Logo

American Heart Association

  129
  0


Final ID: TP87

Validation of Prognostic Scales for Functional Outcome in Ischemic Stroke Patients Treated with Intravenous Thrombolysis in a Rural Setting: a preliminary data analysis

Abstract Body: Background
Early prediction of functional outcome after rtPA helps clinicians in prognostic conversations with stroke patients and their families. Three prognostic tools have been developed in this regard: DRAGON, MRI-DRAGON, and S-TPI scales. These tools, all performing with a comparable accuracy, have been internally and externally validated in tertiary care centers. However, their performance in rural areas remains uncertain. This study addresses this gap in the literature by evaluating the effectiveness of those prognostic tools in stroke patients treated in a rural area of the Midwest.

Methods
We conducted a retrospective study of stroke patients treated with thrombolytics at Southern Illinois Healthcare Stroke Network from July 2017 to June 2024. Data on demographics, clinical presentations, laboratory values, neuroimaging, and stroke metrics were collected. modified Rankin Scale (mRS) at one month, classified into good (mRS ≤2) and poor (mRS ≥5) outcomes was noted. DRAGON and MRI-DRAGON scores were calculated. S-TPI model was built. Area under the receiver operating characteristic curve (AUC) with its 95% confidence interval was calculated for each prognostic model.

Results
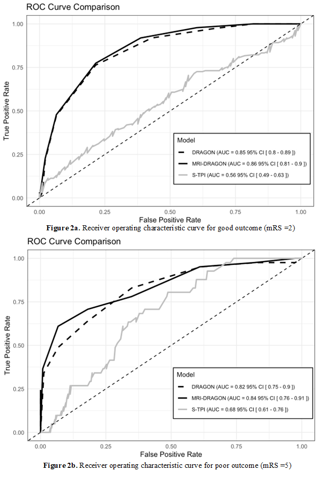
A total of 279 patients were included in this study. Of those, 43% (n=119) were male. Median age (IQR) was 69 (57-80) years. NIHSS at presentation (IQR) was 7 (4-13). 12% of the cohort (n=34) had posterior circulation stroke. At one month, 66% of patients (n=185) had mRS≤2, whereas 14% of patients (n=39) mRS≥5. MRI-DRAGON showed the highest accuracy in predicting both good (AUC=0.86, 95%CI:0.81-0.90) and poor outcomes (AUC=0.84, 95%CI:0.76-0.91). DRAGON also demonstrated high accuracy for good (AUC=0.85, 95%CI:0.80 -0.89) and poor (AUC=0.82, 95%CI:0.75-0.90) outcomes. Conversely, in our population, the S-TPI model had the lowest accuracy for good (AUC=0.56, 95%CI:0.49-0.63) and poor (AUC=0.68, 95%CI:0.61-0.76) outcomes.

Conclusions
Among the available grading scores, MRI-DRAGON score can be considered the more accurate short-term prognostic tool for stroke patients treated with rtPA in the rural setting. As the care of acute stroke patients change, prognostic tools should be updated, and newer ones developed to aid clinicians in guiding prognostic conversations with patients and their families.
  • Henson, Jessie  ( Southern Illinois Healthcare , Carbondale , Illinois , United States )
  • Wesler, Julie  ( Southern Illinois Healthcare , Carbondale , Illinois , United States )
  • Loggini, Andrea  ( Southern Illinois Healthcare , Carbondale , Illinois , United States )
  • Saleh Velez, Faddi  ( University of oklahoma , Oklahoma , Oklahoma , United States )
  • Hornik, Jonatan  ( Southern Illinois Healthcare , Carbondale , Illinois , United States )
  • Hornik, Alejandro  ( Southern Illinois Healthcare , Carbondale , Illinois , United States )
  • Schwertman, Amber  ( Southern Illinois University , Carbondale , Illinois , United States )
  • Author Disclosures:
    Jessie Henson: DO NOT have relevant financial relationships | Julie Wesler: DO NOT have relevant financial relationships | Andrea Loggini: DO NOT have relevant financial relationships | Faddi Saleh Velez: DO NOT have relevant financial relationships | Jonatan Hornik: No Answer | Alejandro Hornik: No Answer | Amber Schwertman: DO NOT have relevant financial relationships
Meeting Info:
Session Info:

Cerebrovascular Systems of Care Posters II

Thursday, 02/06/2025 , 07:00PM - 07:30PM

Poster Abstract Session

More abstracts on this topic:
1-Year Outcomes After Cardioversion With and Without Anticoagulation in Patients With Left Atrial Appendage Occlusion: A Propensity-Matched Analysis

Thangjui Sittinun, Trongtorsak Angkawipa, Kewcharoen Jakrin, Thyagaturu Harshith, Watson Hangyu, Mensah Samuel, Balla Sudarshan, Navaravong Leenhapong

A Real-World Pilot for Diagnostic Yield of Cardiac CTA vs Echocardiography in Acute Ischemic Stroke

Chakravarthula Nitin Ramanujam, Milani Marcus, Tessmer Megan, Staugaitis Abbey, Akimoto Kai, Markowitz Jeremy, Kalra Rajat, Nijjar Prabhjot, Streib Christopher

More abstracts from these authors:
Comparison of telemedicine-administered thrombolytic therapy for acute ischemic stroke by neurology subspecialty: preliminary data analysis

Wesler Julie, Henson Jessie, Hornik Jonatan, Nelson Madison, Schwertman Amber, Demir John, Hornik Alejandro, Loggini Andrea

Target door-to-needle time in acute stroke treatment via telemedicine versus in-person evaluation in a rural setting of the Midwest: preliminary data analysis

Henson Jessie, Wesler Julie, Hornik Jonatan, Hornik Alejandro, Nelson Madison, Schwertman Amber, Demir John, Loggini Andrea

You have to be authorized to contact abstract author. Please, Login
Not Available

Readers' Comments

We encourage you to enter the discussion by posting your comments and questions below.

Presenters will be notified of your post so that they can respond as appropriate.

This discussion platform is provided to foster engagement, and simulate conversation and knowledge sharing.

 

You have to be authorized to post a comment. Please, Login or Signup.


   Rate this abstract  (Maximum characters: 500)