Logo

American Heart Association

  66
  0


Final ID: TAC109

Effects of Antihypertensive Class on Orthostatic Changes Differ by Body Position, Initial Blood Pressure, and Treatment Duration: Secondary Analysis of the Treatment of Mild Hypertension Study (TOMHS)

Abstract Body: Background
Orthostatic hypotension (OH) is common among adults with hypertension and often complicates treatment. Antihypertensive treatment is frequently avoided in these patients due to concerns that medications have consistent effects on BP. However, effects may differ by body position, initial BP, and treatment duration. These insights are critical for class selection to avoid hypotensive complications.

Objective
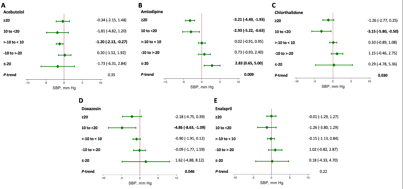
To determine how the orthostatic effects of 5 common antihypertensives (acebutolol, amlodipine, chlorthalidone, doxazosin, enalapril) differ by baseline systolic BP (SBP) and treatment duration.

Methods
We performed a post-hoc analysis of TOMHS data. Adults aged 45-69 with a diastolic BP of 90-99 mmHg were randomly assigned to 1 of 5 antihypertensives or placebo. BP was measured with a Hawksley random-0 sphygmomanometer twice after 5 minutes of seated rest (separated by 30 seconds) and 2 minutes of standing. Measurements were at randomization, 1 month post-randomization, and every 3 months up to 54 months. We used generalized estimating equations to determine the effect of drugs on: (1) seated or standing SBP (in strata of 110 to ≤130, 130 to ≤140, 140 to ≤150, >150 mmHg), (2) orthostatic change in SBP (≥20, 10 to <20, >-10 to <10, -10 to >-20, ≤-20 mmHg), and (3) over time (at 1, 1-6, 6-12, 12-24, 24-36, >36 months). Orthostatic change was continuous (standing - seated SBP) and dichotomous (change ≤-20 mmHg).

Results
Of 902 randomized participants, 897 had orthostatic BP measures (mean age 54.8, SD 6.4 yr; 38.5% female, 19.6% Black). Compared to placebo, chlorthalidone was associated with greater reductions in SBP at higher baseline values for seated and standing (P-trends 0.006 and 0.019, respectively) (Table 1). Amlodipine had the greatest effect on orthostatic change, mitigating orthostatic increases and decreases in SBP (P-trend = 0.009) (Figure 1). At 1 month, acebutolol had a greater magnitude negative orthostatic change in SBP (-3.05 mmHg; 95% CI: -5.10, -1.01), while enalapril increased orthostatic change (1.94 mmHg; 0.09, 3.79; Table 2). Over time, amlodipine and enalapril decreased the odds of orthostatic change ≤-20 mmHg (P-trends 0.002 and 0.015).

Conclusions
Antihypertensive agents had different effects on SBP based on body position, initial resting value, and treatment duration. These effects are applicable for treating hypertension in patients with OH and should be evaluated with respect to hypotensive events such as falls and syncope.
  • Liu, Esther  ( BIDMC , Boston , Massachusetts , United States )
  • Petriceks, Aldis  ( BIDMC , Boston , Massachusetts , United States )
  • Lee, Grace  ( Harvard Medical School , Boston , Massachusetts , United States )
  • Khan, Md Marufuzzaman  ( Beth Israel Deaconess Medical Cente , Brookline , Massachusetts , United States )
  • Col, Hannah  ( BIDMC , Boston , Massachusetts , United States )
  • Zhang, Mingyu  ( Harvard Medical School , Boston , Massachusetts , United States )
  • Ngo, Long  ( Harvard Medical School , Boston , Massachusetts , United States )
  • Lipsitz, Lewis  ( BIDMC , Boston , Massachusetts , United States )
  • Juraschek, Stephen  ( BIDMC-Harvard Medical School , Boston , Massachusetts , United States )
  • Author Disclosures:
    Esther Liu: DO NOT have relevant financial relationships | Aldis Petriceks: No Answer | Grace Lee: DO NOT have relevant financial relationships | Md Marufuzzaman Khan: DO NOT have relevant financial relationships | Hannah Col: No Answer | Mingyu Zhang: DO NOT have relevant financial relationships | Long Ngo: No Answer | Lewis Lipsitz: DO NOT have relevant financial relationships | Stephen Juraschek: DO NOT have relevant financial relationships
Meeting Info:
Session Info:

Poster Session 1 and Reception (includes TAC Poster Competition)

Thursday, 09/04/2025 , 05:30PM - 07:00PM

Poster Session

More abstracts on this topic:
Calcium channel blocker-induced prescribing cascades: Signal detection using high-throughput sequence symmetry analysis

Kulkarni Priyanka, Molk Matthew, Wright Shannon, Calvet Marianna, Pepine Carl, Schmidt Stephan, Vouri Scott, Morris Earl, Smith Steven, Ndai Asinamai, Smith Kayla, Keshwani Shailina, Choi Jaeyoung, Luvera Michael, Hunter Julia, Galvan Rebecca, Beachy Tanner

Clinical Responses to Aficamten Monotherapy Compared with Metoprolol Monotherapy for Obstructive Hypertrophic Cardiomyopathy Outcomes and Disease Burden: MAPLE-HCM Responder Analysis

Wang Andrew, Claggett Brian, Costabel Juan, Correia Edileide, Dybro Anne, Elliott Perry, Kulac Ian, Lakdawala Neal, Lewis Gregory, Mann Amy, Nair Ajith, Garcia-pavia Pablo, Poulsen Steen, Reant Patricia, Schulze Christian, Solomon Scott, Sohn Regina, Berhane Indrias, Heitner Stephen, Jacoby Daniel, Kupfer Stuart, Malik Fady, Masri Ahmad, Wohltman Amy, Fifer Michael, Maron Martin, Merkely Bela, Nassif Michael, Pena Pena Maria Luisa, Barriales-villa Roberto, Bilen Ozlem, Burroughs Melissa

More abstracts from these authors:
Intensive Blood Pressure Control Reduces Subclinical Cardiac Injury among Adults with Orthostatic Hypotension or Orthostatic Hypertension: Secondary Analysis of the Systolic Blood Pressure Intervention Trial (SPRINT)

Rajesh Shreyas, Khan Md Marufuzzaman, Petriceks Aldis, Zhang Mingyu, Grobman Benjamin, Col Hannah, Ma Yuan, Juraschek Stephen

Characteristics and Temporal Usage Patterns of Omron Home Blood Pressure Device Users in the United States

Khan Md Marufuzzaman, Col Hannah, Larbi Fredrick, Zhang Mingyu, Turkson-ocran Ruth-alma, Ngo Long, Juraschek Stephen

You have to be authorized to contact abstract author. Please, Login
Not Available