Logo

American Heart Association

  296
  0


Final ID: WP229

Cerebral Amyloid Angiopathy Prevalence and Associated Risk of Subsequent Ischemic and Hemorrhagic Stroke and Mortality in a Nationally Representative Sample

Abstract Body: Introduction:
Cerebral amyloid angiopathy (CAA) is a significant cause of cerebrovascular disease and cognitive decline in elderly patients. There are limited population-based data regarding the prevalence of CAA and associated risks of mortality and incident cerebrovascular events.

Methods:
We performed a retrospective cohort study using inpatient and outpatient claims from 2008 to 2018 from a nationally representative 5% sample of Medicare beneficiaries. CAA and ischemic and hemorrhagic stroke were identified using previously validated ICD-10 codes. Mortality data was obtained from Medicare beneficiary files. We calculated prevalence of CAA during 2016-2018, and used Cox regression to examine the association of CAA with subsequent death and incident stroke after adjustment for demographics, vascular risk factors, and Charlson comorbidities.

Results:
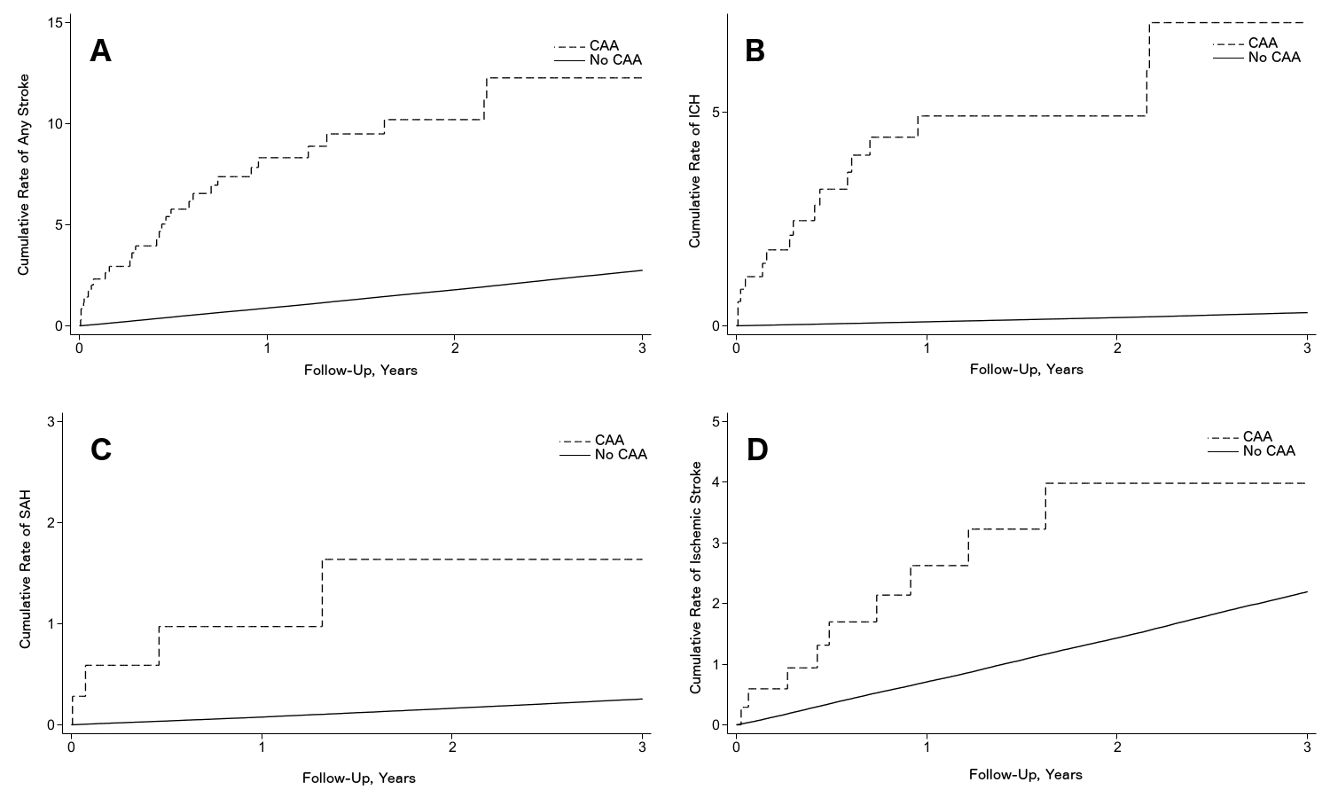
Among 1,487,851 Medicare beneficiaries in our sample, 913 (0.06%) had a diagnosis of CAA during 2016-2018. In multivariable Cox regression analysis, there was no association between CAA and subsequent mortality (adjusted hazard ratio [aHR], 1.2; 95% CI, 0.7-1.9). Among 1,455,257 patients without prevalent stroke, including 355 of the CAA patients, there was a significant association between CAA and subsequent increased risk of any stroke (aHR, 6.3; 95% CI, 4.4-9.1), ischemic stroke (aHR, 2.5; 95% CI, 1.3-4.7), intracerebral hemorrhage (aHR, 32.1; 95% CI, 19.6-52.4), and subarachnoid hemorrhage (aHR, 9.5; 95% CI, 3.6-25.4) [Figure 1].

