Logo

American Heart Association

  127
  0


Final ID: P2117

Associations of cardiac biomarkers with physical activity and sedentary behavior in postmenopausal women

Abstract Body: Background: Associations of physical activity (PA) and sedentary behavior (SB) with biomarkers of cardiac stress could have implications for cardiovascular resiliency in aging women but are understudied.
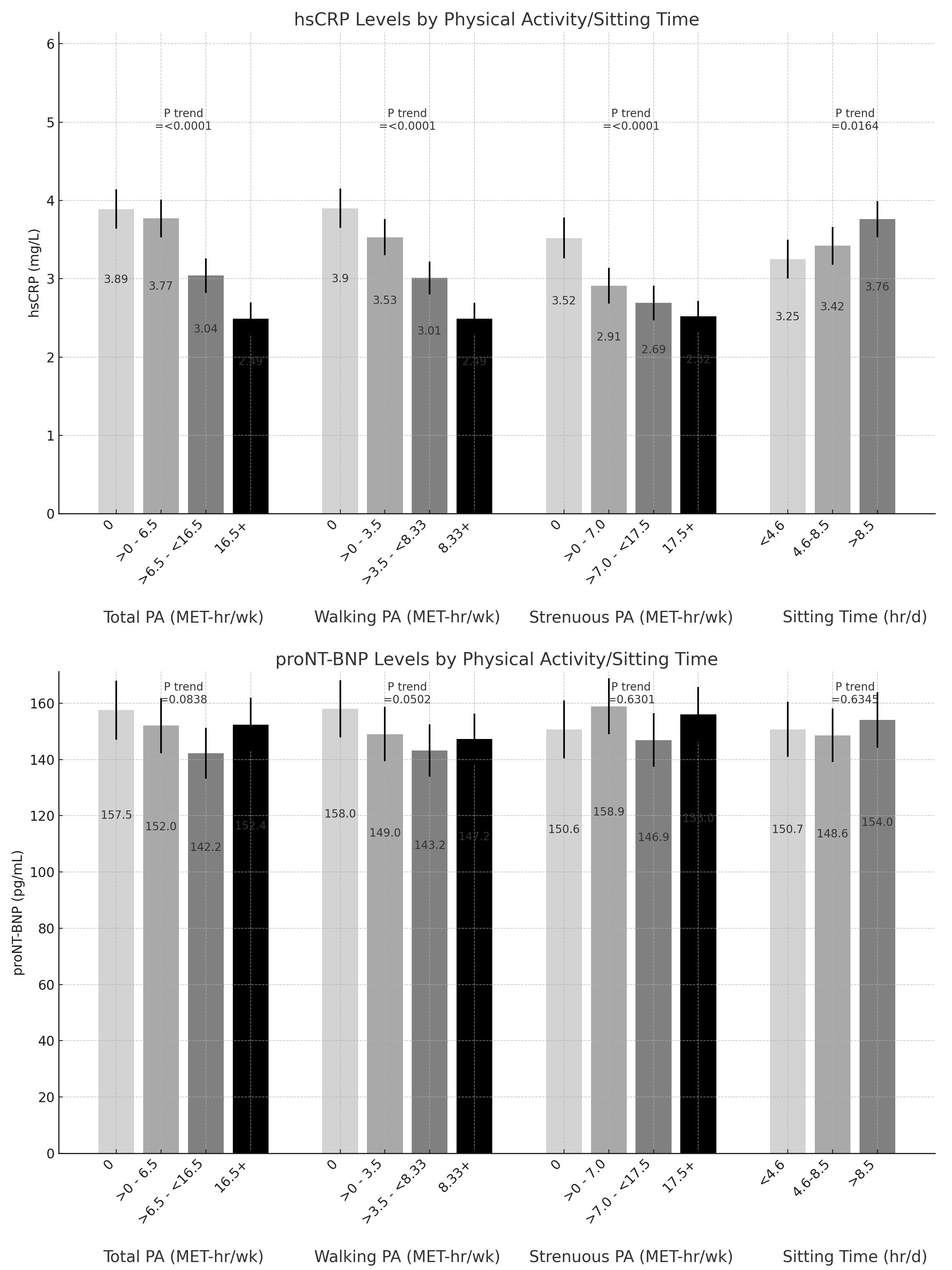
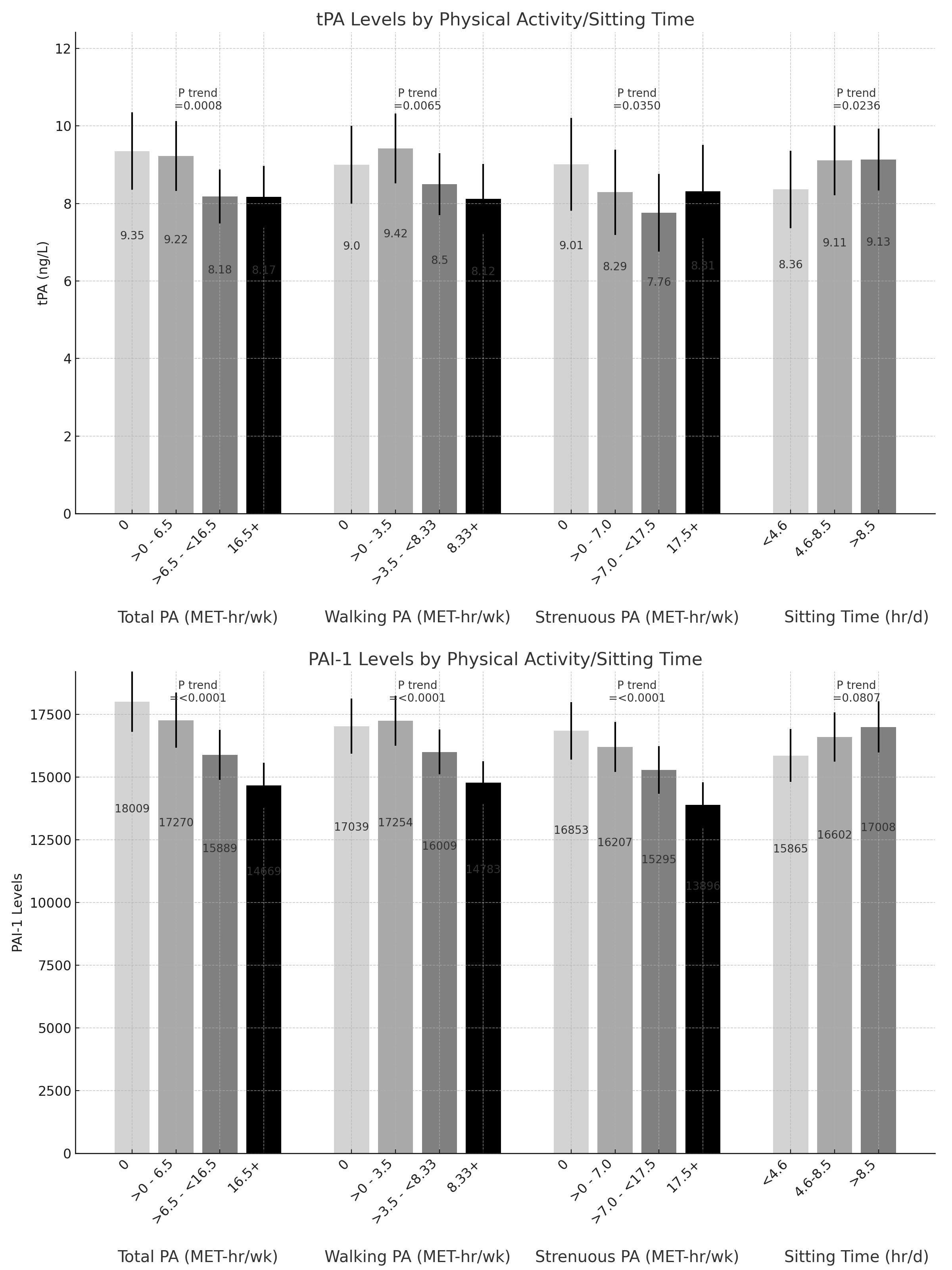
Methods: Postmenopausal women (50-79 years old at Women’s Health Initiative enrollment) (a) without known CHD, (b) with available self-reported usual PA and SB information, and (c) with available blood biomarkers for high-sensitivity C-reactive protein (hsCRP mg/L; inflammation), tissue plasminogen activator (tPA ng/mL; fibrinolysis), N-terminal pro-brain natriuretic protein (NT-proBNP pg/mL; volume overload), and plasminogen activator inhibitor-1 (PAI-1 pg/mL; thrombosis/endothelial dysfunction) were included in this cross-sectional analysis (n=3,537 for hsCRP, tPA, NT-proBNP; n = 2,460 PAI-1). Adjusted means were estimated from linear regression models. All data was ascertained at study enrollment.
Results: Controlling for age, race-ethnicity, history of stroke, heart failure, treated diabetes or hypertension, smoking, and postmenopausal hormone use, adjusted mean biomarker concentrations across incremental walking categories (0, >0-3.5, >3.5-8.33, >8.33 MET-hr/wk) were: hsCRP 4.1, 3.7, 3.2, 2.5, trend P<.001; NT-proBNP 162.9, 155.1, 148.2, 151.3, trend P=.05; tPA 8.9, 9.2, 8.3, 8.0, trend P=.01; PAI-1 16691, 16896, 15717, 