Logo

American Heart Association

  15
  0


Final ID: MPTH56

Association of Cognitive Decline with Orthostatic Hypotension among Older Adults: Findings from the Atherosclerosis Risk in Communities Study

Abstract Body: Background Orthostatic hypotension (OH), a blood pressure (BP) dysregulatory condition, is associated with dementia, stroke, and all-cause mortality. OH develops from autonomic impairments, which may involve central control via the brain stem. Cognitive decline may indicate progressive neuropathological changes that could increase risk for developing OH.

Hypothesis We hypothesized that accelerated cognitive decline would be associated with a persistent change in orthostatic BP among older adults.

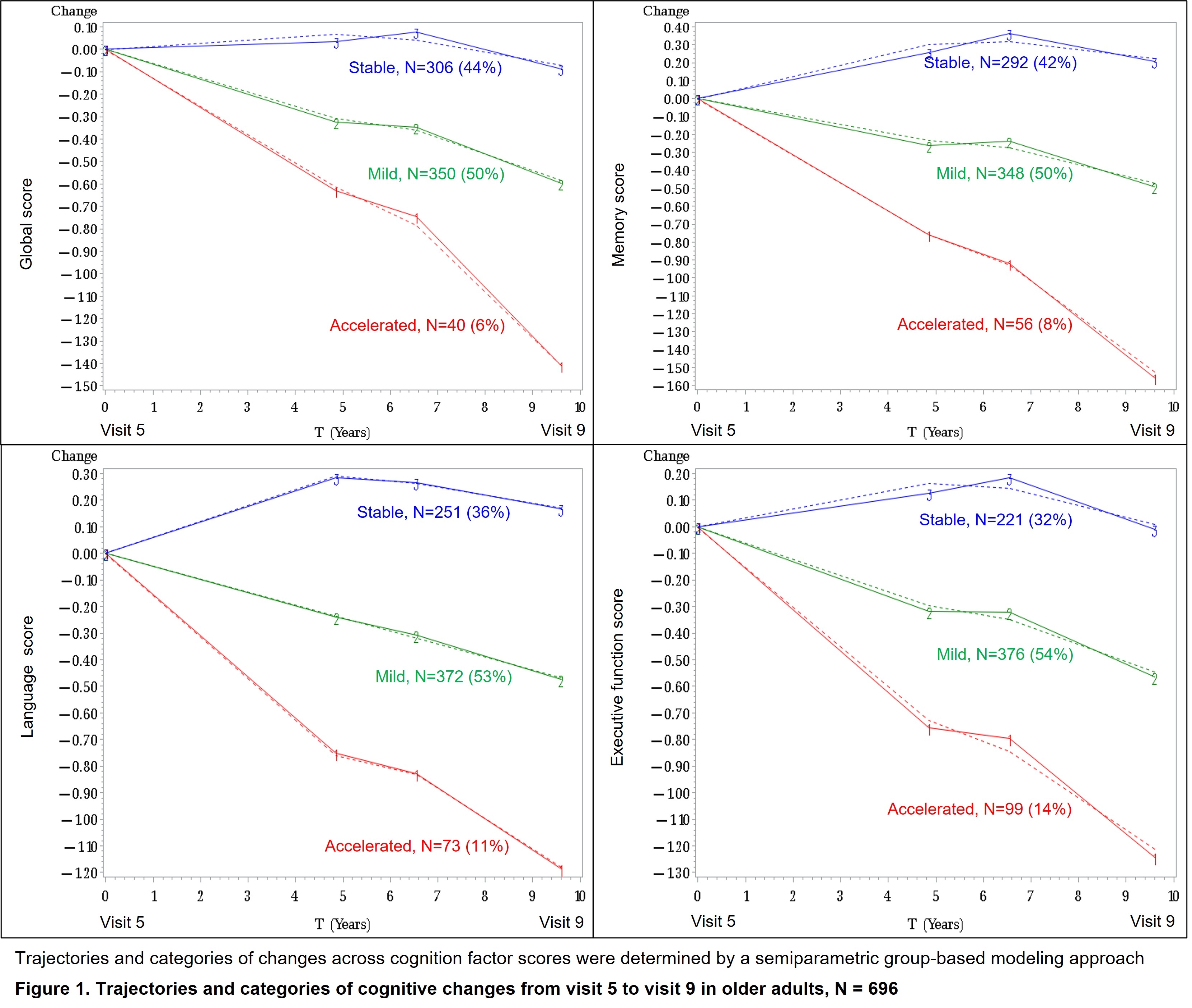
Methods The Atherosclerosis Risk in Communities (ARIC) Study measured participants’ global cognitive function, using memory, language, and executive function scores based on neuropsychological tests. We derived trajectories and categories of cognitive changes of visit 9 participants using data from visit 5 (2011-13) to visit 9 (2021-22). During visit 10 (2023), three supine and six standing BPs were measured. Supine BPs were measured after 5 minutes of rest at 30-second intervals, and standing BPs were timed at 0, 1, 2, 3, 4, and 5 minutes after standing. OH was determined if a drop in BP of systolic ≥20 or diastolic ≥10 mm Hg occurred after standing from the supine position. Patterns of OH were defined as transient (initial, early) and persistent (late, sustained) (see Table 1 legend for definitions). We determined the associations of cognitive change categories of visit 9 participants with OH patterns via multivariable logistic regression (see Table 2 legend for adjusted factors). We used inverse probability weighting to adjust for participants who attended visit 9 but not visit 10.