Conclusions:
In a nationally representative cohort of Medicare beneficiaries, the prevalence of clinically diagnosed CAA was approximately 6 per 10,000. CAA was not associated with an increased risk of mortality but was associated with an increased risk of incident stroke, both hemorrhagic and ischemic.
  • Bruce, Samuel  ( Weill Cornell Medicine , New York , New York , United States )
  • Zhang, Cenai  ( Weill Cornell Medicine , New York , New York , United States )
  • Liberman, Ava  ( Weill Cornell Medicine , New York , New York , United States )
  • Merkler, Alexander  ( Weill Cornell Medicine , New York , New York , United States )
  • Navi, Babak  ( Weill Cornell Medicine , New York , New York , United States )
  • Chiang, Gloria  ( Weill Cornell Medicine , New York , New York , United States )
  • Iadecola, Costantino  ( Weill Cornell Medicine , New York , New York , United States )
  • Kamel, Hooman  ( Weill Cornell Medicine , New York , New York , United States )
  • Murthy, Santosh  ( Weill Cornell Medicine , New York , New York , United States )
  • Author Disclosures:
    Samuel Bruce: DO NOT have relevant financial relationships | Cenai Zhang: DO NOT have relevant financial relationships | Ava Liberman: No Answer | Alexander Merkler: No Answer | Babak Navi: DO NOT have relevant financial relationships | Gloria Chiang: DO have relevant financial relationships ; Consultant:Life Molecular Imaging:Active (exists now) ; Speaker:Peerview CME:Past (completed) ; Speaker:Efficient CME:Past (completed) ; Consultant:Minoryx:Active (exists now) | Costantino Iadecola: DO NOT have relevant financial relationships | Hooman Kamel: DO have relevant financial relationships ; Other (please indicate in the box next to the company name):Financial disclosures for Hooman Kamel: a PI role in the ARCADIA trial, which received in-kind study drug from the BMS-Pfizer Alliance for Eliquis and ancillary study support from Roche Diagnostics; a Deputy Editor role for JAMA Neurology; clinical trial steering/executive committee roles for the STROKE-AF (Medtronic), LIBREXIA-AF (Janssen), and LAAOS-4 (Boston Scientific) trials; consulting or endpoint adjudication committee roles for AbbVie, AstraZeneca, Boehringer Ingelheim, and Novo Nordisk; and household ownership interests in TETMedical, Spectrum Plastics Group, and Ascential Technologies.:Active (exists now) | Santosh Murthy: DO NOT have relevant financial relationships
Meeting Info:
Session Info:

Intracerebral Hemorrhage Posters I

Wednesday, 02/05/2025 , 07:00PM - 07:30PM

Poster Abstract Session

More abstracts on this topic:
A First-in-Class Humanized Antibody Fragment Targeting Platelet Glycoprotein Ibα: A Comprehensive Preclinical Study of CA1001 for the Treatment of Acute Ischemic Stroke

Xu Xiaohong, Preeti Preeti, Yu Ruoying, Shaykhalishahi Hamed, Zhang Cheng, Shen Chuanbin, Li Bei, Tang Naping, Chang Yan, Xiang Qian, Cui Yimin, Lei Xi, Ni Heyu, Zhu Guangheng, Liu Zhenze, Hu Xudong, Slavkovic Sladjana, Neves Miguel, Ma Wenjing, Xie Huifang

A Meta-analysis of Folic Acid Supplementation Efficacy in Cardiovascular Diseases Prevention.

Calderon Martinez Ernesto, Camacho Davila Karen Fabiola, Pinto-colmenarez Rafael, Arruarana Victor, Arvelaez Pascucci Joanne, Castillo Jaqueline Livier, Alonso Ramirez Angie Carolina, Ghattas Patricia, Giron De Marza Maria, Sosaya Zuñiga Briggitte Solange, Martinez Lilan Jonathan David, Paredes Romero Enrique

More abstracts from these authors:
Alzheimer’s Disease and Risk of Intracranial Hemorrhage

Zhang Cenai, Bruce Samuel, Navi Babak, Murthy Santosh, Kamel Hooman

Association between Cerebral Amyloid Angiopathy and Non-Traumatic Subdural Hemorrhage

Andres Wells, Bruce Samuel, Merkler Alexander, Iadecola Costantino, Chiang Gloria, Kamel Hooman, Zhang Cenai, Murthy Santosh

You have to be authorized to contact abstract author. Please, Login
Not Available

Readers' Comments

We encourage you to enter the discussion by posting your comments and questions below.

Presenters will be notified of your post so that they can respond as appropriate.

This discussion platform is provided to foster engagement, and simulate conversation and knowledge sharing.

 

You have to be authorized to post a comment. Please, Login or Signup.


   Rate this abstract  (Maximum characters: 500)