Logo

American Heart Association

  171
  0


Final ID: P-158

Frailty and Sex are associated with Discordant Blood Pressure Measures among Very Old Adults: Results from the Atherosclerosis Risk in Communities (ARIC) Study

Abstract Body: Background Home blood pressure monitoring (HBPM) is increasingly used as a more accessible alternative to office blood pressure (BP). However, agreement between office and home BP among very old adults has not been characterized.
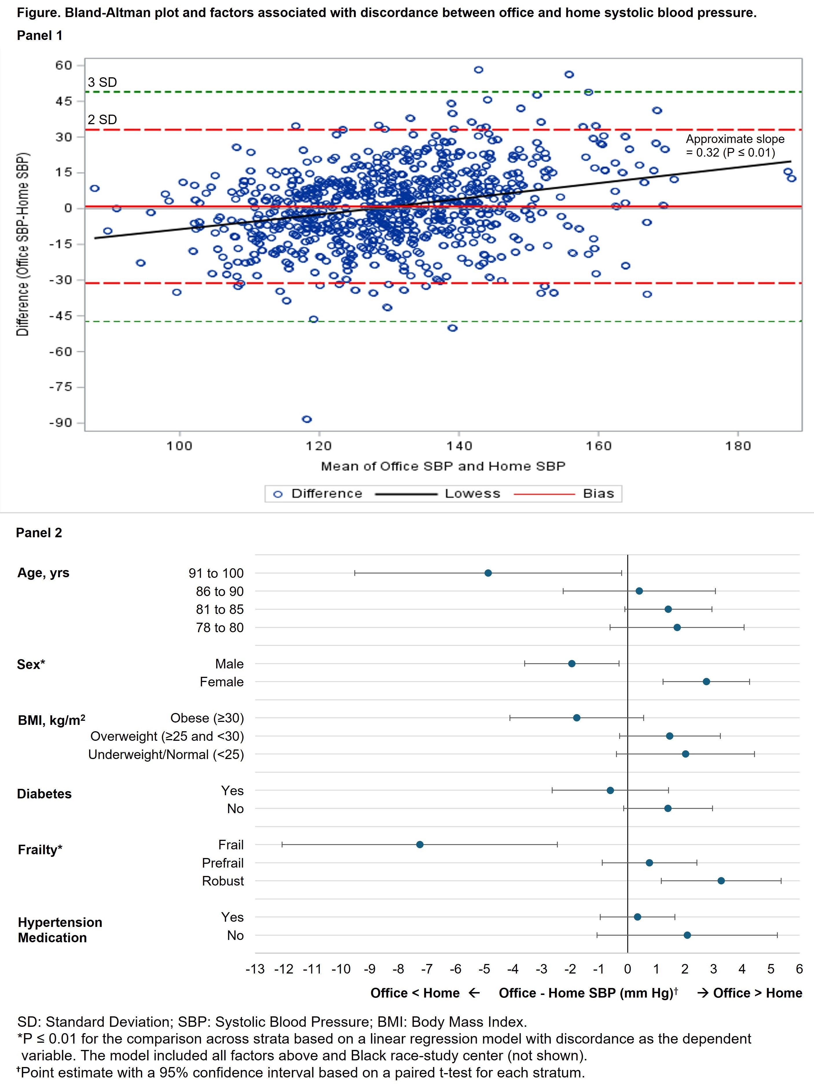
Objective To identify clinical factors related to discordance between office and home BP among very old adults.
Methods ARIC participants underwent 3 office BP measures, using an Omron HEM907XL after a 5-minute rest with a 60-second pause interval (2023). In addition, using Omron Series 10 BP7450, participants measured BP three times at home in the morning and evening after a 5-minute rest with a 60-second pause interval over an 8-day period. We subtracted mean home systolic BP (SBP) from mean office SBP to determine discordance and characterized it via Bland-Altman plots. We used adjusted linear regression to determine whether age, sex, obesity, diabetes, frailty, or hypertension medications, were associated with discordance.
Results Among 776 participants (59.3% female; mean age 84.1±3.9 [SD] years), we observed no difference between office and home SBP; however, bias increased with higher mean SBP (Figure, Panel 1). Compared to home, office SBP was significantly lower among the oldest, male, and frail participants, and higher among female and robust participants (Figure, Panel 2).
Conclusion In this population of very old adults, office and HBPM generated similar estimates of resting SBP. Nevertheless, resting SBP, sex, and frailty may result in discordant measures that could influence treatment decisions. Comprehensive BP monitoring, including office and HBPM, may be necessary for accurate hypertension diagnosis and management in these subgroups of very old adults.
  • Larbi, Fredrick  ( Beth Israel Deaconess Medical Ctr , Boston , Massachusetts , United States )
  • Coresh, Joe  ( JOHNS HOPKINS SPH WELCH CENTER , Baltimore , Maryland , United States )
  • Selvin, Elizabeth  ( JOHNS HOPKINS UNIVERSITY , Baltimore , Maryland , United States )
  • Wagenknecht, Lynne  ( Wake Forest University , Winston-Salem , North Carolina , United States )
  • Hughes, Timothy  ( Wake Forest University , Winston-Salem , North Carolina , United States )
  • Windham, B Gwen  ( UMMC, The MIND Center , Jackson , Mississippi , United States )
  • Mosley, Thomas  ( UNIV MS MEDICAL CTR , Jackson , Mississippi , United States )
  • Lutsey, Pamela  ( University of Minnesota , Minneapolis , Minnesota , United States )
  • Ring, Kimberly  ( UNC - Biostatistics , Chapel Hill , North Carolina , United States )
  • Juraschek, Stephen  ( BIDMC-Harvard Medical School , Boston , Massachusetts , United States )
  • Khan, Md Marufuzzaman  ( Beth Israel Deaconess Medical Cente , Brookline , Massachusetts , United States )
  • Col, Hannah  ( Beth Israel Deaconess Medical Ctr , Boston , Massachusetts , United States )
  • Patil, Dhrumil  ( Beth Israel Deaconess Medical Center , Boston , Massachusetts , United States )
  • Zhang, Mingyu  ( Harvard Medical School , Boston , Massachusetts , United States )
  • Turkson-ocran, Ruth-alma  ( Beth Israel Deaconess Medical Ctr , Boston , Massachusetts , United States )
  • Ngo, Long  ( Harvard Medical School , Boston , Massachusetts , United States )
  • Cluett, Jennifer  ( BIDMC-Harvard Medical School , Boston , Massachusetts , United States )
  • Mukamal, Kenneth  ( BETH ISRAEL DEACONESS MEDICAL CTR , Brookline , Massachusetts , United States )
  • Author Disclosures:
    Fredrick Larbi: DO NOT have relevant financial relationships | Joe Coresh: No Answer | Elizabeth Selvin: No Answer | Lynne Wagenknecht: No Answer | Timothy Hughes: No Answer | B Gwen Windham: No Answer | Thomas Mosley: DO have relevant financial relationships ; Research Funding (PI or named investigator):NIH:Active (exists now) | Pamela Lutsey: No Answer | Kimberly Ring: No Answer | Stephen Juraschek: DO NOT have relevant financial relationships | Md Marufuzzaman Khan: DO NOT have relevant financial relationships | Hannah Col: No Answer | Dhrumil Patil: DO NOT have relevant financial relationships | Mingyu Zhang: DO NOT have relevant financial relationships | Ruth-Alma Turkson-Ocran: DO NOT have relevant financial relationships | Long Ngo: No Answer | Jennifer Cluett: DO NOT have relevant financial relationships | Kenneth Mukamal: DO have relevant financial relationships ; Research Funding (PI or named investigator):United States Highbush Blueberry Council:Active (exists now)
Meeting Info:
Session Info:

