Logo

American Heart Association

  127
  0


Final ID: 139

Association between Cerebral Amyloid Angiopathy and Non-Traumatic Subdural Hemorrhage

Abstract Body: Introduction: Cerebral amyloid angiopathy (CAA) is a common cause of intracerebral hemorrhage in elderly patients. Whether CAA is associated with isolated subdural hemorrhage (SDH), without an accompanying intracerebral hemorrhage, remains unclear. We therefore tested this relationship in a large, heterogeneous sample of patients from across the US.

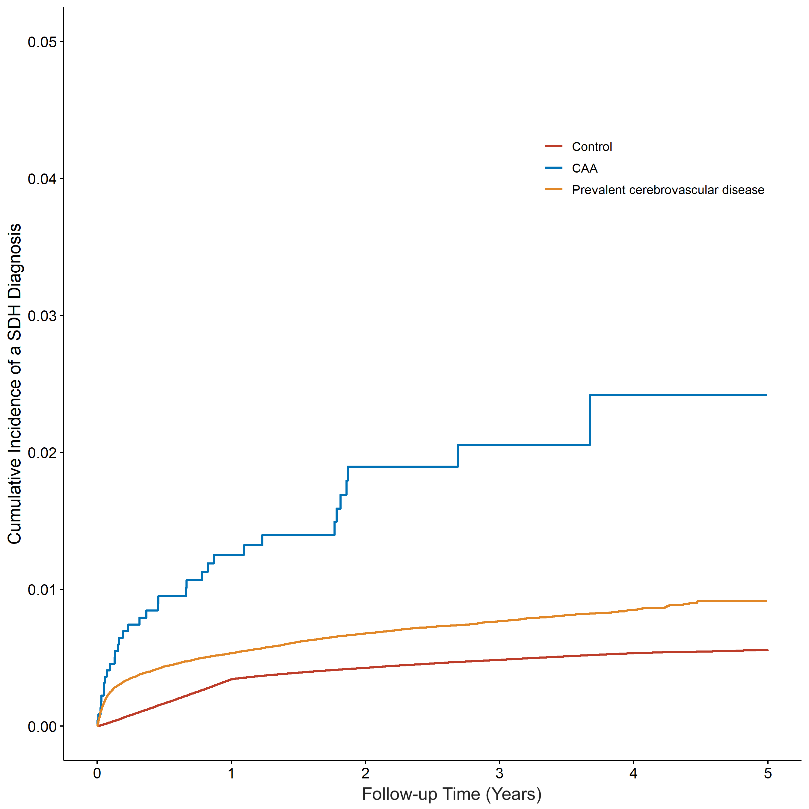
Methods: We performed a retrospective cohort study using administrative claims data from hospitalizations in 11 states in the US between 2016 and 2019. Our study population was all hospitalized patients 50 years of age and older, consistent with the Boston criteria v2.0 age cut-off for the diagnosis of CAA. We divided this population into 3 groups: (a) those with a diagnosis of CAA, (b) those with other cerebrovascular disease without CAA, and (c) those without CAA or other cerebrovascular disease. The main outcome was a first-documented, isolated, non-traumatic SDH; we did not count SDH cases with a concurrent traumatic brain injury. The exposures and outcome were identified using previously validated ICD-10-CM diagnosis codes. Using Cox regression analyses, we compared the risk of incident SDH among the three groups after adjustment for demographics and comorbidities. In pre-specified sensitivity analyses, patients with a diagnosis of dementia at baseline were excluded.

Results: Among 8.5 million hospitalized patients, 2,335 had CAA and 600,646 had other cerebrovascular disease. During a median follow up of 2.0 years (IQR, 1.0-3.9), incident SDH occurred in 34 (1.5%) patients with CAA, 3,552 with other cerebrovascular disease (0.6%), and 35,425 (0.4%) without CAA or other cerebrovascular disease. In adjusted Cox regression analysis, there was an increased risk of incident SDH seen for CAA (HR, 3.1; CI, 2.2-4.4) and prevalent cerebrovascular disease (HR, 1.4; CI, 1.3-1.5). Findings were similar in sensitivity analyses excluding patients with dementia.