Results Of 696 participants (mean age 82.1±3.6 years, 58% female, 18% Black), 42% had initial OH, whereas 16% had sustained OH (Table 1). Half of the participants (50%) had mild decline in global cognition scores, whereas 44% and 6% had stable and accelerated decline, respectively (Figure 1). Similar patterns were observed across domain-specific scores. Participants with accelerated decline in global score had significantly higher odds of late and sustained OH compared to stable (Table 2). Similar but non-significant associations were identified across domain-specific scores.

Conclusion Very old adults with accelerated cognitive decline were more likely to have persistent impairments in orthostatic BP regulation. Future studies should explore the brain regions underlying cognitive decline to better understand how it might contribute to OH.
  • Khan, Md Marufuzzaman  ( Beth Israel Deaconess Medical Center , Brookline , Massachusetts , United States )
  • Col, Hannah  ( Beth Israel Deaconess Medical Center , Brookline , Massachusetts , United States )
  • Larbi, Fredrick  ( Beth Israel Deaconess Medical Center , Brookline , Massachusetts , United States )
  • Patil, Dhrumil  ( Beth Israel Deaconess Medical Center , Brookline , Massachusetts , United States )
  • Pike, James  ( New York University , New York , North Carolina , United States )
  • Zhang, Mingyu  ( Harvard Medical School , Boston , Massachusetts , United States )
  • Ngo, Long  ( Harvard Medical School , Boston , Massachusetts , United States )
  • Cluett, Jennifer  ( BIDMC-Harvard Medical School , Boston , Massachusetts , United States )
  • Mukamal, Kenneth  ( Beth Israel Deaconess Medical Center , Brookline , Massachusetts , United States )
  • Ma, Yuan  ( Harvard University , Boston , Massachusetts , United States )
  • Palta, Priya  ( The University of North Carolina , Chapel Hill , North Carolina , United States )
  • Coresh, Joe  ( SPH WELCH Center, Johns Hopkins University , Baltimore , Maryland , United States )
  • Selvin, Elizabeth  ( Johns Hopkins University , Baltimore , Maryland , United States )
  • Wagenknecht, Lynne  ( School of Medicine, Wake Forest University , Winston-Salem , North Carolina , United States )
  • Hughes, Timothy  ( School of Medicine, Wake Forest University , Winston-Salem , North Carolina , United States )
  • Windham, B Gwen  ( The University of Mississippi Medical Center, The MIND Center , Jackson , Mississippi , United States )
  • Mosley, Thomas  ( The University of Mississippi Medical Center , Jackson , Mississippi , United States )
  • Lutsey, Pamela  ( University of Minnesota , Minneapolis , Minnesota , United States )
  • Ring, Kimberly  ( The University of North Carolina , Chapel Hill , North Carolina , United States )
  • Lipsitz, Lewis  ( Hebrew SeniorLife Marcus Institute for Aging Research , Roslindale , Massachusetts , United States )
  • Valint, Arielle  ( The University of North Carolina , Chapel Hill , North Carolina , United States )
  • Juraschek, Stephen  ( BIDMC-Harvard Medical School , Boston , Massachusetts , United States )
  • Author Disclosures:
Meeting Info:

EPI-Lifestyle Scientific Sessions 2026

2026

Boston, Massachusetts

Session Info:

Hypertension

Thursday, 03/19/2026 , 05:00PM - 07:00PM

Moderated Poster Session

More abstracts on this topic:
Association between Age and the Change in Cognition after Stroke- A Pooled Cohort Analysis of ARIC, REGARDS, and FOS

Springer Mellanie, Gottesman Rebecca, Hayward Rodney, Howard Virginia, Koton Silvia, Lazar Ronald, Sussman Jeremy, Ye Wen, Levine Deborah, Chen Bingxin, Whitney Rachael, Briceno Emily, Gross Alden, Aparicio Hugo, Beiser Alexa, Burke James, Giordani Bruno

A Community Health Worker-led Nutrition-Enhanced Hypertension Management Intervention: Randomized Pilot Feasibility Trial

Cheng Jessica, Gelsomin Emily, Gu Kristine, Bejarano Oldy, Mcgovern Sydney, Thorndike Anne

More abstracts from these authors:
Orthostatic Blood Pressure Phenotypes are Associated with Night-Time Blood Pressure Non-Dipping in Older Adults: The Atherosclerosis Risk in Communities (ARIC) Study

Patil Dhrumil, Wagenknecht Lynne, Hughes Timothy, Windham B Gwen, Mosley Thomas, Lutsey Pamela, Ring Kimberly, Lipsitz Lewis, Valint Arielle, Juraschek Stephen, Khan Md Marufuzzaman, Col Hannah, Wang Frances, Larbi Fredrick, Zhang Mingyu, Ngo Long, Cluett Jennifer, Selvin Elizabeth

Frailty and Sex are associated with Discordant Blood Pressure Measures among Very Old Adults: Results from the Atherosclerosis Risk in Communities (ARIC) Study

Larbi Fredrick, Coresh Joe, Selvin Elizabeth, Wagenknecht Lynne, Hughes Timothy, Windham B Gwen, Mosley Thomas, Lutsey Pamela, Ring Kimberly, Juraschek Stephen, Khan Md Marufuzzaman, Col Hannah, Patil Dhrumil, Zhang Mingyu, Turkson-ocran Ruth-alma, Ngo Long, Cluett Jennifer, Mukamal Kenneth

You have to be authorized to contact abstract author. Please, Login
Not Available