Logo

American Heart Association

  27
  0


Final ID: MP1965

Impact of Hyper-Polypharmacy on Cardiovascular Outcomes in Patients With Acute Coronary Syndrome: Analysis Form the ATLAS ACS 2-TIMI 51 Trial

Abstract Body (Do not enter title and authors here): Background:
Polypharmacy is increasingly prevalent among patients with acute coronary syndrome (ACS) due to the burden of multimorbidity and guideline-recommended therapies. However, the impact of polypharmacy on cardiovascular (CV) outcomes in ACS remains uncertain.

Aims:
To determine the relationship between polypharmacy and major adverse CV events (MACE, defined as the composite of CV death, myocardial infarction [MI], or stroke) among patients with ACS.

Methods:
The ATLAS ACS 2-TIMI 51 trial randomized patients with recent ACS to receive twice-daily doses of either 2.5 mg or 5 mg of rivaroxaban or placebo. Patients were categorized into three groups based on the number of baseline concomitant medications: non-polypharmacy (0–4), polypharmacy (5–9), and hyper-polypharmacy (≥10). Cumulative incidence of events over 720 days was estimated using the Kaplan-Meier method. The association between polypharmacy status and MACE was assessed using the log-rank test and Cox proportional hazards models.

Results:
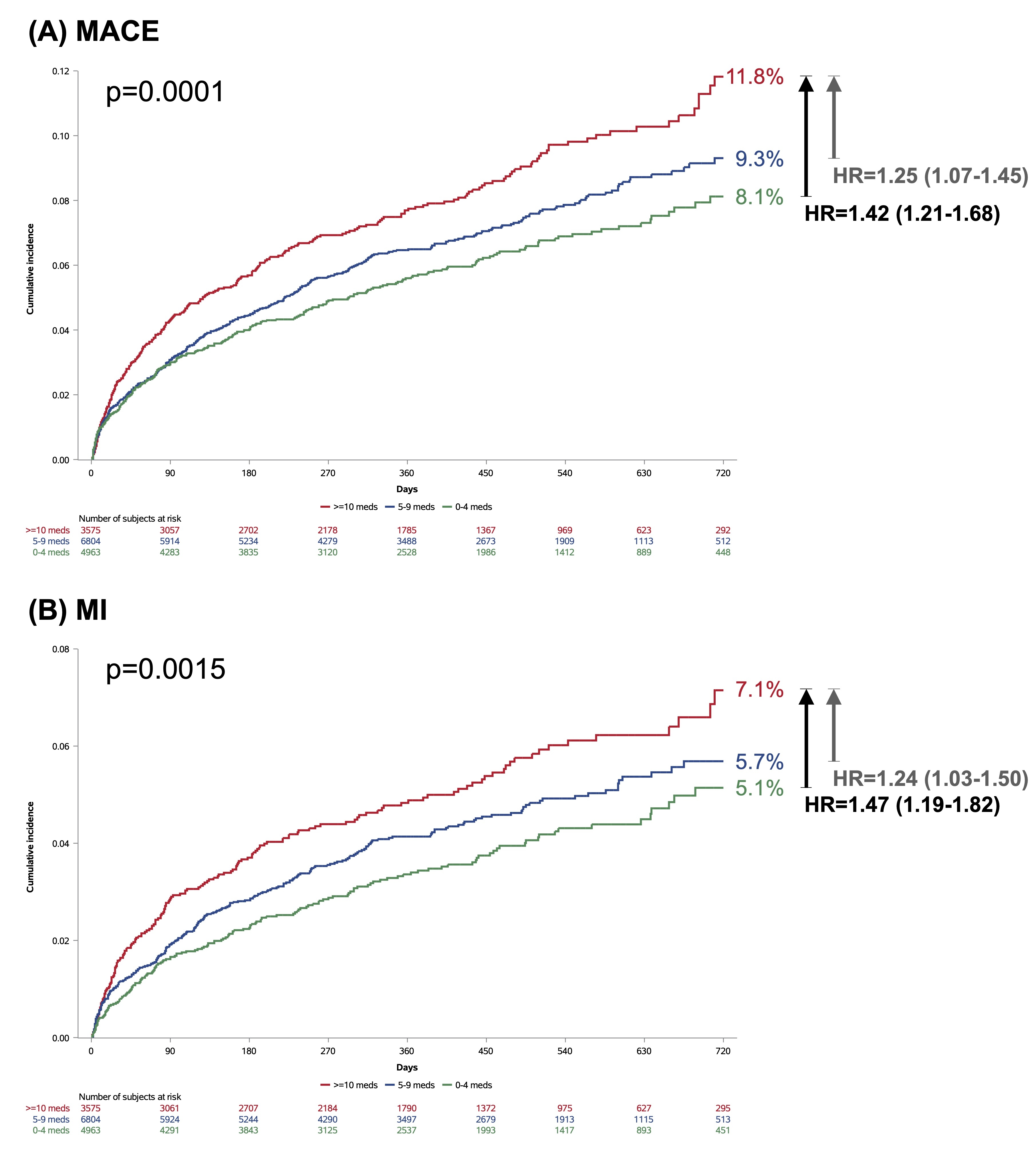
Among 15,342 ACS patients, 6,804 (44.3%) were in the polypharmacy group and 3,575 (23.3%) in the hyper-polypharmacy group. Hyper-polypharmacy was associated with a greater risk of MACE compared to both polypharmacy and non-polypharmacy groups (11.8% vs. 9.3% vs. 8.1%; p = 0.0001; HR = 1.25 [95% CI: 1.07–1.45] and HR = 1.42 [95% CI: 1.21–1.68], respectively). A similar pattern was observed for MI (7.1% vs. 5.7% vs. 5.1%; p = 0.0015; HR = 1.24 [95% CI: 1.03–1.50] and HR = 1.47 [95% CI: 1.19–1.82]). There were no significant differences in the incidence of CV death or stroke across polypharmacy categories. The efficacy of rivaroxaban was not significantly modified by polypharmacy status (p for interaction = 0.93).