Conclusion: In a large, heterogeneous cohort, we found that CAA was associated with a 3-fold heightened risk of SDH. This risk appeared higher than that seen in patients with prevalent cerebrovascular disease. These findings further add to emerging evidence that CAA is a novel risk factor for isolated non-traumatic SDH.
  • Andres, Wells  ( Weill Cornell Medical Center , New York , New York , United States )
  • Bruce, Samuel  ( Weill Cornell Medical Center , New York , New York , United States )
  • Merkler, Alexander  ( Weill Cornell Medical Center , New York , New York , United States )
  • Iadecola, Costantino  ( Weill Cornell Medical Center , New York , New York , United States )
  • Chiang, Gloria  ( Weill Cornell Medical Center , New York , New York , United States )
  • Kamel, Hooman  ( Weill Cornell Medical Center , New York , New York , United States )
  • Zhang, Cenai  ( Weill Cornell Medical Center , New York , New York , United States )
  • Murthy, Santosh  ( Weill Cornell Medical Center , New York , New York , United States )
  • Author Disclosures:
    Wells Andres: DO NOT have relevant financial relationships | Samuel Bruce: DO NOT have relevant financial relationships | Alexander Merkler: No Answer | Costantino Iadecola: DO NOT have relevant financial relationships | Gloria Chiang: DO have relevant financial relationships ; Consultant:Life Molecular Imaging:Active (exists now) ; Speaker:Peerview CME:Past (completed) ; Speaker:Efficient CME:Past (completed) ; Consultant:Minoryx:Active (exists now) | Hooman Kamel: DO have relevant financial relationships ; Other (please indicate in the box next to the company name):Financial disclosures for Hooman Kamel: a PI role in the ARCADIA trial, which received in-kind study drug from the BMS-Pfizer Alliance for Eliquis and ancillary study support from Roche Diagnostics; a Deputy Editor role for JAMA Neurology; clinical trial steering/executive committee roles for the STROKE-AF (Medtronic), LIBREXIA-AF (Janssen), and LAAOS-4 (Boston Scientific) trials; consulting or endpoint adjudication committee roles for AbbVie, AstraZeneca, Boehringer Ingelheim, and Novo Nordisk; and household ownership interests in TETMedical, Spectrum Plastics Group, and Ascential Technologies.:Active (exists now) | Cenai Zhang: DO NOT have relevant financial relationships | Santosh Murthy: DO NOT have relevant financial relationships
Meeting Info:
Session Info:

Risk Factors and Prevention Oral Abstracts IV

Friday, 02/07/2025 , 07:30AM - 09:00AM

Oral Abstract Session

More abstracts on this topic:
A Phase 2 Study Evaluating the Effects of Mivelsiran, an Investigational RNA Interference Therapeutic, on Hemorrhagic and Nonhemorrhagic Manifestations of Cerebral Amyloid Angiopathy

Greenberg Steven, Parikh Neal, Lee Jin-moo, Van Etten Ellis, Van Osch Matthias, Klijn Catharina, Sostelly Alexandre, Goteti Sasikiran, Sepehrband Farshid, Avbersek Andreja, Deering Robert

A Multicentre Study for Hands Only CPR (HOCPR) training assessment towards building a ‘Nation of Life Savers” in India

Ravikumar Thanjavur, Sarma Kvs, Ravikumar Thanjavur, Sarkar Manuj, Debnath Dhrubajyoti, Behera Priyamadhaba, Ghate Jayshri, Trikha Divay, Samantaray A, Madhavi K

More abstracts from these authors:
Alzheimer’s Disease and Risk of Intracranial Hemorrhage

Zhang Cenai, Bruce Samuel, Navi Babak, Murthy Santosh, Kamel Hooman

Cerebral Amyloid Angiopathy Prevalence and Associated Risk of Subsequent Ischemic and Hemorrhagic Stroke and Mortality in a Nationally Representative Sample

Bruce Samuel, Zhang Cenai, Liberman Ava, Merkler Alexander, Navi Babak, Chiang Gloria, Iadecola Costantino, Kamel Hooman, Murthy Santosh

You have to be authorized to contact abstract author. Please, Login
Not Available

Readers' Comments

We encourage you to enter the discussion by posting your comments and questions below.

Presenters will be notified of your post so that they can respond as appropriate.

This discussion platform is provided to foster engagement, and simulate conversation and knowledge sharing.

 

You have to be authorized to post a comment. Please, Login or Signup.


   Rate this abstract  (Maximum characters: 500)