Logo

American Heart Association

  119
  0


Final ID: WP51

Non-Traumatic Intracranial Hemorrhage and Risk of Incident Dementia

Abstract Body: Introduction: To study the risk of incident dementia after a non-traumatic intracranial hemorrhage in a diverse US population, and evaluate if this risk is different among the subtypes of intracranial hemorrhage.

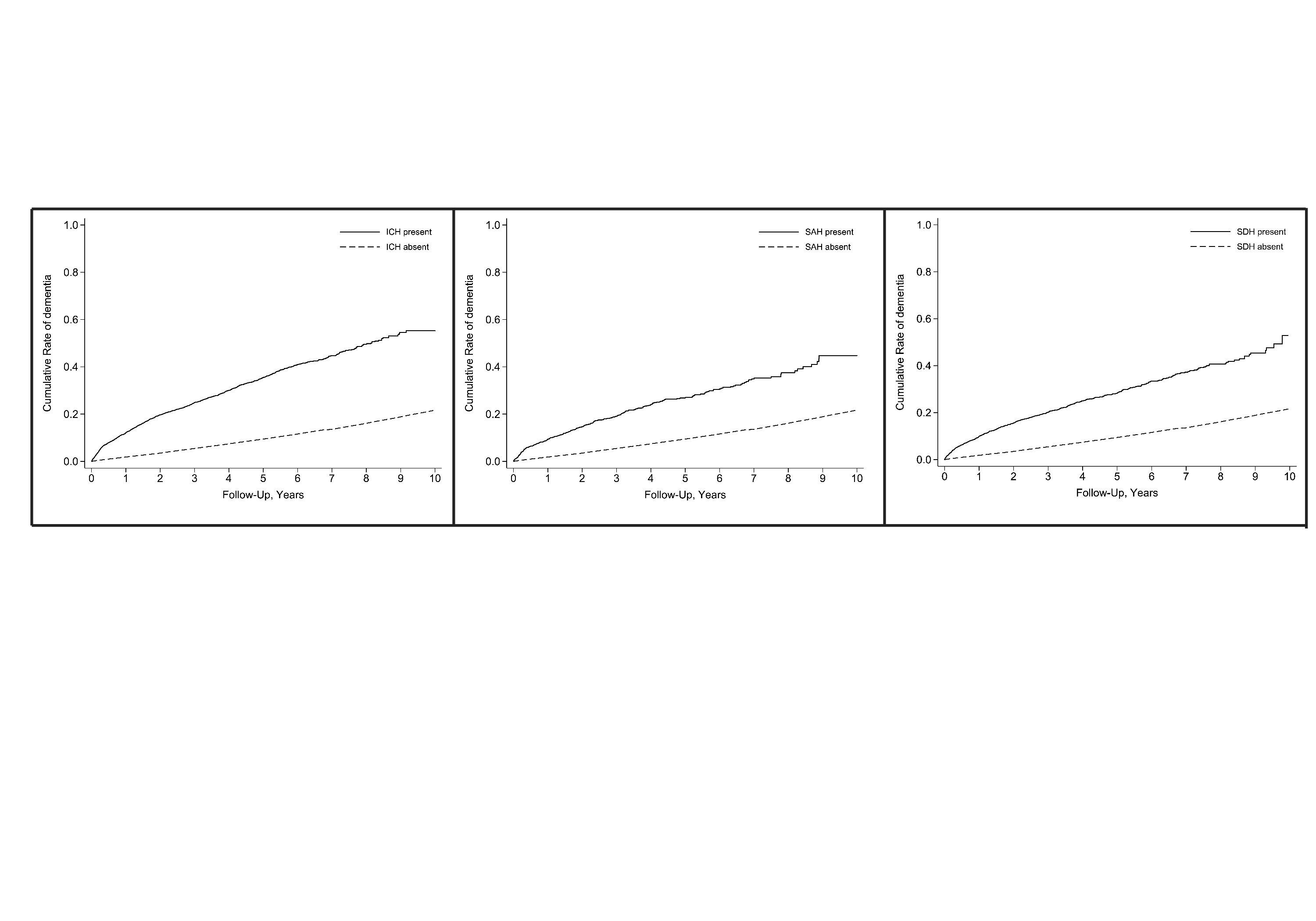
Methods: We performed a retrospective cohort study using both inpatient and outpatient claims data on Medicare beneficiaries between 2008 and 2018. The exposure was an incident diagnosis of non-traumatic intracranial hemorrhage, defined as a composite of intracerebral hemorrhage, subarachnoid hemorrhage, or subdural hemorrhage. The outcome was an incident diagnosis of dementia. The exposure and outcomes were identified using previously validated ICD-9 and ICD-10-CM diagnosis codes. In the primary analysis, we used Cox regression to study the risk of dementia after any intracranial hemorrhage, after adjusting for demographics and comorbidities. In secondary analyses, the risks of dementia in different subtypes of intracranial hemorrhage were studied.

