Logo

American Heart Association

  78
  0


Final ID: MP2565

Association Between Healthy Vascular Aging and Intrinsic Frequencies of Carotid Pressure Waveform: The Framingham Heart Study

Abstract Body (Do not enter title and authors here): Introduction:
Healthy Vascular Aging (HVA) refers to the preservation of vascular function with advancing age, challenging the common belief that hypertension and increased arterial stiffness are unavoidable outcomes of aging (Hypertension, PMID: 28559398). This definition identifies individuals who retain young vascular characteristics beyond midlife. While traditional clinical metrics are used to assess HVA, waveform-derived biomarkers, such as cardiovascular intrinsic frequencies (IFs), may provide a non-invasive and physiologically grounded alternative. IFs extracted from carotid pressure waveforms have previously been shown to be associated with cardiovascular function and vascular health (Hypertension, PMID: 33390053). In this study, we examine the association between carotid-derived IFs and the HVA status.

Methods:
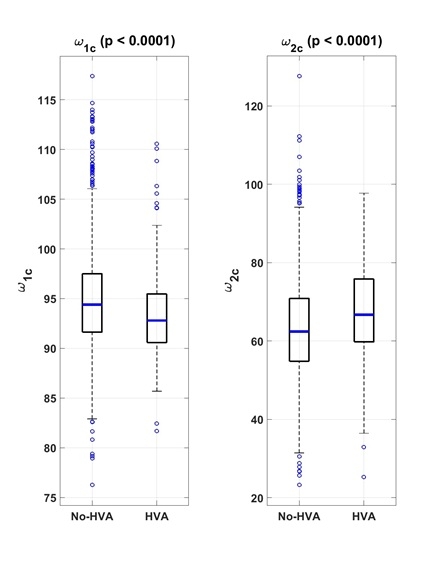
The study sample was drawn from the Original (Exam 26), Offspring (Exam 7), and Third Generation (Exam 1) cohorts of the Framingham Heart Study. As established in the literature, we assigned HVA to the individuals with age ≥ 50 years, systolic blood pressure <140 mmHg, diastolic blood pressure <90 mmHg (without hypertension medication), and a carotid-femoral pulse wave velocity <7.6 m/s. After applying these criteria, a total of N = 2,242 participants remained for analysis. Carotid pressure waveforms were acquired using applanation tonometry. We used these waveforms and computed the IF metrics for each individual: ω1c (IF during systole, related to left ventricular inotropic function and LV-arterial coupling) and ω2c (IF during diastole, related to arterial function). The associations between the HVA status and carotid-derived IFs were assessed using box-and-whisker plots and the Mann–Whitney U test.
Results:
The carotid-based IF metrics showed statistically significant differences between individuals with and without HVA (p < 0.0001 for all comparisons). The group-wise distributions of these parameters are illustrated in Figure 1, highlighting distinct shifts in IF values between the HVA and no-HVA groups. Lower ω1c but higher ω2c were observed in the HVA group.
Conclusion:
Our results demonstrated that Intrinsic frequencies of carotid pressure waveforms are associated with the status of vascular aging. The findings of this study support the potential utility of IFs as a non-invasive approach to assess vascular health aging.
  • Niroumandi, Soha  ( University of Southern California , Los Angeles , California , United States )
  • Alavi, Rashid  ( Caltech , Los Angeles , California , United States )
  • Pahlevan, Niema  ( University of Southern California , Los Angeles , California , United States )
  • Author Disclosures:
    Soha Niroumandi: DO NOT have relevant financial relationships | Rashid Alavi: DO NOT have relevant financial relationships | Niema Pahlevan: DO have relevant financial relationships ; Consultant:Avicena LLC (Ventric Health):Active (exists now) ; Ownership Interest:Avicena LLC (Ventric Health):Active (exists now)
Meeting Info:

Scientific Sessions 2025

2025

New Orleans, Louisiana

Session Info:

Innovations in Stroke and Cerebrovascular Disease

Monday, 11/10/2025 , 09:15AM - 10:30AM

Moderated Digital Poster Session

More abstracts on this topic:
A Diagnostic Pitfall: Subclavian Stenosis Mimicking Severe Aortic Stenosis on Echocardiography"

Ezaldin Shady, Abdelsalam Mahmoud, Elsayed Omar, Lee Marciano

A Quarter Century of Mortality Trends in Hypertension and Sick Sinus Syndrome Among Elderly in the United States

Eltawansy Sherif, Khan Muhammad, Iqbal Asad, Sharif Aleena, Hossain Mohammad, Ali Muhammad Faizan, Ahmad Husnain, Faizan Muhammad, Ahmed Ashraf, Abdul Malik Mohammad Hamza Bin, Pahwani Ritesh, Patel Rahul, Mehdi Hassan

More abstracts from these authors:
You have to be authorized to contact abstract author. Please, Login
Not Available