Conclusions:
Among patients with ACS, hyper-polypharmacy was common and associated with an increased risk of MACE, primarily driven by a higher incidence of MI. These findings underscore the need for future research to investigate how medication burden, treatment appropriateness, and potential drug–drug interactions influence CV outcomes in this population.
  • Chi, Gerald  ( BETH ISRAEL DEACONESS MED CTR , Boston , Massachusetts , United States )
  • Plotnikov, Alexei  ( Janssen Research and Development , Raritan , New Jersey , United States )
  • Gibson, Charles  ( BETH ISRAEL DEACONESS MED CTR , Boston , Massachusetts , United States )
  • Author Disclosures:
    Gerald Chi: DO have relevant financial relationships ; Consultant:Pfizer:Active (exists now) ; Research Funding (PI or named investigator):SCAD Alliance:Active (exists now) ; Research Funding (PI or named investigator):Bayer:Active (exists now) ; Research Funding (PI or named investigator):CSL Behring:Active (exists now) ; Research Funding (PI or named investigator):Janssen:Active (exists now) | Alexei Plotnikov: No Answer | Charles Gibson: DO have relevant financial relationships ; Researcher:Johnson & Johnsson:Active (exists now) ; Consultant:CeleCor:Active (exists now) ; Consultant:BMS:Active (exists now) ; Consultant:AstraZenca:Active (exists now) ; Consultant:Bayer:Active (exists now) ; Researcher:Janssen:Active (exists now)
Meeting Info:

Scientific Sessions 2025

2025

New Orleans, Louisiana

Session Info:

Management of Unstable Angina, NSTEMI and STEMI

Monday, 11/10/2025 , 09:15AM - 10:30AM

Moderated Digital Poster Session

More abstracts on this topic:
Cardiology Medications and Medicare Spending: Opportunities for Savings Using Mark Cuban Cost Plus Drug Company and Costco Member Prescription Program Pricing

Schoeffler Katherine, Day Stephanie, Sanjamala Hemanth, Danesh Alireza, Rosales Isaac, Fennell Zachary, Aguilar Atticus, Parikh Suparshva, Nipp Ryan

Prescription Patterns for Antithrombotic Therapy Following Peripheral Vascular Interventions

Halabi Mouhammad, Chamseddine Hassan, Shepard Alex, Timothy Nypaver, Weaver Mitchell, Ochoa Cassius Iyad, Kashyap Vikram, Kabbani Loay

More abstracts from these authors:
Randomized Trial of Milvexian versus Placebo in Acute Ischemic Stroke and Transient Ischemic Attack: Rationale and Methods for the LIBREXIA-Stroke Trial

Johnston S. Claiborne, Lu Wentao, Li Danshi, Plotnikov Alexei, Gibson Charles, Lam Carolyn, Mahaffey Kenneth, Mehran Roxana, Steg Philippe, Weitz Jeffrey, Harrington Robert, De Silva Deidre, Hankey Graeme, Furie Karen, James Stefan, Martins Sheila, Molina Carlos, Wang Yongjun, Yavin Yshai, Albanese John

Sex Disparities in Enrollment of Cardiovascular Trials: A Meta-Analysis of ClinicalTrials.gov Listings

Chi Gerald, Lee Jane, Gibson Charles

You have to be authorized to contact abstract author. Please, Login
Not Available