Results: Among 2.1 million patients, 14,775 had a diagnosis of intracranial hemorrhage. During a median follow up of 5.6 years (IQR, 3.0-9.1), incident dementia was diagnosed in 2527 (17.1%) patients with an intracranial hemorrhage and 260,691 (12.8%) patients without. In adjusted Cox regression analysis, intracranial hemorrhage was associated with an increased risk of incident dementia (HR, 2.0; CI, 1.9-2.2). In secondary analyses, a higher risk of incident dementia was observed with intracerebral hemorrhage (HR, 2.4; CI, 2.2-2.5), subarachnoid hemorrhage (HR, 2.0; CI, 1.7-2.2), and subdural hemorrhage (HR, 1.6; CI, 1.4-1.7).

Conclusion: In a large, heterogeneous cohort of elderly US patients, we found that intracranial hemorrhage was independently associated with a 2-fold increased risk of incident dementia. This elevated risk was consistently observed across subtypes of intracranial hemorrhage.
  • Zhang, Cenai  ( WEILL CORNELL MEDICINE , New York , New York , United States )
  • Young, Kym  ( WEILL CORNELL MEDICINE , New York , New York , United States )
  • Bruce, Samuel  ( WEILL CORNELL MEDICINE , New York , New York , United States )
  • Merkler, Alexander  ( WEILL CORNELL MEDICINE , New York , New York , United States )
  • Kamel, Hooman  ( WEILL CORNELL MEDICINE , New York , New York , United States )
  • Murthy, Santosh  ( WEILL CORNELL MEDICINE , New York , New York , United States )
  • Author Disclosures:
    Cenai Zhang: DO NOT have relevant financial relationships | Kym Young: No Answer | Samuel Bruce: No Answer | Alexander Merkler: No Answer | Hooman Kamel: DO have relevant financial relationships ; Other (please indicate in the box next to the company name):Financial disclosures for Hooman Kamel: a PI role in the ARCADIA trial, which received in-kind study drug from the BMS-Pfizer Alliance for Eliquis and ancillary study support from Roche Diagnostics; a Deputy Editor role for JAMA Neurology; clinical trial steering/executive committee roles for the STROKE-AF (Medtronic), LIBREXIA-AF (Janssen), and LAAOS-4 (Boston Scientific) trials; consulting or endpoint adjudication committee roles for AbbVie, AstraZeneca, Boehringer Ingelheim, and Novo Nordisk; and household ownership interests in TETMedical, Spectrum Plastics Group, and Ascential Technologies.:Active (exists now) | Santosh Murthy: DO NOT have relevant financial relationships
Meeting Info:
Session Info:

Brain Health Posters I

Wednesday, 02/05/2025 , 07:00PM - 07:30PM

Poster Abstract Session

More abstracts on this topic:
Blinded Randomized trial of Anticoagulation to prevent Ischemic stroke and Neurocognitive impairment in Atrial Fibrillation

Rivard Lena, Lanthier Sylvain, Massoud Fadi, Nault Isabelle, Dorian Paul, Kouz Simon, Racine Normand, Roux Jean-francois, Greiss Isabelle, Mayrand Helene, Gosselin Gilbert, Khairy Paul, Verma Atul, Khaykin Yaariv, Parkash Ratika, Sandhu Roopinder K., Conen David, Brouillette Judith, Robillard Alain, Bocti Christian, Field Thalia, Pelletier Guy, Talajic Mario, Chayer Celine, Deschaintre Yan, Manlucu Jaimie, Roussin Andre, Macle Laurent, Mondesert Blandine, Dyrda Katia, Tadros Rafik, Guerra Peter, Thibault Bernard, Tardif Jean-claude, Cadrin-tourigny Julia, Dubuc Marc, Raymond-paquin Alexandre, Aguilar Martin, Essebag Vidal, Nozza Anna, Guertin Marie-claude, Tremblay-gravel Maxime, David Louis-philippe, Roy Denis, Healey Jeff, Bherer Louis, Black Sandra, Nattel Stanley, Andrade Jason

Atrial Fibrillation as a Causal Risk Factor for Dementia: Pooled Mendelian Randomization Analysis of 2.6 Million Individuals from Large-Scale Genome-wide Association Studies

Mondal Avilash, Kutalek Steven, Basnet Arjun, Chilingarashvili Giorgi, Li Aobo, Tripathi Devendra, Ashish Kumar, Haider Mobeen, Fagan James, Gupta Ashwani

More abstracts from these authors:
Cerebral Amyloid Angiopathy Prevalence and Associated Risk of Subsequent Ischemic and Hemorrhagic Stroke and Mortality in a Nationally Representative Sample

Bruce Samuel, Zhang Cenai, Liberman Ava, Merkler Alexander, Navi Babak, Chiang Gloria, Iadecola Costantino, Kamel Hooman, Murthy Santosh

Association between Cerebral Amyloid Angiopathy and Non-Traumatic Subdural Hemorrhage

Andres Wells, Bruce Samuel, Merkler Alexander, Iadecola Costantino, Chiang Gloria, Kamel Hooman, Zhang Cenai, Murthy Santosh

You have to be authorized to contact abstract author. Please, Login
Not Available

Readers' Comments

We encourage you to enter the discussion by posting your comments and questions below.

Presenters will be notified of your post so that they can respond as appropriate.

This discussion platform is provided to foster engagement, and simulate conversation and knowledge sharing.

 

You have to be authorized to post a comment. Please, Login or Signup.


   Rate this abstract  (Maximum characters: 500)