 pg/mL, p<0.001), larger left atrial diameter index (median 2.1 vs 1.9 cm, p<0.001), and lower LVEF (median 43% vs 62%, p<0.001); P-wave terminal force in V1 was similar. Recurrent IS occurred in 10 (13.5%) patients with LVEF <50% and 61 (6.9%) with LVEF ≥ 50%. The incidence rates of recurrent stroke per 100 person-years were 7.1 (95% CI, 3.8-13.3) with LVEF <50% and 3.9 (95% CI, 3.0-5.0) with LVEF ≥ 50%. In the adjusted analysis, the risk of recurrent stroke was significantly higher with LVEF <50% vs ≥50% (HR 2.23, 95% CI 1.03-4.83). There was no significant interaction between LVEF stratum and the treatment effect (p=0.35; Figure). The risk of recurrent stroke was nominally lower among patients randomized to apixaban than aspirin with LVEF <50% (HR 0.11, 95% C.I. 0.01-1.12), and EF>50% (HR 0.87, 95% C.I. 0.52-1.45) but did not reach statistical significance.

CONCLUSION: Recurrent stroke risk was higher among patients with LVEF <50% vs ≥50%. The risk of recurrent stroke was not different among patients randomized to apixaban compared to aspirin. Further study is needed to identify the optimal anti-thrombotic treatment for patients with cryptogenic stroke and left ventricular dysfunction.
  • Jillella, Dinesh  ( Emory University , Atlanta , Georgia , United States )
  • Merkler, Alexander  ( Weill Cornell Medicine , New York , New York , United States )
  • Nahab, Fadi  ( Emory University , Atlanta , Georgia , United States )
  • Sharma, Richa  ( Yale School of Medicine , Hamden , Connecticut , United States )
  • Zhang, Cenai  ( Weill Cornell Medicine , New York , New York , United States )
  • Elkind, Mitchell  ( COLUMBIA UNIVERSITY , New York , New York , United States )
  • Kamel, Hooman  ( Weill Cornell Medicine , New York , New York , United States )
  • Kronmal, Richard  ( University of Washington , Seattle , Washington , United States )
  • Longstreth, W  ( HARBORVIEW MEDICAL CENTER , Seattle , Washington , United States )
  • Tirschwell, David  ( HARBORVIEW MEDICAL CENTER , Seattle , Washington , United States )
  • Di Tullio, Marco  ( COLUMBIA PRESBYTERIAN MED CTR , New York , New York , United States )
  • Author Disclosures:
    Dinesh Jillella: DO NOT have relevant financial relationships | Alexander Merkler: No Answer | Fadi Nahab: DO NOT have relevant financial relationships | Richa Sharma: DO NOT have relevant financial relationships | Cenai Zhang: DO NOT have relevant financial relationships | Mitchell Elkind: DO have relevant financial relationships ; Research Funding (PI or named investigator):BMS-Pfizer Alliance for Eliquis:Past (completed) ; Employee:American Heart Association:Active (exists now) ; Advisor:Atria Academy of Science and Medicine:Active (exists now) ; Royalties/Patent Beneficiary:UpToDate:Past (completed) ; Research Funding (PI or named investigator):Roche:Past (completed) | Hooman Kamel: DO have relevant financial relationships ; Other (please indicate in the box next to the company name):Financial disclosures for Hooman Kamel: a PI role in the ARCADIA trial, which received in-kind study drug from the BMS-Pfizer Alliance for Eliquis and ancillary study support from Roche Diagnostics; a Deputy Editor role for JAMA Neurology; clinical trial steering/executive committee roles for the STROKE-AF (Medtronic), LIBREXIA-AF (Janssen), and LAAOS-4 (Boston Scientific) trials; consulting or endpoint adjudication committee roles for AbbVie, AstraZeneca, Boehringer Ingelheim, and Novo Nordisk; and household ownership interests in TETMedical, Spectrum Plastics Group, and Ascential Technologies.:Active (exists now) | Richard Kronmal: DO NOT have relevant financial relationships | W Longstreth: DO NOT have relevant financial relationships | David Tirschwell: DO have relevant financial relationships ; Consultant:AbbVie:Past (completed) ; Research Funding (PI or named investigator):Abbott:Active (exists now) | Marco Di Tullio: DO NOT have relevant financial relationships
Meeting Info:
Session Info:

Risk Factors and Prevention Oral Abstracts IV

Friday, 02/07/2025 , 07:30AM - 09:00AM

Oral Abstract Session

More abstracts on this topic:
A Meta-analysis of Folic Acid Supplementation Efficacy in Cardiovascular Diseases Prevention.

Calderon Martinez Ernesto, Camacho Davila Karen Fabiola, Pinto-colmenarez Rafael, Arruarana Victor, Arvelaez Pascucci Joanne, Castillo Jaqueline Livier, Alonso Ramirez Angie Carolina, Ghattas Patricia, Giron De Marza Maria, Sosaya Zuñiga Briggitte Solange, Martinez Lilan Jonathan David, Paredes Romero Enrique

1-Year Outcomes After Cardioversion With and Without Anticoagulation in Patients With Left Atrial Appendage Occlusion: A Propensity-Matched Analysis

Thangjui Sittinun, Trongtorsak Angkawipa, Kewcharoen Jakrin, Thyagaturu Harshith, Watson Hangyu, Mensah Samuel, Balla Sudarshan, Navaravong Leenhapong

More abstracts from these authors:
Risk of Recurrent Ischemic Stroke Among Patients with Cryptogenic Stroke and Left Ventricular Dysfunction Defined by Left Ventricular Fractional Shortening: A Secondary Analysis of the ARCADIA Trial

Sharma Richa, Merkler Alexander, Nahab Fadi, Jillella Dinesh, Zhang Cenai, Elkind Mitchell, Kamel Hooman, Di Tullio Marco, Kronmal Richard, Longstreth W, Tirschwell David

Infarct Topography, Effect of Anticoagulation, and Recurrence after Cryptogenic Stroke: A Subgroup Analysis of the ARCADIA Trial

Karunamuni Nilushi, Gologorsky Rachel, Longstreth W, Tirschwell David, Elkind Mitchell, Kamel Hooman

You have to be authorized to contact abstract author. Please, Login
Not Available

Readers' Comments

We encourage you to enter the discussion by posting your comments and questions below.

Presenters will be notified of your post so that they can respond as appropriate.

This discussion platform is provided to foster engagement, and simulate conversation and knowledge sharing.

 

You have to be authorized to post a comment. Please, Login or Signup.


   Rate this abstract  (Maximum characters: 500)