Logo

American Heart Association

  48
  0


Final ID: TU281

Associations Between Prepregnancy Lipoprotein(a) and Birth Outcomes: The Hispanic Community Health Study/Study of Latinos

Abstract Body: Background: Lipoprotein(a) [Lp(a)] is a highly atherogenic, prothrombotic, and proinflammatory atherosclerotic cardiovascular disease risk factor that may influence placenta-mediated pregnancy complications, although mechanisms remain poorly understood. Existing evidence linking Lp(a) with pregnancy outcomes is highly heterogeneous, reflecting several factors, including reliance on small cross-sectional studies, non-uniform Lp(a) measurement across pregnancy, and isoform-sensitive assays.
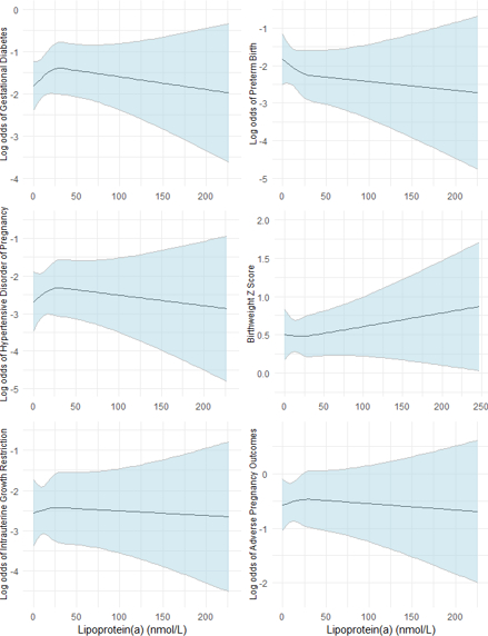
Methods: Among n=16,415 Hispanic Community Health Study/Study of Latinos participants, we identified 508 women with a singleton live birth occurring >43 weeks after the baseline visit (2008–2011). Pre-pregnancy Lp(a) was measured at baseline using a latex-enhanced turbidimetric method (Roche). Five self-reported outcomes were examined: gestational diabetes mellitus (GDM, n=80), hypertensive disorders of pregnancy (HDP, n=55), preterm birth (PTB, n=55), intrauterine growth restriction (IUGR, n=37), and birthweight Z-score for all births (BWZ, n=483). An adverse pregnancy outcome (APO, n=179) was defined as presence of GDM, HDP, PTB, or IUGR. Survey-weighted and confounder-adjusted (age, kidney function, background group) logistic (GDM, HDP, PTB, IUGR, APO) or linear (BWZ) regression was used to examine four Lp(a) dose-response patterns: linear, curvilinear, quartile categorized, and moderately increased risk threshold (≥75 nmol/L).
Results: Among women included, the mean age was 26.4 (SD=5.8), and almost half were of Mexican background. The distribution of pre-pregnancy Lp(a) was right skewed with a median of 16.9 nmol/L (IQR: 6.7 to 52.8 nmol/L). Lp(a) >75 nmol/L (n = 93, 18.3%) was associated with decreased odds of HDP (OR = 0.77, 95% CI = 0.31 – 1.92) and PTB (OR = 0.86, 95% CI = 0.32 – 2.32), although estimates were imprecise. The curvilinear model, though also imprecise, showed lower odds of GDM, HDP, and overall APO at both Lp(a) extremes, while higher Lp(a) was associated with lower odds of PTB and higher BWZ. All other associations tested were null without any discernible pattern.
Conclusions: Higher Lp(a) levels may reduce the odds of HDP and GDM, and lower Lp(a) levels may increase the odds of PTB, although results were not definitive. Future work with larger sample sizes is needed to better understand the physiological implications of Lp(a) for pregnancy.
  • Habib, Ashkan  ( UNC Chapel Hill , Carrboro , North Carolina , United States )
  • Ballou, Anna  ( UNC Chapel Hill , Carrboro , North Carolina , United States )
  • April-sanders, Ayana  ( Rutgers School of Public Health , Piscataway , New Jersey , United States )
  • Van Wickle, Kimi  ( UNC Chapel Hill , Carrboro , North Carolina , United States )
  • Meyer, Michelle  ( UNC Chapel Hill , Carrboro , North Carolina , United States )
  • Sotres-alvarez, Daniela  ( UNC Chapel Hill , Carrboro , North Carolina , United States )
  • Vanterpool, Yessica  ( Albert Einstein School of Medicine , Bronx , New York , United States )
  • Vladutiu, Catherine  ( UNC Chapel Hill , Carrboro , North Carolina , United States )
  • Welch, Barrett  ( University of Nevada, Reno , Reno , Nevada , United States )
  • Graff, Mariaelisa  ( UNC-CHAPEL HILL , Chapel Hill , North Carolina , United States )
  • Rodriguez, Carlos  ( Albert Einstein School of Medicine , Bronx , New York , United States )
  • Avery, Christy  ( UNIV N CAROLINA , Chapel Hill , North Carolina , United States )
  • Author Disclosures:
Meeting Info:

EPI-Lifestyle Scientific Sessions 2026

2026

Boston, Massachusetts

Session Info:

Poster Session 1

Tuesday, 03/17/2026 , 05:00PM - 07:00PM

Poster Session

More abstracts on this topic:
Association of Preeclampsia with Long-Term Coronary Microvascular Dysfunction Utilizing Cardiac Stress Magnetic Resonance Imaging

Roy Rukmini, Rana Sarosh, Lang Roberto, Patel Amit, Shahul Sajid, Patel Hena, Wang Haonan, Huang Sherry, Minga Iva, Wang Shuo, O'hara Meaghan, Tang Maxine, Slivnick Jeremy, Polonsky Tamar

Advanced maternal age and association with major adverse cardiovascular events from NHANES from 1999 to 2018

Mehta Adhya, Honigberg Michael, Kennedy Jamie, Spitz Jared, Sharma Garima, Agboola Olayinka, Satti Danish Iltaf, Harrington Colleen, Scott Nandita, Sarma Amy, Saad Antonio, Sullivan Scott, Epps Kelly

More abstracts from these authors:
Preclinical Heart Failure Risk of Metabolically Healthy Overweight/Obese Adults in Hispanic/Latino Adults.

Krueger Mason, April-sanders Ayana, Talavera Gregory, Hurwitz Barry, Llabre Maria, Schneiderman Neil, Kaplan Robert, Rodriguez Carlos, Daviglus Martha, Cai Jianwen, Cheng Susan, Kansal Mayank

Lipoprotein(a) Across Menopause: Longitudinal Changes in the UK Biobank

Palmer Catherine, Avery Christy, Ballantyne Christie, Graff Mariaelisa, Hoogeveen Ron, Jukic Anne Marie, Conners Katherine

You have to be authorized to contact abstract author. Please, Login
Not Available