Logo

American Heart Association

  81
  0


Final ID: TH210

Supine Hypertension is Associated with Cardiovascular Disease and Mortality in the Absence of Seated Hypertension: Results from the Cardiovascular Health Study

Abstract Body: Introduction: We recently showed that supine hypertension (HTN) was associated with cardiovascular disease (CVD) events and mortality among middle-aged adults, including those with normal seated blood pressure (BP). It is unclear whether similar associations might be observed among older adults.

Methods: The Cardiovascular Health Study (CHS) is a prospective cohort of adults aged 65 years or older. CHS measured both supine and seated BP at the baseline visit (1989-1993) and followed participants for CVD events and death. We excluded participants with a history of CVD at baseline. We used multivariable-adjusted Cox proportional hazard models (see Table 1 footnote for covariates) to examine the association of supine HTN (systolic/diastolic BP ≥ 130/80 mmHg), as well as the association of 4 HTN categories (no HTN, supine HTN only, seated HTN only, both supine and seated HTN) with CVD outcomes and mortality. Analyses were stratified by the presence of seated HTN (systolic/diastolic BP ≥ 130/80 mm Hg) and HTN medication use at baseline.

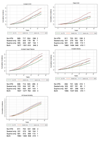
Results: This analysis included 4,223 participants (60.9% female, 84.9% White), who were followed for a median of 14.1 (IQR: 9.0, 19.8) years. At baseline, 2,590 (61.3%) had seated HTN, 2,891 (68.5%) had supine HTN, and 656 (15.5%) had supine HTN without seated HTN. Supine HTN (vs. no supine HTN) was associated with a higher risk of coronary heart disease (CHD), fatal CHD, heart failure, stroke, and all-cause mortality (Table 1). These associations persisted for most outcomes even after additional adjustment for seated BP. Among participants without seated HTN, supine HTN was associated with a higher risk of heart failure (HR: 1.32, 95% CI: 1.08, 1.60), stroke (HR: 1.33, 95% CI: 1.02, 1.72), and all-cause mortality (HR: 1.18, 95% CI: 1.05, 1.33) (Table 1). When examining these associations across 4 HTN categories, having both seated and supine HTN was associated with all outcomes (p < 0.01) (Table 2, Figure).

Conclusion: In this cohort of older adults, supine HTN was associated with increased risk of CVD events and mortality, even in the absence of seated HTN. Having both seated and supine HTN was associated with all outcomes, while results were more mixed for either seated or supine HTN alone. These findings further highlight the importance of measuring and potentially treating supine HTN, even in the absence of seated HTN.
  • Grobman, Benjamin  ( Harvard Medical School , Boston , Massachusetts , United States )
  • Wang, Frances  ( Temple University School of Medicine , Philadelphia , Pennsylvania , United States )
  • Zhang, Mingyu  ( Harvard Medical School , Boston , Massachusetts , United States )
  • Juraschek, Stephen  ( BIDMC-Harvard Medical School , Boston , Massachusetts , United States )
  • Author Disclosures:
    Benjamin Grobman: DO NOT have relevant financial relationships | Frances Wang: DO NOT have relevant financial relationships | Mingyu Zhang: DO NOT have relevant financial relationships | Stephen Juraschek: DO NOT have relevant financial relationships
Meeting Info:
Session Info:

Poster Session 1 and Reception (includes TAC Poster Competition)

Thursday, 09/04/2025 , 05:30PM - 07:00PM

Poster Session

More abstracts on this topic:
Accelerometer-Measured Sedentary Behavior and Future Cardiovascular Disease

Ajufo Ezimamaka, Kany Shinwan, Ramo Joel, Churchill Timothy, Guseh James, Aragam Krishna, Ellinor Patrick, Khurshid Shaan

A Contemporary Machine Learning-Based Risk Stratification for Mortality and Hospitalization in Heart Failure with Preserved Ejection Fraction Using Multimodal Real-World Data

Fudim Marat, Weerts Jerremy, Patel Manesh, Balu Suresh, Hintze Bradley, Torres Francisco, Micsinai Balan Mariann, Rigolli Marzia, Kessler Paul, Touzot Maxime, Lund Lars, Van Empel Vanessa, Pradhan Aruna, Butler Javed, Zehnder Tobias, Sauty Benoit, Esposito Christian, Balazard Félix, Mayer Imke, Hallal Mohammad, Loiseau Nicolas

More abstracts from these authors:
Gestational weight gain, post-partum weight retention, and women’s mid-life cardiovascular health in Project Viva

Grobman Benjamin, Rifas-shiman Sheryl L., Aris Izzuddin, Perng Wei, Juraschek Stephen, Oken Emily, Hivert Marie-france, Zhang Mingyu

Intensive Blood Pressure Control Reduces Subclinical Cardiac Injury among Adults with Orthostatic Hypotension or Orthostatic Hypertension: Secondary Analysis of the Systolic Blood Pressure Intervention Trial (SPRINT)

Rajesh Shreyas, Khan Md Marufuzzaman, Petriceks Aldis, Zhang Mingyu, Grobman Benjamin, Col Hannah, Ma Yuan, Juraschek Stephen

You have to be authorized to contact abstract author. Please, Login
Not Available