14672, trend P<.001 (Figures 1 & 2). Similar patterns were observed across strenuous activity categories, aside from NT-proBNP. Across incremental categories of SB (<4.6, 4.6-8.5, >8.5 hr/day) positive associations were seen for adjusted mean hsCRP 3.4, 3.6, 3.9, trend P<.01; tPA 8.2, 8.9, 9.9, trend P=.03; PAI-1 15552, 16407, 16639, trend P=.05. In stratified analysis, inverse associations were observed regardless of comorbid status (prevalent diabetes, hypertension, heart failure, or cancer). Associations were attenuated but significant among older women, and associations of PA measures with hsCRP were stronger in those with high BMI (30+ kg/m2).
Conclusion: In this cross-sectional study of postmenopausal women, higher levels of walking and strenuous PA were associated with lower concentrations of biomarkers related to inflammation (hsCRP), fibrinolysis (tPA), and thrombosis/endothelial dysfunction (PAI-1), while higher SB was positively associated with elevated levels. The findings highlight the role of PA in promoting cardiovascular resiliency during aging, and underscore the adverse impact of prolonged SB.
  • Miller, Connor  ( University at Buffalo , Buffalo , New York , United States )
  • Lacroix, Andrea  ( UNIVERSITY OF CALIFORNIA SAN DIEGO , La Jolla , California , United States )
  • Eaton, Charles  ( Brown University , Pawtucket , Rhode Island , United States )
  • Hyde, Eric  ( University of California, San Diego , San Diego , California , United States )
  • Vasbinder, Alexi  ( University of Washington , Seattle , Washington , United States )