Poster Session 1: TAC Competition and Reception

Thursday, 09/05/2024 , 05:30PM - 07:00PM

TAC Poster Session Competition

More abstracts on this topic:
Detecting Potential Threshold Bias in Recorded Blood Pressure in Clinical Practice and Research: A study of 7 International Datasets

Foti Kathryn, Chang Alex, Harris Katie, Woodward Mark, Amin Mohammad Robed, Hossain Syed, Bhuiyan Mahfuzur Rahman, Jubayer Shamim, Choudhury Sohel, Girma Dessie, Dereje Betsegaw, Marklund Matti, Gupta Reena, Appel Lawrence, Matsushita Kunihiro, Zhao Di, Pathiravasan Chathurangi, Shen Ziling, Blasco-colmenares Elena, Miller Edgar, Nordberg Cara, Hirsch Annemarie

A Comparison of Synchronized Versus Unsynchronized Mechanical Chest Compressions in a Swine Model

Marill Keith, Menegazzi James, Gumucio Jorge, Salcido David

More abstracts from these authors:
Timing of Orthostatic Blood Pressure Changes is Associated with Orthostatic Symptoms in Very Old Adults: Findings from the ARIC Study.

Khan Md Marufuzzaman, Coresh Joe, Selvin Elizabeth, Wagenknecht Lynne, Hughes Timothy, Windham B Gwen, Mosley Thomas, Lutsey Pamela, Ring Kimberly, Juraschek Stephen, Col Hannah, Larbi Fredrick, Patil Dhrumil, Zhang Mingyu, Turkson-ocran Ruth-alma, Ngo Long, Cluett Jennifer, Mukamal Kenneth

Prevalence and Correlates of White Coat and Masked Hypertension in Older Adults: The Atherosclerosis Risk in Communities Study

Wang Frances, Lutsey Pamela, Windham B Gwen, Mosley Thomas, Wagenknecht Lynne, Ring Kimberly, Valint Arielle, Hughes Timothy, Coresh Joe, Juraschek Stephen, Zhang Mingyu, Larbi Fredrick, Col Hannah, Khan Md Marufuzzaman, Turkson-ocran Ruth-alma, Ngo Long, Cluett Jennifer, Mukamal Kenneth, Selvin Elizabeth

You have to be authorized to contact abstract author. Please, Login
Not Available