Logo

American Heart Association

  186
  0


Final ID: P-105

Comparative Effectiveness between Angiotensin Receptor Blockers and Angiotensin-Converting Enzyme Inhibitors on Mortality: a Nationwide, Population-based, Prospective Cohort Study in China

Abstract Body: Background: Contemporary evidence comparing the efficacy of angiotensin-converting enzyme inhibitors (ACEIs) versus angiotensin II receptor blockers (ARBs) on long-term outcomes in patients with hypertension is sparse and inconsistent. The aim is to compare the effectiveness of ACEI monotherapy versus ARB monotherapy on all-cause death and cardiovascular death.

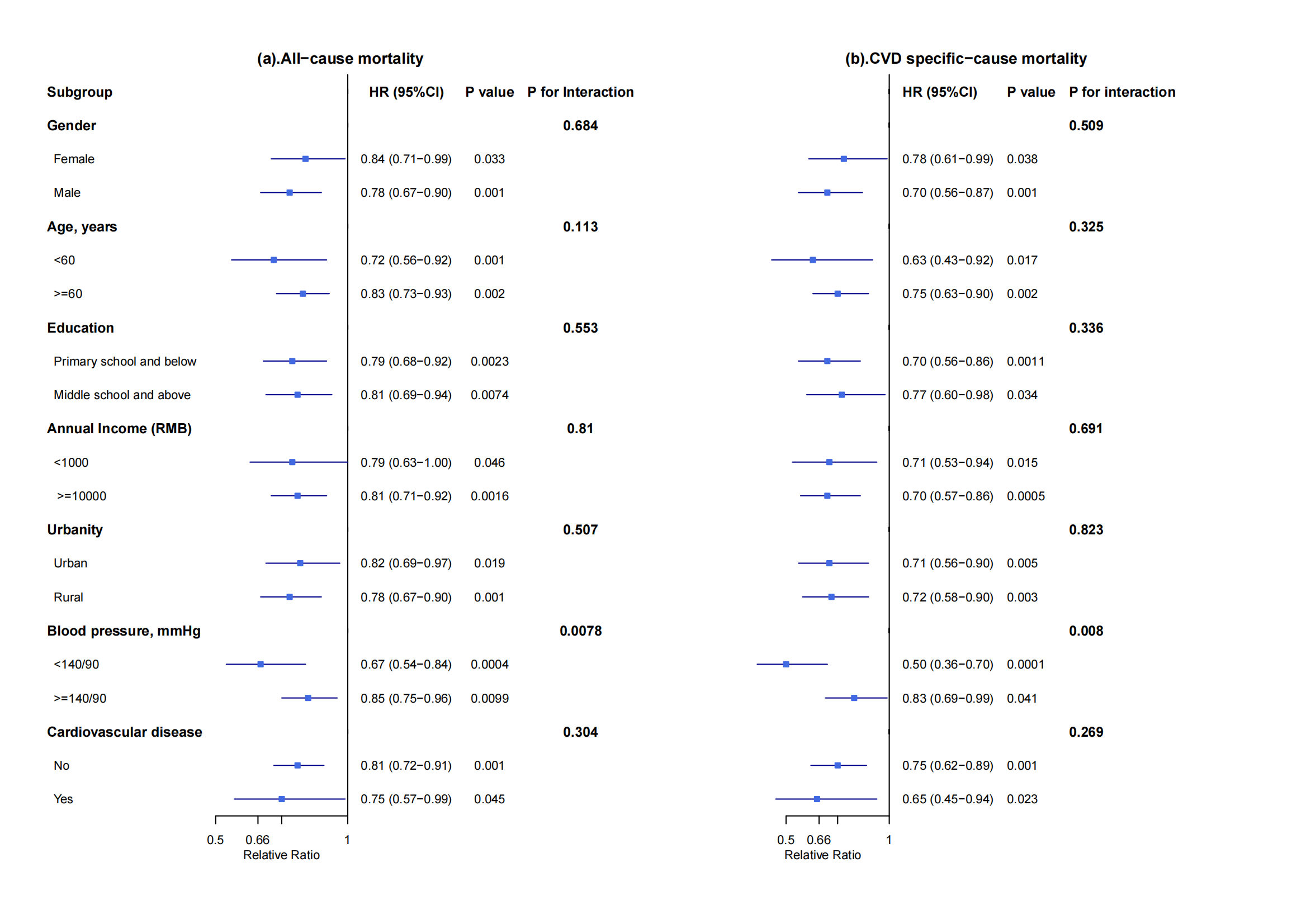
Methods: Based on a nationwide, population-based prospective cohort project, which covered 318 study sites from 2014 to 2021 in China. Detailed information was collected by questionnaire, physical measurement, and blood test. Participants aged 35-75 years with hypertension and taking ACEI or ARB monotherapy once daily, and with good medication adherence at baseline were included. Information on mortality was followed up until 31 December 2021. Stabilized inverse probability treatment weighting (IPTW) was applied to compare the effectiveness.