  • Nguyen, Steve  ( UC San Diego HWSPH , La Jolla , California , United States )
  • Di, Chongzhi  ( Fred Hutchinson Cancer Center , Seattle , Washington , United States )
  • Lamonte, Michael  ( University at Buffalo - SUNY , Buffalo , New York , United States )
  • Author Disclosures:
    Connor Miller: DO NOT have relevant financial relationships | Andrea LaCroix: No Answer | Charles Eaton: DO NOT have relevant financial relationships | Eric Hyde: DO NOT have relevant financial relationships | Alexi Vasbinder: No Answer | Steve Nguyen: DO NOT have relevant financial relationships | Chongzhi Di: No Answer | Michael LaMonte: DO NOT have relevant financial relationships
Meeting Info:
Session Info:

PS02.15 Physical Activity and Sedentary Behavior 2

Friday, 03/07/2025 , 05:00PM - 07:00PM

Poster Session

More abstracts on this topic:
A Contemporary Machine Learning-Based Risk Stratification for Mortality and Hospitalization in Heart Failure with Preserved Ejection Fraction Using Multimodal Real-World Data

Fudim Marat, Weerts Jerremy, Patel Manesh, Balu Suresh, Hintze Bradley, Torres Francisco, Micsinai Balan Mariann, Rigolli Marzia, Kessler Paul, Touzot Maxime, Lund Lars, Van Empel Vanessa, Pradhan Aruna, Butler Javed, Zehnder Tobias, Sauty Benoit, Esposito Christian, Balazard Félix, Mayer Imke, Hallal Mohammad, Loiseau Nicolas

A First-in-Class EV-miRNA Diagnostic System for Early Identification of IVIG-Resistant Kawasaki Disease

Nakaoka Hideyuki, Hirono Keiichi, Hara Akane, Tsuboi Kaori, Ibuki Keijiro, Ozawa Sayaka, Ichida Fukiko

You have to be authorized to contact abstract author. Please, Login
Not Available