Logo

American Heart Association

  33
  0


Final ID: MPWE37

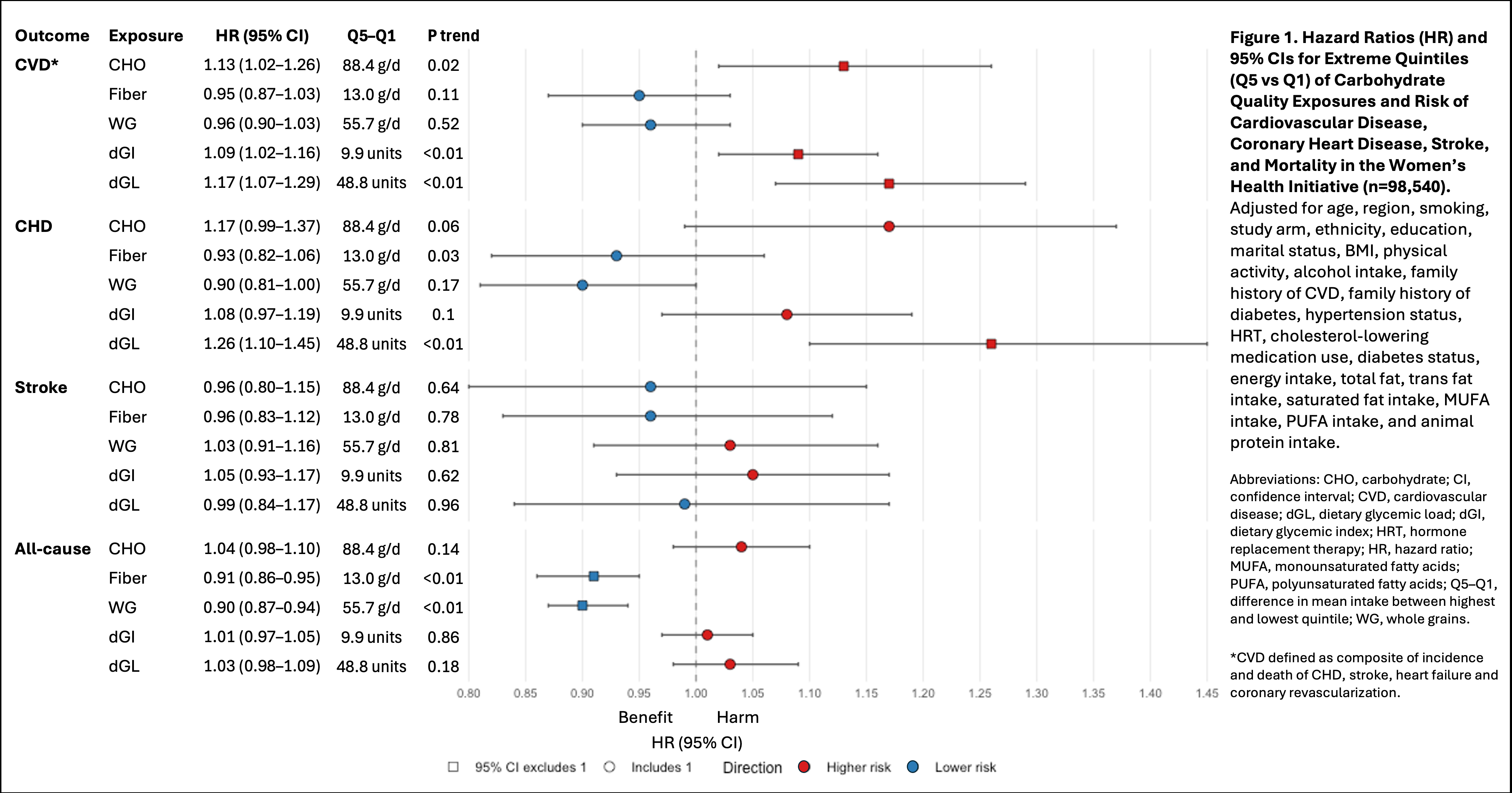
Carbohydrate Quality and Cardiovascular Disease: Findings From the Women’s Health Initiative Prospective Cohort Study

Abstract Body: Introduction: Carbohydrates have often been portrayed as harmful in popular discourse; however, their health effects depend on their quality, quantity, and interactions. Dietary indicators such as fiber, whole grains, and glycemic index (GI) are measures of carbohydrate quality, but their links to cardiovascular disease (CVD) remain limited.

Objective: To assess carbohydrate quality in relation to CVD, coronary heart disease (CHD), stroke, and overall mortality among participants in the Women’s Health Initiative (WHI).