Results: 68 771 (49326 ARB, 19445 ACEI) participants were finally included, with a mean age of 59.9±8.3 years and 40.2% being female. During a median follow-up time of 44 months, 785 cardiovascular deaths and 1657 deaths were recorded. Compared with ACEI monotherapy, ARB monotherapy was associated with a quarter relative risk reduction of cardiovascular death (IPTW rates: 0.95 % Vs 1.43%, HR=0.73 [95%CI, 0.62-0.87]) and one-fifth relative risk reduction of all-cause death (IPTW rates: 2.13% Vs 2.84%, HR=0.80 [95%CI, 0.71-0.89]). These differences remained consistent after further adjusting for blood pressure and with differences more pronounced in patients with controlled and newly onset hypertension. Sensitive analysis and subgroup analysis yielded consistent results.

Conclusions: Attention should be paid that ARB can be preferred to ACEI in patients with hypertension in terms of long-term health outcomes.

Funding: This work was supported by the Chinese Academy of Medical Sciences Innovation Fund for Medical Science (2021-I2M-1-011), and the National High Level Hospital Clinical Research Funding (2022-GSP-GG-4, NCRCSZ-2023-016).

Keywords: Hypertension, Angiotensin receptor blocker, Angiotensin-converting enzyme inhibitor, Mortality, Comparative effectiveness
  • Wang, Yunfeng  ( Fuwai Hospital Chinese Academy of Medical Sciences, Shenzhen, Shenzhen, China , Shenzhen , China )
  • Xu, Wei  ( Fuwai Hospital , Beijing , China )
  • Song, Lijuan  ( Fuwai Hospital , Beijing , China )
  • Wang, Chunqi  ( Fuwai Hospital , Beijing , China )
  • Wu, Yi  ( Fuwai Hospital , Beijing , China )
  • Krumholz, Harlan  ( Yale University , New Haven , Connecticut , United States )
  • Li, Xi  ( Fuwai Hospital , Beijing , China )
  • Hu, Shengshou  ( Fuwai Hospital , Beijing , China )
  • Guo, Weihong  ( Fuwai Hospital , Beijing , China )
  • Hao, Yang  ( Fuwai Hospital , Beijing , China )
  • Zheng, Xin  ( Fuwai Hospital , Beijing , China )
  • Zhang, Haibo  ( Fuwai Hospital , Beijing , China )
  • Yang, Yang  ( Fuwai Hospital , Beijing , China )
  • Chen, Bowang  ( Fuwai Hospital , Beijing , China )
  • Zhang, Xiaoyan  ( Fuwai Hospital , Beijing , China )
  • Cui, Jianlan  ( Fuwai Hospital , Beijing , China )
  • Author Disclosures:
    Yunfeng Wang: DO NOT have relevant financial relationships | Wei Xu: No Answer | Lijuan Song: No Answer | Chunqi Wang: No Answer | Yi Wu: No Answer | Harlan Krumholz: No Answer | xi li: No Answer | Shengshou Hu: No Answer | Weihong Guo: No Answer | Yang Hao: No Answer | Xin Zheng: No Answer | Haibo Zhang: No Answer | Yang Yang: No Answer | Bowang Chen: DO NOT have relevant financial relationships | xiaoyan zhang: No Answer | jianlan cui: No Answer
Meeting Info:
Session Info:

Poster Session 1: TAC Competition and Reception

Thursday, 09/05/2024 , 05:30PM - 07:00PM

TAC Poster Session Competition

More abstracts on this topic:
Acoramidis Reduces All-Cause Mortality (ACM) and Cardiovascular-Related Hospitalization (CVH): Initial Outcomes From the ATTRibute-CM Open-Label Extension (OLE) Study

Judge Daniel, Masri Ahmad, Obici Laura, Poulsen Steen, Sarswat Nitasha, Shah Keyur, Soman Prem, Cao Xiaofan, Wang Kevin, Pecoraro Maria, Tamby Jean-francois, Gillmore Julian, Katz Leonid, Fox Jonathan, Maurer Mathew, Alexander Kevin, Ambardekar Amrut, Cappelli Francesco, Fontana Marianna, Garcia-pavia Pablo, Grogan Martha, Hanna Mazen

Combination Therapy with ACEIs/ARBs and β-Blockers Reduces Basal Inflammation in Heart Failure Patients: A Cross-Sectional Observational Study

Kataya Rayan, Zouein Fouad, Ziade Joanna, Amin Ghadir, Mansour Sara, Elbejjani Martine, Fares Souha, Mudawwar Walid, Refaat Marwan, Mericskay Mathias

More abstracts from these authors:
High-normal Blood Pressure (130-139/85-89mmHg) is Associated with an Increased Risk of Mortality

Li Zhiwei, Lu Jiapeng, Li Xi, Zhang Weili, Liu Mengmeng, Chen Bowang, Wu Yuelin, Jia Hui, Geng Ruirui, Zhang Xiaoyan, Yang Yang, Cui Jianlan

Prediction of Cardiovascular Disease Risk in Chinese Elderly from 2025 to 2050: A Simulation Study Based on a National Cohort

Wu Yi, Jin Bolin, Li Xi

You have to be authorized to contact abstract author. Please, Login
Not Available