Logo

American Heart Association

  29
  0


Final ID: WE415

Endothelial Dysfunction and Risk of Severe COVID-19 in a Biracial U.S. Cohort

Abstract Body: Background
As of mid-2025, over 100 million people have had COVID-19 and in the United States, 1.2 million have died. Black Americans continue to experience higher rates of severe COVID-19 (requiring hospitalization or causing death) than White Americans. Biological mechanisms underlying severe COVID-19 remain unclear, although evidence suggests endothelial dysfunction contributes to disease severity.

Aims
We studied associations of pre-pandemic endothelial biomarkers with severe COVID-19 and evaluated differences in associations between Black and White Americans.

Methods
We employed a case only design among Black and White participants of the REasons for Geographic and Racial Differences in Stroke (REGARDS) study who had COVID-19 between 2020 and 2021. Endothelial biomarkers (E-selectin, P-selectin, factor VIII, ICAM-1, and VCAM-1) were measured from stored serum collected in 2013-2016. The outcome was severe COVID-19 defined as hospitalization or death (adjudication rate 96.2%). Non-severe COVID-19 (the reference group) was defined as self-reported symptomatic COVID-19, positive SARS-CoV2 testing, and no hospitalization or death. Logistic regression was used to estimate odds ratios of severe COVID-19 by SD higher of each biomarker. Restricted cubic splines were used to visualize odds ratios of severe COVID-19.

Results
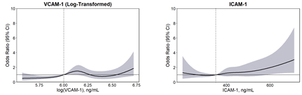
Among the 415 participants with COVID-19, 47% were male, 33% were Black, and the mean (SD) age was 60 (7) years. Each SD higher ICAM-1 and log VCAM-1, but not other biomarkers, was associated with 30% higher odds of severe COVID-19 (Table). Associations were similar across racial groups (Table). Restricted cubic splines showed that the association of VCAM-1 and severe COVID-19 was non-linear whereas the association of ICAM-1 and severe COVID-19 was linear (Figure).

Conclusions
Pre-pandemic endothelial dysfunction, reflected by higher ICAM-1 and VCAM-1, was associated with higher odds of severe COVID-19. These findings suggest that longstanding endothelial dysfunction predisposes to more severe COVID-19, and highlights ICAM-1 and VCAM-1 as potential therapeutic targets. Replication in larger studies is needed to confirm these results.
  • Shea, Veronica  ( Larner College of Medicine at the University of Vermont , Burlington , Vermont , United States )
  • Sparks, Andrew  ( Larner College of Medicine at the University of Vermont , Burlington , Vermont , United States )
  • Olson, Nels  ( Larner College of Medicine at the University of Vermont , Burlington , Vermont , United States )
  • Howard, Virginia  ( University of Alabama at Birmingham , Birmingham , Alabama , United States )
  • Judd, Suzanne  ( University of Alabama at Birmingham , Birmingham , Alabama , United States )
  • Levitan, Emily  ( University of Alabama at Birmingham , Birmingham , Alabama , United States )
  • Plante, Timothy  ( Larner College of Medicine at the University of Vermont , Burlington , Vermont , United States )
  • Juraschek, Stephen  ( BIDMC-Harvard Medical School , Boston , Massachusetts , United States )
  • Oelsner, Elizabeth  ( Columbia University , New York , New York , United States )
  • Cushman, Mary  ( Larner College of Medicine at the University of Vermont , Burlington , Vermont , United States )
  • Kamin Mukaz, Debora  ( Larner College of Medicine at the University of Vermont , Burlington , Vermont , United States )
  • Author Disclosures:
Meeting Info:

EPI-Lifestyle Scientific Sessions 2026

2026

Boston, Massachusetts

Session Info:

Poster Session 2

Wednesday, 03/18/2026 , 05:00PM - 07:00PM

Poster Session

More abstracts on this topic:
Ceftriaxone To Prevent Pneumonia After Cardiac Arrest (PROTECT): A Pilot Randomized-Controlled Trial and Microbiome Assessment

Gagnon David, Pozzessere Nicholas, Callaway Clifton, Sawyer Douglas, Seder David B., Burkholder Kristin, Weissman Alexandra, Riker Richard, Ryzhov Sergey, May Teresa, Dekay Joanne, Knudsen Lacey, Moore Meagan

Association of Demographic and Clinical Factors with SARS-CoV-2 Anti-Nucleocapsid Antibody Response Among Previously Infected US Adults: The C4R Study

Demmer Ryan, Bell Taison, Anderson Michaela, Allen Norrina, Schreiner Pamela, Bowler Russell, Schwartz David, Lee Joyce, Xanthakis Vanessa, Rock Jean, Bievenue Rachel, Wu Chaoqi, Pirzada Amber, Doyle Margaret, Regan Elizabeth, Make Barry, Kanaya Alka, Kandula Namratha, Morganroth S, Coresh Joe, Isasi Carmen, Raffield Laura, Kim John, Elkind Mitchell, Howard Virginia, Ortega Victor, Woodruff Prescott, Cole Shelley, Henderson Joel, Mantis Nicholas, Oelsner Elizabeth, Sun Yifei, Balte Pallavi, Cushman Mary, Boyle Rebekah, Tracy Russell, Styer Linda

More abstracts from these authors:
Blood Biomarkers and the Risk of Coronary Disease in Atrial Fibrillation

Cordova Sanchez Andres, Cushman Mary, Wilkinson Katherine, Short Samuel, Howard Virginia, Judd Suzanne, Goyal Parag, Soliman Elsayed, Levitan Emily, Safford Monika

Social Determinants of Health and Circulating Biomarkers of Neurodegeneration: the REasons for Geographic and Racial Differences in Stroke (REGARDS) Cohort

Bourdeau Jenna, Cushman Mary, Kamin Mukaz Debora, Olson Nels, Sawyer Russell P., Judd Suzanne, Wilkinson Katherine, Sparks Andrew

You have to be authorized to contact abstract author. Please, Login
Not Available