Methods: WHI participants (Clinical Trial + Observational Study) initially free of CVD and cancer were followed from 1993 to 2024. Dietary intake was evaluated by a validated food frequency questionnaire (FFQ) at baseline and year 3, with values averaged across time points. Carbohydrate variables were energy-adjusted. Cox models were used to estimate hazard ratios (HRs) and confidence intervals (CIs) across quintiles with multivariable adjustment for demographic, lifestyle, clinical, and dietary factors. Outcomes included CVD (composite of incidence and death of CHD, stroke, heart failure and coronary revascularization), CHD, stroke, and total mortality.

Results: Among 98,540 women (mean [SD] baseline age 63 [7] years), 11,212 total CVD events occurred, including 4,863 CHD and 3,699 stroke events, as well as 34,278 deaths. Comparing extreme quintiles (Q5 vs Q1) in multivariable models, higher carbohydrates of any type were associated with higher CVD risk (HR 1.13; 95% CI, 1.02–1.26; P-trend=0.02), while associations with CHD, stroke, and mortality were null. Higher fiber was associated with lower mortality (0.91; 0.86–0.95; P-trend<0.01), while other outcomes were null. Higher whole grain intake was associated with lower mortality (0.90; 0.87–0.94; P-trend<0.01), while other outcomes were null. Higher dietary GI was associated with higher CVD risk (1.09; 1.02–1.16; P-trend<0.01), while other outcomes were null. Higher dietary glycemic load (GL) was associated with higher CVD (1.17; 1.07–1.29; P-trend<0.01) and CHD risk (1.26; 1.10–1.45; P-trend<0.01), while other outcomes were null.

Conclusions: In this large cohort of postmenopausal women, greater intake of carbohydrates and diets with higher GI and GL were modestly associated with an increased risk of CVD, whereas greater fiber and whole grain intake were modestly associated with lower risk of mortality. These findings support low-GI dietary patterns as part of CVD prevention strategies.
  • Kavanagh, Meaghan  ( Harvard T.H. Chan School of Public Health , Boston , Massachusetts , United States )
  • Yang, Bo  ( The University of California, Irvine (UCI) , Irvine , California , United States )
  • Zurbau, Andreea  ( University of Toronto , Toronto , Ontario , Canada )
  • Lo, Kenneth  ( , Research Institute for Smart Ageing, The Hong Kong Polytechnic University , Hong Kong , SAR , China )
  • Van Horn, Linda  ( Northwestern University , Chicago , Illinois , United States )
  • Allison, Matthew  ( University of California San Diego , San Diego , California , United States )
  • Snetselaar, Linda  ( University of Iowa , Iowa City , Iowa , United States )
  • Manson, Joann  ( Brigham and Women's Hospital and Harvard Medical School , Boston , Massachusetts , United States )
  • Sievenpiper, John  ( University of Toronto , Toronto , Ontario , Canada )
  • Jenkins, David  ( University of Toronto , Toronto , Ontario , Canada )
  • Liu, Simin  ( The University of California, Irvine (UCI) , Irvine , California , United States )
  • Glenn, Andrea  ( New York University , New York , New York , United States )
  • Author Disclosures:
Meeting Info:

EPI-Lifestyle Scientific Sessions 2026

2026

Boston, Massachusetts

Session Info:

Nutrition 2

Wednesday, 03/18/2026 , 05:00PM - 07:00PM

Moderated Poster Session

More abstracts on this topic:
Cardiac Complications During Delivery in Hypertensive Disorders of Pregnancy: A Multicenter Outcomes Study, 2022-2025

Murphy Hannah

Association Between Health Care Access and Cardiovascular Health Risk Among Reproductive-Aged Women in the SAFE HEART Study

Dankwa Kwabena, Vaidya Dhananjay, Ouyang Pamela, Hladek Melissa, Sharma Garima, Commodore-mensah Yvonne, Metlock Faith, Odei-kumi Kwabena, Ateh Stanislas Ketum, Rayani Asma, Baez Mateo Ana, Hernandez Lilian, Etelier Feodora, Ezuma Chioma

More abstracts from these authors:
The DASH Dietary Pattern and Risk of Cardiovascular Disease Mortality During 1988-2019 in US Adults: A Population-Based Cohort Study

Kavanagh Meaghan, Zurbau Andreea, Glenn Andrea, Chiavaroli Laura, Kendall Cyril, Jenkins David, Sievenpiper John

Plasma metabolome of a cholesterol-lowering plant-based diet and cardiometabolic disease risk

Glenn Andrea, Manson Joann, Sun Qi, Liang Liming, Salas-salvado Jordi, Jenkins David, Hu Frank, Sievenpiper John, Tessier Anne-julie, Kavanagh Meaghan, Morgan Gloria, Clish Clary, Bazinet Richard, Liu Simin, Kendall Cyril, Rimm Eric

You have to be authorized to contact abstract author. Please, Login
Not Available